论著

新生儿输血相关性坏死性小肠结肠炎的影响因素分析

  • 曾慧仪 , 1, 2 ,
  • 郭娟娟 2 ,
  • 刘丹丹 2 ,
  • 蔡纯 2 ,
  • 娄蕾 2 ,
  • 鲍俏 3 ,
  • 冯周善 2 ,
  • 张刚 , 2
展开
  • 1.惠州市第二妇幼保健院综合外科,广东 惠州 516000
  • 2.广东省产科重大疾病重点实验室 广东省妇产疾病临床医学研究中心 粤港澳母胎医学高校联合实验室 广州医科大学附属第三医院,广东 广州 510150
  • 3.广东省妇幼保健院小儿外科,广东 广州 510010
张刚,副主任医师,研究方向:坏死性小肠结肠炎,E-mail:

曾慧仪,硕士研究生,研究方向:坏死性小肠结肠炎,E-mail:

Copy editor: 洪悦民

收稿日期: 2024-06-08

  网络出版日期: 2024-08-23

基金资助

广东省中医药局科研课题(20221044)

广州市科技计划项目(202201020395)

Analysis of influence factors of transfusion-associated neonatal necrotizing enterocolitis

  • ZENG Huiyi , 1, 2 ,
  • GUO Juanjuan 2 ,
  • LIU Dandan 2 ,
  • CAI Chun 2 ,
  • LOU Lei 2 ,
  • BAO Qiao 3 ,
  • FENG Zhoushan 2 ,
  • ZHANG Gang , 2
Expand
  • 1. Department of General Surgery, Huizhou Second Maternal and Child Health Hospital, Huizhou 516000, China
  • 2. Guangdong Provincial Key Laboratory of Major Obstetric Diseases, Guangdong Provincial Clinical Research Center for 0bstetrics and Gynecology, Guangdong-Hong Kong-Macao Greater Bay Area Higher Education Joint Laboratory of Maternal-Fetal Medicine, the Third Affiliated Hospital of Guangzhou Medical University, Guangzhou 510150, China
  • 3. Department of Pediatric Surgery, Guangdong Women and Children’ s Hospital, Guangzhou 510010, China
ZHANG Gang, E-mail:

Received date: 2024-06-08

  Online published: 2024-08-23

摘要

目的 探讨新生儿输血相关性坏死性小肠结肠炎(TANEC)发病的相关影响因素。方法 回顾性分析已接受手术治疗的坏死性小肠结肠炎(NEC)患儿的临床资料,将其分为TANEC组与非TANEC组,对2组的临床特征、母亲情况、实验室检查结果、术中情况及预后结果进行单因素及多因素Logistic回归分析,明确TANEC发生的相关因素,并采用受试者操作特征(ROC)曲线与曲线下面积(AUC)评估这些因素对TANEC的预测价值。结果 共纳入51例患儿,其中TANEC组13例、非TANEC组38例。单因素分析显示2组NEC患儿的出生体质量、阿普加评分、胎龄、输血次数、合并动脉导管未闭、血红蛋白水平比较差异均有统计学意义(P均< 0.05)。多因素Logistic 回归分析显示输血次数、血红蛋白水平是发生TANEC的影响因素(P均< 0.05)。ROC曲线验证输血次数的AUC为0.882(95%CI 0.794~0.969),血红蛋白水平的AUC为0.857(95%CI 0.747~0.968),两者联合的AUC为0.907(95%CI 0.822~0.992)。结论 输血次数、血红蛋白水平与TANEC的发生相关,两者联合可较好地预测TANEC的发生。

本文引用格式

曾慧仪 , 郭娟娟 , 刘丹丹 , 蔡纯 , 娄蕾 , 鲍俏 , 冯周善 , 张刚 . 新生儿输血相关性坏死性小肠结肠炎的影响因素分析[J]. 新医学, 2024 , 55(7) : 565 -570 . DOI: 10.3969/j.issn.0253-9802.2024.07.011

Abstract

Objective To investigate the related influence factors of neonatal transfusion-associated necrotizing enterocolitis (TANEC). Methods Clinical data of neonates with necrotizing enterocolitis (NEC) treated by surgery were retrospectively analyzed. All participants were divided into the TANEC and non-TANEC groups. Clinical characteristics, maternal conditions, laboratory test results, intraoperative conditions and clinical prognosis were subject to univariate and multivariate Logistic regression analyses. Related factors of TANEC were identified. The predictive values of these factors were determined by the receiver operating characteristic (ROC) curve and the area under the ROC curve (AUC). Results A total of 51 infants were enrolled in this study, including 13 cases in the TANEC group and 38 in the non-TANEC group. Univariate analysis showed statistically significant differences in birth weight, Apgar-1 score, gestational age, number of transfusions, patent ductus arteriosus and hemoglobin level between two groups (all P < 0.05). Multivariate Logistic regression analysis revealed that the number of transfusions and hemoglobin level were the related factors for the incidence of TANEC (both P < 0.05). ROC curve verified that the AUC of the number of transfusions was 0.882 (95% CI 0.794-0.969), 0.857 (95% CI 0.747-0.968) for hemoglobin level, and 0.907 (95% CI 0.822-0.992) for the two combined, respectively. Conclusion The number of blood transfusion and hemoglobin level are associated with the occurrence of TANEC, and the combination of these two can better predict the incidence of TANEC.

新生儿坏死性小肠结肠炎(necrotizing enterocolitis,NEC)是指各种因素引起新生儿肠道感染进而发生的肠管坏死性疾病,是新生儿严重的消化道急症[1]。NEC多见于早产儿,起病隐匿,对早产儿造成了严重威胁,尤其是极低出生体重儿[2]。NEC的总病死率为23.5%,占新生儿重症监护病房死亡人数的10%[1-3],需要合并手术治疗的比例达50.9%[4]。新生儿贫血是NEC发病的重要因素,输注红细胞是治疗新生儿贫血的有效方法[5-6],1987 年Mcgrady等[7]发现输注红细胞与NEC的发生呈正相关。其后,学者们将新生儿输血相关性坏死性小肠结肠炎(transfusion-associated necrotizing enterocolitis,TANEC)作为NEC的一个亚型,将其定义为输注红细胞后48 h内发生的NEC [8]。TANEC约占NEC总病例的25%~35%[9-12],其发病急、进展迅速、肠道损伤严重,预后较差。目前,TANEC确切的触发因素仍未明确且存在争议,其发病机制可能并不局限于输注红细胞本身,而是多因素共同影响的结果[12]。为此,本研究对ANEC患儿的临床资料进行回顾性分析,探讨TANEC发病的相关因素。

1 对象与方法

1.1 研究对象

收集2019年1月至2023年12月广州医科大学附属第三医院收治的NEC患儿作为研究对象。纳入标准:①参考NEC 的诊断标准[13],根据临床表现、影像学证据诊断为NEC,且NEC分级为ⅡA级或以上;②已接受手术治疗,且术后病理检查结果符合NEC诊断标准;③于出生后24 h内入院且临床资料完整。排除标准:①患有先天性肠闭锁、先天性肠狭窄、先天性肠旋转不良等消化道畸形,患有染色体异常等遗传性疾病;②患有遗传代谢性疾病及存在严重免疫缺陷者。将患儿分为TANEC组与非TANEC组,在诊断NEC前48 h内输注了红细胞的患儿被纳入TANEC组,诊断NEC前48 h未输注红细胞的患儿被纳入非TANEC组。本研究获得广州医科大学附属第三医院伦理委员会批准(批件号:〔2024〕第014号),所有患儿监护人知情同意。

1.2 研究方法

1.2.1 资料收集

共51例患儿被纳入本研究,其中TANEC组13例、非TANEC组38例。重点回顾性分析以下资料:①临床特征,包括胎龄、出生体质量、性别、阿普加评分、合并疾病(动脉导管未闭、脑室内出血、新生儿败血症)、NEC分期、输血次数;②患儿母亲情况,包括妊娠不良事件(妊娠合并高血压、妊娠合并糖尿病、宫内窘迫)、分娩方式(顺产、剖宫产);③实验室检查结果,包括患儿输血前血红蛋白水平,发生NEC时的C-反应蛋白水平、白细胞计数、血小板计数;④术中情况及预后,包括病变程度(肠穿孔、肠坏死、肠缺血)、病变部位(小肠、结肠、结肠+小肠)、病变范围(局灶性、多灶性、全肠)、预后情况(存活、死亡)。

1.2.2 输血指征和方法

参考第5版《实用新生儿学》的输血指征[13],对于达到输血指征的患儿进行一次配血,将0.5 U悬浮红细胞分2次输注,第1次输10 mL/kg,24 h后再输同等量悬浮红细胞。

1.2.3 统计学处理

采用SPSS 20.0 处理数据。正态分布计量资料用$\bar{x}\pm s$表示,组间比较采用独立样本t检验;非正态分布计量资料用MP25P75)表示,组间比较采用Mann-Whitney U检验。计数资料用n(%)表示,组间比较采用χ 2检验。对单因素分析有意义的因素进行多因素Logistic 回归分析。绘制受试者操作特征(receiver operating characteristic,ROC)曲线及计算曲线下面积(area under the curve,AUC)预测影响因素对TANEC的诊断效能。双侧P < 0.05为差异有统计学意义。

2 结果

2.1 TANEC组与非TANEC组患儿临床特征比较

2组NEC患儿的出生体质量、阿普加评分、胎龄、输血次数、合并动脉导管未闭比较差异均有统计学意义(P均<0.05),见表1
表1 TANEC组与非TANEC组患儿临床特征比较

Table 1 Comparison of infants physical signs between TANEC group and non-TANEC group

项 目 TANEC组(n=13) 非TANEC组(n=38) t/Z/ χ 2 P
出生体质量/g 805.0(722.5,1 050.0) 1 527.5(1 127.5,1 920.0) -3.902 <0.001
阿普加评分/分 8(5,8) 9(7,10) -2.922 0.003
胎龄/周 27.46±1.68 31.85±3.58 -4.257 <0.001
合并疾病/n(%)
动脉导管未闭 5(38.5) 4(10.5) 5.201 0.023
脑室内出血 2(15.4) 7(18.4) 0.061 0.804
新生儿败血症 6(46.2) 14(36.8) 0.352 0.553
NEC分期/n(%) 3.319 0.190
ⅡB 5(38.5) 18(47.4)
ⅢA 6(46.2) 8(21.1)
ⅢB 2(15.4) 12(31.6)
输血次数/次 1(1,2) 0 4.615 <0.001

2.2 TANEC组与非TANEC组患儿母亲情况比较

2组患儿母亲的妊娠不良事件、分娩方式比较差异均无统计学意义(P均>0.05),见表2
表2 TANEC组与非TANEC组患儿母亲情况的比较

Table 2 Comparison of mothers between TANEC group and non-TANEC group n(%)

项 目 TANEC组(n=13) 非TANEC组(n=38) χ 2 P
母亲妊娠不良事件
妊娠合并高血压 4(30.8) 8(21.1) 0.507 0.476
妊娠合并糖尿病 5(38.5) 9(23.7) 1.062 0.303
宫内窘迫 1(7.7) 4(10.5) 0.088 0.767
分娩方式 0.015 0.901
顺产 4(30.8) 11(28.9)
剖宫产 9(69.2) 27(71.1)

2.3 TANEC组与非TANEC组患儿实验室检查结果比较

2组患儿输血前的血红蛋白水平比较差异有统计学意义(P < 0.05),见表3
表3 TANEC组与非TANEC组患儿实验室检查结果比较

Table 3 Comparison of laboratory test results between TANEC group and non-TANEC group

项 目 TANEC组(n=13) 非TANEC组(n=38) t/Z P
血小板计数/(×109/L) 209.38±114.13 247.24±122.13 -0.980 0.332
白细胞计数/(×109/L) 8.85(3.61,13.79) 7.71(5.77,11.09) -1.481 0.139
C-反应蛋白水平/(mg/L) 4.47(6.12,46.76) 2.55(0.50,26.66) -1.354 0.176
血红蛋白水平/(g/L) 130.85±10.34 156.50±16.60 -5.216 <0.001

2.4 TANEC组与非TANEC组患儿术中情况及预后的比较

2 组患儿的术中情况及预后比较差异均无统计学意义(P均> 0.05),见表4
表4 TANEC组与非TANEC组患儿术中情况及预后的比较

Table 4 Comparison of intraoperative conditions and prognosis between TANEC group and non-TANEC group n(%)

项 目 TANEC组(n=13) 非TANEC组(n=38) χ 2 P
病变程度 0.317 0.854
穿孔 5(38.5) 13(34.2)
坏死 4(30.8) 15(39.5)
缺血 4(30.8) 10(26.3)
病变部位 2.396 0.302
小肠 9(69.2) 26(68.4)
结肠 0 5(13.2)
小肠+结肠 4(30.8) 7(18.4)
病变范围 0.913 0.633
单灶 2(15.4) 10(26.3)
多灶 8(61.5) 18(47.4)
全肠 3(23.1) 10(26.3)
预后情况 3.001 0.083
死亡 4(30.8) 4(10.5)
存活 9(69.2) 34(89.5)

2.5 Logistic回归分析结果

根据多因素Logistic回归分析得出输血次数(P = 0.044)、血红蛋白水平(P = 0.013)是TANEC的影响因素,见表5
表5 TANEC相关因素二元Logistic回归分析结果

Table 5 Dichotomous Logistic regression analysis of factors associated with TANEC

项 目 β SE P OR(95%CI)
出生体质量 -0.003 0.003 0.814 0.997(0.991~1.004)
胎龄 0.177 0.474 0.710 1.193(0.471~3.021)
阿普加评分 -0.112 0.474 0.814 0.894(0.353~2.265)
输血次数 1.722 0.854 0.044 5.594(1.048~29.846)
动脉导管未闭 1.172 1.737 0.500 3.229(0.107~97.095)
血红蛋白水平 -0.198 0.080 0.013 0.820(0.702~0.959)

2.6 诊断效能预测结果

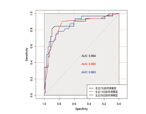
输血次数、血红蛋白水平及两者联合诊断TANEC的AUC分别为0.882、0.857、0.907,联合诊断优于各自单独诊断的效果,见表6图1
表6 ROC曲线及AUC评估输血次数、血红蛋白对TANEC的预测效果

Table 6 ROC curve and AUC predicted diagnostic efficacy of the number of blood transfusions and the hemoglobin on TANEC

变 量 AUC AUC95%CI 截断值 灵敏度 特异度 约登指数
输血次数 0.882 0.794~0.969 0.5次 1.000 0.789 0.789
血红蛋白水平 0.857 0.747~0.968 145.5 g/L 0.846 0.842 0.688
两者联合 0.907 0.822~0.992 0.846 0.895 0.741

注: 两者联合检测的公式为Logit P = 0.138 ×输血次数-0.010 ×血红蛋白水平+1.791。

图1 输血次数及血红蛋白对预测TANEC发生的ROC曲线

Figure 1 ROC curve of number of transfusions and hemoglobin for predicting TANEC occurrence

3 讨论

1987年McGrady等[7]发现输注红细胞与NEC的发生呈正相关,其后由NEC延伸出TANEC的概念[8]。目前对TANEC的发生机制有如下认识:①新生儿的肠道血管阻力相对较低,输注红细胞增加了血流量,改变了这种低阻力状态,对细小动脉造成一定的损伤,从而导致其结构和功能的改变,促使血管收缩。这种改变类似于在成人中观察到的输血相关性肺损伤[14-15],而在新生儿,则可能表现为TANEC。②当新生儿接受红细胞输注时,肠道中的Toll样受体4介导的炎症通路会被激活,诱发机体产生过度的免疫反应,产生各种炎症因子损伤肠道免疫系统,最终引发TANEC[16-19]。③库存血含有内源性一氧化氮合酶抑制剂,红细胞输注抑制了内源性一氧化氮的产生,导致血流阻力上升、血流量减少,诱发肠道缺血缺氧以及微循环障碍,最终引发TANEC[20-21]
Mohamed等[22]指出,发生 TANEC 的新生儿的出生体质量、胎龄更小,合并动脉导管未闭的患儿发生TANEC 的风险及病死率更高。本研究结果与大多数研究结果一致,即与非TANEC患儿相比,TANEC患儿的胎龄、出生体质量更小,阿普加评分更低,合并动脉导管未闭者更多。TANEC患儿多为早产儿,各系统器官发育均不成熟,机体免疫防御能力差,相比足月儿,在创伤、感染等打击下更容易出现一系列并发症。研究显示,与非TANEC患儿相比,TANEC患儿的死亡风险升高,但两者病死率无明显差异[23]。这与本研究结果一致,考虑可能原因如下:①本中心对NEC患儿有较好的管理和救治经验,减小了2组间病死率的差异;②本研究样本量小,功效较低。
Lee等[24]发现,出生后48 h内接受输血的新生儿NEC的发生率较不接受输血者增加近4倍,Su等[25]的研究提示输血是NEC发生的独立危险因素。本研究的Logistic回归分析显示输血次数是TANEC的影响因素,两者呈正相关。ROC曲线显示输血次数的AUC为 0.882,对是否将发生TANEC具有预测价值。上述结果提示,规避多次输血可降低TANEC的发病率。为了对新生儿输血进行更有效的管理,Markowitz等[26]提出了“血液管理”的概念,针对新生儿群体的管理关键要素包括贫血管理、血液保护策略、凝血和止血的优化、手术和麻醉技术以及以患者和家庭为中心的治疗决策,他们认为制定新生儿血液管理规划对预防TANEC至关重要。
与普通NEC患儿相比,TANEC患儿的血红蛋白水平更低、贫血程度更重。低血红蛋白水平会影响肠道的免疫环境,激活巨噬细胞,导致促炎细胞因子水平上升[27],无氧代谢及乳酸堆积会增加肠黏膜的通透性[28],使肠道菌群定植异常[29-31]。研究显示,当血红蛋白质量浓度≤80 g/L时,NEC的发病率明显上升[32]。本研究中,TANEC患儿的血红蛋白水平较非TANEC患儿低,提示血红蛋白或与TANEC具有相关性;进一步的Logistic回归分析也提示血红蛋白是TANEC发生的影响因素,两者呈负相关。此外,血红蛋白ROC的AUC为0.857,提示该指标对TANEC的发生具有预测价值。在临床工作中,在患儿出生后及早补充促红细胞生成素、静脉或口服补铁、补充叶酸和维生素B12等治疗方案可有效提高新生儿血红蛋白水平,降低 TANEC 的发病率[33]
综上所述,本研究提示输血次数、血红蛋白水平是TANEC的影响因素,两者皆具有预测价值,两者联合可更有效地预测TANEC的发生,对临床具有一定的指导价值。规避多次输血,制定新生儿血液管理规划,个性化预防新生儿血红蛋白水平降低,对TANEC均可能具有预防作用。本研究存在一定的局限性,首先,数据来源于单中心,对于结论的外推具有局限性;其次,本研究的样本量较小,会对统计效能造成一定影响。后续应进一步增大样本量进行多中心研究,对TANEC的发病机制与影响因素做更深入的分析。
[1]
PAPILLON S, CASTLE S L, GAYER C P, et al. Necrotizing enterocolitis: contemporary management and outcomes[J]. Adv Pediatr, 2013, 60(1): 263-279. DOI: 10.1016/j.yapd.2013.04.011.

PMID

[2]
THÄNERT R, KEEN E C, DANTAS G, et al. Necrotizing enterocolitis and the microbiome: current status and future directions[J]. J Infect Dis, 2021, 223(12 Suppl 2): S257-S263. DOI: 10.1093/infdis/jiaa604.

[3]
BATTERSBY C, SANTHALINGAM T, COSTELOE K, et al. Incidence of neonatal necrotising enterocolitis in high-income countries: a systematic review[J]. Arch Dis Child Fetal Neonatal Ed, 2018, 103(2): F182-F189. DOI: 10.1136/archdischild-2017-313880.

[4]
JONES I H, HALL N J. Contemporary outcomes for infants with necrotizing enterocolitis-a systematic review[J]. J Pediatr, 2020, 220: 86-92.e3. DOI: 10.1016/j.jpeds.2019.11.011.

[5]
VILLENEUVE A, ARSENAULT V, LACROIX J, et al. Neonatal red blood cell transfusion[J]. Vox Sang, 2021, 116(4): 366-378. DOI: 10.1111/vox.13036.

PMID

[6]
CRAWFORD T M, ANDERSEN C C, HODYL N A, et al. The contribution of red blood cell transfusion to neonatal morbidity and mortality[J]. J Paediatr Child Health, 2019, 55(4): 387-392. DOI: 10.1111/jpc.14402.

[7]
MCGRADY G A, RETTIG P J, ISTRE G R, et al. An outbreak of necrotizing enterocolitis. Association with transfusions of packed red blood cells[J]. Am J Epidemiol, 1987, 126(6): 1165-1172. DOI: 10.1093/oxfordjournals.aje.a114754.

PMID

[8]
CHRISTENSEN R D, LAMBERT D K, HENRY E, et al. Is “transfusion-associated necrotizing enterocolitis” an authentic pathogenic entity[J]. Transfusion, 2010, 50(5): 1106-1112. DOI: 10.1111/j.1537-2995.2009.02542.x.

[9]
DANG D, MENG Z, ZHANG C, et al. Heme induces intestinal epithelial cell ferroptosis via mitochondrial dysfunction in transfusion-associated necrotizing enterocolitis[J]. FASEB J, 2022, 36(12): e22649. DOI: 10.1096/fj.202200853RRR.

[10]
CRABTREE C S, PAKVASA M, RADMACHER P G, et al. Retrospective case-control study of necrotizing enterocolitis and packed red blood cell transfusions in very low birth weight infants[J]. J Neonatal Perinatal Med, 2018, 11(4): 365-370. DOI: 10.3233/NPM-1634.

PMID

[11]
IIJIMA S. Clinical dilemma involving treatments for very low-birth-weight infants and the potential risk of necrotizing enterocolitis: a narrative literature review[J]. J Clin Med, 2023, 13(1): 62. DOI: 10.3390/jcm13010062.

[12]
COUSELO M, FONSECA R, MANGAS L, et al. Surgical findings in transfusion-associated necrotizing enterocolitis[J]. Eur J Pediatr Surg, 2016, 26(3): 296-301. DOI: 10.1055/s-0035-1552570.

PMID

[13]
邵肖梅, 叶鸿瑁, 邱小汕. 实用新生儿学[M]. 5版. 北京: 人民卫生出版社, 2018: 633-634.

SHAO X M, YE H M, QIU X S. Practical Neonatology[M]. 5th Ed. Beijing: People’s Medical Publishing House, 2018:633-634.

[14]
MARTINI S, SPADA C, ACETI A, et al. Red blood cell transfusions alter splanchnic oxygenation response to enteral feeding in preterm infants: an observational pilot study[J]. Transfusion, 2020, 60(8): 1669-1675. DOI: 10.1111/trf.15821.

[15]
SEMPLE J W, REBETZ J, KAPUR R. Transfusion-associated circulatory overload and transfusion-related acute lung injury[J]. Blood, 2019, 133(17): 1840-1853. DOI: 10.1182/blood-2018-10-860809.

PMID

[16]
LIU X, ZHANG X, LI L, et al. Bioinformatics analysis of potential key genes and pathways in neonatal necrotizing enterocolitis[J]. BMC Pediatr, 2022, 22(1): 658. DOI: 10.1186/s12887-022-03721-4.

[17]
MOHANKUMAR K, NAMACHIVAYAM K, SONG T, et al. A murine neonatal model of necrotizing enterocolitis caused by anemia and red blood cell transfusions[J]. Nat Commun, 2019, 10(1): 3494. DOI: 10.1038/s41467-019-11199-5.

[18]
LIU T, ZONG H, CHEN X, et al. Toll-like receptor 4-mediated necroptosis in the development of necrotizing enterocolitis[J]. Pediatr Res, 2022, 91(1): 73-82. DOI: 10.1038/s41390-021-01457-y.

[19]
林湫泠, 张定国, 熊锋, 等. MiR-142-3p在感染后肠易激综合征中的表达及意义[J]. 新医学, 2022, 53(12): 899-903. DOI: 10.3969/j.issn.0253-9802.2022.12.007.

LIN Q L, ZHANG D G, XIONG F, et al. Expression and significance of miR-142-3p in post-infectious irritable bowel syndrome[J]. J New Med, 2022, 53(12): 899-903. DOI: 10.3969/j.issn.0253-9802.2022.12.007.

[20]
WANG Y, GAO W, SHI X, et al. Chemotherapy drugs induce pyroptosis through caspase-3 cleavage of a gasdermin[J]. Nature, 2017, 547(7661): 99-103. DOI: 10.1038/nature22393.

[21]
ZWEMER C F, DAVENPORT R D, GOMEZ-ESPINA J, et al. Packed red blood cells are an abundant and proximate potential source of nitric oxide synthase inhibition[J]. PLoS One, 2015, 10(3): e0119991. DOI: 10.1371/journal.pone.0119991.

[22]
MOHAMED A, SHAH P S. Transfusion associated necrotizing enterocolitis: a meta-analysis of observational data[J]. Pediatrics, 2012, 129(3): 529-540. DOI: 10.1542/peds.2011-2872.

PMID

[23]
STRITZKE A I, SMYTH J, SYNNES A, et al. Transfusion-associated necrotising enterocolitis in neonates[J]. Arch Dis Child Fetal Neonatal Ed, 2013, 98(1): F10-F14. DOI: 10.1136/fetalneonatal-2011-301282.

[24]
LEE H C, SUBEH M, GOULD J B. Low Apgar score and mortality in extremely preterm neonates born in the United States[J]. Acta Paediatr, 2010, 99(12): 1785-1789. DOI: 10.1111/j.1651-2227.2010.01935.x.

[25]
SU Y, XU R H, GUO L Y, et al. Risk factors for necrotizing enterocolitis in neonates: a meta-analysis[J]. Front Pediatr, 2022, 10: 1079894. DOI: 10.3389/fped.2022.1079894.

[26]
MARKOWITZ M A, WATERS J H, NESS P M. Patient blood management: a primary theme in transfusion medicine[J]. Transfusion, 2014, 54(10 Pt 2): 2587. DOI: 10.1111/trf.12862.

[27]
ARTHUR C M, NALBANT D, FELDMAN H A, et al. Anemia induces gut inflammation and injury in an animal model of preterm infants[J]. Transfusion, 2019, 59(4): 1233-1245. DOI: 10.1111/trf.15254.

PMID

[28]
REBER K M, NANKERVIS C A, NOWICKI P T. Newborn intestinal circulation. Physiology and pathophysiology[J]. Clin Perinatol, 2002, 29(1): 23-39.

PMID

[29]
HO T T B, KUMAR A, LOUIS-JACQUES A F, et al. The development of intestinal dysbiosis in anemic preterm infants[J]. J Perinatol, 2020, 40(7): 1066-1074. DOI: 10.1038/s41372-020-0599-z.

PMID

[30]
DENNING N L, PRINCE J M. Neonatal intestinal dysbiosis in necrotizing enterocolitis[J]. Mol Med, 2018, 24(1): 4. DOI: 10.1186/s10020-018-0002-0.

[31]
YAN X, MANAGLIA E, TAN X D, et al. Prenatal inflammation impairs intestinal microvascular development through a TNF-dependent mechanism and predisposes newborn mice to necrotizing enterocolitis[J]. Am J Physiol Gastrointest Liver Physiol, 2019, 317(1): G57-G66. DOI: 10.1152/ajpgi.00332.2018.

[32]
PATEL R M, KNEZEVIC A, SHENVI N, et al. Association of red blood cell transfusion, anemia, and necrotizing enterocolitis in very low-birth-weight infants[J]. JAMA, 2016, 315(9): 889-897. DOI: 10.1001/jama.2016.1204.

PMID

[33]
HAIDEN N, KLEBERMASS K, CARDONA F, et al. A randomized, controlled trial of the effects of adding vitamin B12 and folate to erythropoietin for the treatment of anemia of prematurity[J]. Pediatrics, 2006, 118(1): 180-188. DOI: 10.1542/peds.2005-2475.

PMID

文章导航

/