吞咽障碍的评估与治疗专题: 论著

基于德尔菲法的ICF吞咽障碍核心组合评估指标筛选研究

  • 李剑姣 ,
  • 杨清露 ,
  • 简楚瑶 ,
  • 蔡思敏 ,
  • 李昱姗 ,
  • 招少枫 , *
展开
  • 中山大学附属第八医院(深圳福田)康复医学科,广东 深圳 518033
招少枫,主任医师,研究方向:吞咽言语障碍、运动控制障碍及脑调控的临床与科研,E-mail:

李剑姣,主管技师,研究方向:吞咽障碍、运动控制障碍,E-mail:

Copy editor: 郑巧兰

收稿日期: 2025-04-03

  网络出版日期: 2025-09-02

基金资助

国家自然科学基金(82302881)

深圳市自然科学基金重点项目(JCYJ20220818102016034)

深圳市福田区卫生健康系统科研项目(FTWS2022015)

A study on screening evaluation indicators of ICF Core Set for Dysphagia Assessment using the Delphi method

  • LI Jianjiao ,
  • YANG Qinglu ,
  • JIAN Chuyao ,
  • CAI Simin ,
  • LI Yushan ,
  • ZHAO Shaofeng , *
Expand
  • Department of Rehabilitation Medicine, the Eighth Affiliated Hospital of Sun Yat-sen University, Shenzhen 518033, China
ZHAO Shaofeng, E-mail:

Received date: 2025-04-03

  Online published: 2025-09-02

摘要

目的 为“国际功能、残疾和健康分类”(ICF)吞咽障碍评估核心组合(ICF-DA)筛选评估指标,以提升其临床适用性。方法 基于文献综述设计包含64项候选评估指标的问卷。采用德尔菲(Delphi)法进行2轮问卷调查,计算权威系数(Cr)以评估专家的权威性。采用Spearman秩相关分析检验个体专家评分与群体评分之间的协调度,采用肯德尔和谐系数(W)检验专家整体协调度。使用5级Likert量表对各候选评估指标的重要性进行评分。根据第二轮问卷结果,选取各类目中变异系数(CV) <0.25且重要性得分最高的2个候选评估指标作为ICF-DA的评估指标。结果 共20位吞咽障碍诊疗专家完成2轮问卷调查。Cr为0.94,专家权威性较高。第二轮问卷的秩相关系数(rs)为0.71,提示个体专家评分与群体评分达到良好的协调度。2轮问卷的W均具有统计学意义(均P < 0.001),第二轮W较第一轮有所提高,专家整体协调度提升。最终确立17项评估指标。结论 通过德尔菲法为ICF-DA制定的评估指标,有助于吞咽障碍患者吞咽功能的多环节评估。

本文引用格式

李剑姣 , 杨清露 , 简楚瑶 , 蔡思敏 , 李昱姗 , 招少枫 . 基于德尔菲法的ICF吞咽障碍核心组合评估指标筛选研究[J]. 新医学, 2025 , 56(8) : 748 -755 . DOI: 10.12464/j.issn.0253-9802.2025-0122

Abstract

Objective To screen evaluation indicators of the International Classification of Functioning, Disability and Health (ICF) Core Set for Dysphagia Assessment (ICF-DA), with the aim of enhancing its clinical applicability. Methods A questionnaire comprising 64 candidate evaluation indicators was developed based on a literature review. The Delphi method was employed to conduct two rounds of expert surveys. The authority coefficient (Cr) was calculated to assess the reliability of expert opinions. The Spearman’s rank correlation coefficient (rs) was used to assess the consistency between individual expert scores and group scores, while Kendall’s Coefficient of Concordance (W) was used to assess overall expert agreement. A five-point Likert scale was used to rate the importance of each candidate indicator. Based on the results of the second-round questionnaire, the top two indicators in each category with a coefficient of variation (CV) less than 0.25 were selected as the final evaluation indicators for the ICF-DA. Results A total of 20 experts in dysphagia diagnosis and treatment completed both rounds of the survey. The Cr was 0.94, indicating high expert reliability. The rs value in the second round was 0.71, demonstrating good consistency between individual and group scores. Both rounds yielded statistically significant W value (P < 0.001), with a higher W value in the second round, indicating improved overall expert agreement. Ultimately, 17 evaluation indicators were finalized. Conclusion The evaluation indicators for the ICF-DA developed using the Delphi method contribute to a comprehensive and multi-dimensional assessment of swallowing function in patients with dysphagia.

吞咽障碍作为临床常见功能障碍,不仅显著增加误吸性肺炎、营养不良等继发症风险,更通过限制患者日常生活活动、降低社会参与度,对其生活质量产生多维度的负面影响[1-2]。国内一项关于吞咽障碍患病率的流行病学研究显示,卒中患者达51.14%,头颈癌患者34.4%,神经退行性疾病患者48.3%,健康老年人群亦达19.2%[3]。高患病率及其引发的多重健康后果,使得吞咽障碍评估体系的优化成为亟待解决的临床课题。当前吞咽功能评估工具普遍存在维度单一的局限性,多聚焦于功能损伤或活动参与的孤立测量,难以反映吞咽障碍患者在不同环节上的吞咽功能水平[4]。世界卫生组织基于生物-心理-社会模式构建的“国际功能、残疾和健康分类(International Classification of Functioning,Disability and Health, ICF)”框架,为构建多维度评估体系提供了理论范式[5]。尽管已有研究基于ICF康复组合(ICF Rehabilitation Set,ICF-RS)开发量化评定工具[6-7],但其中与吞咽功能相关的类目覆盖有限,尚难以应用于吞咽功能障碍的评估。
针对这一瓶颈,本课题组前期通过系统筛选ICF全类目库中1 400余个类目,最终确立包含8个核心类目的ICF吞咽障碍评估核心组合(ICF Core Set for Dysphagia Assessment,ICF-DA):其中“活动与参与(Activities and Participation)”维度涵盖了进食(d550)与喝(d560),“身体功能(Body Functions)”维度则包括咬(b5101)、咀嚼(b5102)、唾液分泌(b5104)、口腔的吞咽(b51050)、咽的吞咽(b51051)以及嗓音(b310)。虽然ICF-DA为各疾病的标准化评估奠定了理论基础,但其作为类目清单的属性存在两大应用局限:其一,现有ICF限定词采用非等距的0~4分量表,导致障碍程度判定的信效度受损[8];其二,操作指导的缺失造成临床评分者间一致性低下[9],严重制约其科研与临床转化价值。因此,为ICF-DA建立评估指标成为关键突破口。德尔菲(Delphi)法是一种成熟的专家进行群体决策的方法,在ICF核心集开发及评估细则制定中已展现显著优势[10]。该方法通过多轮匿名问卷调查收集专家意见,并利用反馈机制促成共识,以确保评估工具的科学性和临床适用性[11]。本研究拟通过德尔菲法为ICF-DA确立标准化评估指标,以提升其临床适用性,旨在推动吞咽障碍康复质量监控体系的构建,为精准康复干预方案的制定及卫生政策决策提供依据。

1 资料与方法

本研究获中山大学附属第八医院(深圳福田)医学伦理委员会批准(批件号:中大附八科研伦理 2023-117-02)。

1.1 建立ICF-DA的候选评估指标库

由2名研究人员在PubMed数据库实施检索:(dysphagia OR swallowing OR “swallowing impairment”)AND(assessment OR evaluation OR measurement)。检索时限设为2014年5月至2024年5月。

1.1.1 文献筛选

纳入标准:①临床随机对照试验;②研究对象为确诊吞咽障碍的成人(≥18岁);③使用经过信度、效度验证的吞咽功能评估工具;④全文可获取。通过NoteExpress进行文献去重后,研究以文献发表年份为分层依据,采用分层随机抽样法保留50%文献构成分析样本[12]

1.1.2 评估指标提取与ICF类目链接

由2名接受过ICF培训,且具有5年以上吞咽障碍治疗经验的研究人员独立完成:①提取纳入文献中吞咽评估工具并列出评定项目;②将评定项目转化为标准化评估指标;③参照Cieza等[13-14]建立的ICF链接规则,将评估指标映射至ICF-DA的8个类目。分歧内容提交第三位研究者仲裁,最终形成ICF-DA的候选评估指标库。

1.2 基于德尔菲法的专家问卷调查

1.2.1 问卷设计

问卷包含4个结构化模块:①知情同意模块,包含研究背景、目的、数据保密条款及自愿性原则;②专家资质核验模块,用于收集专家的姓名、工作科室、从事吞咽相关工作的年限、最高学历、工作岗位及最高职称;③候选指标评估模块,涵盖ICF-DA所包含的类目及其在ICF官网中的描述,列出每个类目的候选评估指标,采用5级Likert量表进行重要性评分,并设置开放式意见栏;④专家权威判定模块,用于记录专家评分依据(包括个人实践经验、理论分析、国内外同行信息、个人直觉)及对问卷内容的熟悉程度。

1.2.2 专家招募

2024年9至10月,通过以下方式招募参与调查的专家:①中国康复医学会吞咽障碍康复专业委员会成员及康复治疗专业委员会成人吞咽康复学组成员;②专家推荐的其他符合条件的专家。准入标准:①具有临床医学、康复治疗学或护理专业的教育背景;②至少2年吞咽障碍临床工作经验;③持有博士学位或中级及以上专业职称。根据既往文献[15],专家数量宜控制在15~30名。

1.2.3 问卷调查过程

共进行2轮专家问卷调查。第一轮调查包括专家邀请、问卷填写和问卷回收3个步骤。首先,研究小组成员通过微信向符合准入标准的专家发送邀请函。在专家同意参与后,将调查问卷的电子链接通过微信发送给专家。通过“问卷星”平台实施电子化数据采集。专家基于5级Likert量表对每一候选评估指标进行重要性评分,其中1分表示“非常不重要”,5分表示“非常重要”。每一候选评估指标限选单一评分。填写问卷所需时间约为10~15 min,要求专家在2周内完成并提交问卷。所有回收的问卷由2位研究人员独立核对数据完整性与准确性。
根据第一轮问卷的统计结果及专家意见,研究小组生成第二轮问卷。第二轮问卷详细报告首轮中各候选评估指标重要性评分得分的比例,同时纳入专家建议新增的候选评估指标。在这一轮问卷中,专家仍使用5级Likert量表评价候选评估指标的重要性。

1.3 统计学方法

本研究采用Excel 2016进行数据管理,并基于Jupyter Notebook 6.5.7(Anaconda, Inc.)运行定制化代码完成统计分析。专家基本信息采用n(%)进行描述性分析。参与专家的权威性通过权威系数(Cr)反映,Cr为专家对候选评估指标重要性评分的依据(Ca)与其对问卷内容熟悉程度(Cs)的算术平均值[16]Ca涵盖4个维度:个人实践经验(大、中、小分别赋值0.5、0.4、0.3)、理论分析(大、中、小分别赋值0.3、0.2、0.1)、国内外同行信息(统一赋值0.1)及个人直觉(统一赋值0.1);Cs采用5级评分(非常熟悉为1.0分、熟悉为0.8分、一般为0.6分、不熟悉为0.4分、非常不熟悉为0.2分)[16]。采用Spearman秩相关系数(rs)评估每一轮问卷中个体专家对每一候选评估指标的重要性评分与群体评分均值的协调度。如果Cr≥0.7[16]rs ≥0.7[17],则表明专家的权威性较高且该轮问卷结果具有良好的个体与群体间的协调度,可依据该轮问卷的重要性评分筛选评估指标。采用肯德尔和谐系数(W)检验专家整体协调度,0<W<1,值越大表明专家间的整体协调程度越高。候选评估指标的重要性评分以均值( x)±标准差(s)呈现。通过重要性评分计算变异系数(coefficient of variation,CV),计算公式为CV=s/ x[16],用于衡量专家意见集中度。筛选出各ICF类目中重要性评分前2位且满足CV<0.25的候选评估指标[16],作为最终纳入ICF-DA的评估指标。

2 结果

2.1 候选评估指标库的建立结果

通过文献检索共获取1 815篇相关文献,经过双人独立筛选,最终纳入符合标准的489篇。在严格遵循分层随机抽样原则的基础上,保留245篇(约占50%),并从中提取出75个吞咽障碍评估工具,归纳总结其评估内容形成评估指标。依据ICF链接规则,这些指标被映射至ICF-DA的8个类目,候选评估指标的分布如下:进食(d550)11条,喝(d560)7条,咬(b5101)4条,咀嚼(b5102)4条,唾液分泌(b5104)4条,口腔的吞咽(b51050)10条,咽的吞咽(b51051)19条,嗓音(b310)5条。

2.2 基于专家问卷调查的评估指标筛选结果

在专家问卷调查阶段,共有来自7个省(广东、浙江、四川、湖南、山东、河北和陕西)及3个直辖市(北京、上海和重庆)的20位专家,参与并完成2轮问卷调查。Cr的平均值为0.94±0.08,表明专家权威性较高。专家背景信息及Cr的具体信息见表1
表1 问卷调查专家的基本信息

Table 1 Basic information about the expert subject to the questionnaire

项 目 n(%)
职业
医师 7(35)
治疗师 11(55)
护士 2(10)
职称
高级 11(55)
中级 8(40)
初级 1(5)
最高学位
博士 5(25)
硕士 4(20)
学士 11(55)
吞咽康复相关工作年限
<10年 7(35)
10~20年 10(50)
>20年 3(15)
Cr
0.90~1.00 16(80)
0.80~0.89 3(15)
0.70~0.79 1(5)
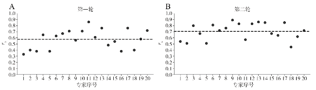
Spearman秩相关分析结果显示,首轮平均rs为0.58±0.16(95%CI:0.27~0.89),次轮提升至0.71±0.14(95%CI:0.44~0.98)。第二轮平均rs大于0.7,超过推荐标准,表明专家意见达到良好的个体与群体间的协调度,符合德尔菲法终止标准,故以第二轮评分结果筛选评估指标。见图1
图1 个体专家对候选评估指标重要性评分与群体均值之间的协调度

注:圆点为各专家的rs值,虚线为所有专家的平均rs值。

Figure 1 The agreement between individual experts, importance scores on evaluation indicators and the group mean

两轮问卷的W均具有统计学意义(P < 0.001),且第二轮W高于第一轮,表明专家整体协调程度提升,见表2
表2 2轮专家评估的肯德尔和谐系数

Table 2 Kendall, s Coefficient of Concordance (W) for two rounds of expert surveys

轮 次 W χ 2 P
第一轮 0.21 258.39 <0.001
第二轮 0.28 339.79 <0.001
根据第一轮调查中收集到的专家补充建议,第二轮问卷新增5条候选评估指标,详见表3中标记*的候选评估指标。根据第二轮问卷调查中所有候选评估指标的重要性评分均值及CV值(见表3),形成ICF-DA中各类目的评估指标(见表4)。
表3 ICF-DA各类目的候选评估指标在第二轮问卷调查中的重要性得分及其变异系数

Table 3 Importance scores and coefficient of variation of candidate evaluation indicators for each category in ICF-DA from the second-round survey

候选评估指标 $\bar{x} \pm s$ CV 候选评估指标 $\bar{x} \pm s$ CV
进食(d550) 口腔的吞咽(b51050)
经口进食功能参与度 4.90±0.31 0.06 味觉功能变化程度 3.40±0.99 0.29
经口进食监督需求等级 4.15±0.59 0.14 吞咽时嘴唇闭合功能 4.35±0.67 0.15
经口食物质地耐受等级 4.65±0.49 0.11 食团口腔运送功能 4.85±0.37 0.08
单餐进食量的变化 4.05±0.69 0.17 口腔到咽部的过渡时间 4.25±0.79 0.19
单餐进食时间的变化 3.85±0.75 0.19 食团形成功能 4.75±0.55 0.12
单餐进食速度的变化 3.80±0.70 0.18 单口量食物的吞咽次数 4.00±0.73 0.18
单口进食量的变化 3.90±0.64 0.16 吞咽费力程度 4.15±0.67 0.16
可进食食物种类范围 4.10±0.55 0.13 硬质食物刺激疼痛程度 3.50±0.95 0.27
体重变化趋势 3.80±0.77 0.20 经口进食后食物残留程度 4.25±0.72 0.17
进食恐惧心理 3.50±0.76 0.22 提示后口腔残留清除能力 4.20±0.70 0.17
餐具使用参与度 3.05±1.32 0.43 咽的吞咽(b51051)
进食时的体位* 4.60±0.50 0.11 咽部分泌物聚集程度 4.10±0.72 0.18
进食时的精神状态* 4.05±0.51 0.13 咽反射功能 4.15±0.88 0.21
喝(d560) 咳嗽反射功能 4.75±0.44 0.09
经口饮水功能参与度 4.60±0.60 0.13 吞咽时喉上抬的幅度 4.70±0.57 0.12
经口饮水监督需求等级 3.85±0.67 0.17 吞咽时会厌翻转功能 4.25±0.91 0.21
经口液体稠度适应性 4.55±0.51 0.11 食团的咽部转运时间 4.05±0.69 0.17
单口饮水量的变化 4.10±0.64 0.16 吞咽-呼吸协调功能 4.75±0.44 0.09
饮水速度的变化 3.65±0.75 0.20 鼻腔反流发生情况 4.15±0.75 0.18
饮水恐惧心理 3.60±0.99 0.28 单口量食物的吞咽次数 3.75±0.72 0.19
饮水工具使用参与度 3.45±1.23 0.36 吞咽费力程度 4.05±0.69 0.17
饮水时的体位* 3.80±0.95 0.25 吞咽后是否有咽部残留 4.80±0.41 0.09
饮水时的精神状态* 4.35±0.49 0.11 经提醒咽部残留清除能力 4.55±0.51 0.11
咬(b5101) 进食时咽部疼痛程度 3.70±0.73 0.20
最大咬合硬度耐受度 3.10±0.79 0.25 进食后哽咽感发生情况 4.10±0.72 0.18
咬物时前牙疼痛程度 3.15±0.88 0.28 进食后窒息感发生情况 4.65±0.59 0.13
前牙咬合功能 3.05±0.69 0.23 吞咽后血氧饱和度变化 4.75±0.44 0.09
咬的费力程度 3.25±0.85 0.26 渗漏/误吸发生情况 4.90±0.31 0.06
功能性张口幅度* 3.75±0.72 0.19 饮水后呛咳发生情况 4.90±0.31 0.06
咀嚼(b5102) 吞咽唾液后呛咳发生情况 4.90±0.31 0.06
最大咀嚼硬度耐受度 3.20±1.01 0.31 嗓音(b310)
咀嚼时臼齿疼痛程度 3.90±0.85 0.22 吞咽唾液后的音质变化 4.35±0.67 0.15
臼齿咬合功能 3.85±0.99 0.26 饮水后的音质变化 4.35±0.67 0.15
咀嚼的费力程度 3.75±0.85 0.23 音量调节控制功能 3.00±1.08 0.36
唾液分泌(b5104) 音阶调节控制功能 2.85±1.14 0.40
唾液分泌功能亢进程度 4.20±0.70 0.17 持续发音的功能 3.20±1.15 0.36
唾液分泌功能减退程度 3.80±1.01 0.26
唾液黏稠度异常程度 3.30±1.03 0.31
唾液控制障碍情境评估 3.65±0.88 0.24

注:标有*的评估指标为专家在第一轮中新提出的指标。

表4 ICF-DA各类目的评估指标

Table 4 Core evaluation indicators for each ICF-DA category

ICF类目 评估指标
进食(d550) 1.经口进食功能参与度
2.经口食物质地耐受等级
喝(d560) 3.经口饮水功能参与度
4.经口液体稠度适应性
咬(b5101) 5.前牙咬合功能
6.功能性张口幅度
咀嚼(b5102) 7.咀嚼时臼齿疼痛的情况
8.咀嚼的费力程度
唾液分泌(b5104) 9.唾液分泌功能亢进程度
10.唾液控制障碍情境评估
口腔的吞咽(b51050) 11.食团口腔运送功能
12.食团形成功能
咽的吞咽(b51051) 13.渗漏/误吸发生情况
14.吞咽唾液后呛咳发生情况
15.饮水后呛咳发生情况
嗓音(b310) 16.吞咽唾液后的音质变化
17.饮水后的音质变化

3 讨论

本研究结合ICF框架与德尔菲法进行专家问卷调查,为ICF-DA中的8条类目筛选出17项评估指标,这些指标在重要性评分和专家意见集中程度上均达到较高水平,为吞咽障碍患者的功能状态与健康结局的标准化评估提供科学依据。目前临床与科研常用的吞咽功能评估方法包括影像学检查[如视频透视吞咽造影(videofluoroscopic swallowing study,VFSS)[18]、纤维喉镜吞咽评估(fiberoptic endoscopic evaluation of swallowing,FEES)[19]]与主观量表[如吞咽障碍筛查量表(Eating Assessment Tool-10,EAT-10)[20]、吞咽功能独立性量表(Functional Oral Intake Scale,FOIS)[21]]。然而,现有的评估方法聚焦于吞咽障碍的单一方面,较少涉及吞咽功能的多环节评估,尤其是与咬、咀嚼、唾液控制及吞咽后嗓音变化等关键环节的整合分析。本研究融合ICF框架中的“活动与参与”与“身体功能”2个维度,以更系统的视角评估吞咽功能状态,可作为传统吞咽障碍评估工具的有力理论补充。
在“活动与参与”维度,2条类目的评估指标突破了传统评估对生理功能的过度关注。进食(d550)类目和喝(d560)类目的评估指标侧重于患者的经口摄食能力,具体包括不同食物质地的适应性、液体吞咽能力等,以量化方式评估患者在实际生活场景中的吞咽功能。这呼应了Cichero等[22]提出的国际吞咽障碍饮食标准(International Dysphagia Diet Standardization Initiative,IDDSI),强调吞咽功能评估应关注患者对不同饮食条件的适应能力,而不仅限于生理功能损害的测量。此外,有研究表明,进食能力与误吸、呛咳及吸入性肺炎的发生率密切相关[23],患者对不同食物质地的耐受性越低,其吞咽风险可能越高。因此,该维度的引入弥补了既往研究对吞咽障碍社会功能影响的忽视,为个性化饮食干预提供了新的评估依据。
在“身体功能”维度,6条类目的评估指标考虑吞咽生理过程的连续性特征,将ICF框架下的功能指标按吞咽阶段,即口腔准备期、口腔期、咽期进行系统整合,突破了传统评估工具聚焦单一功能障碍的局限。咬(b5101)类目的“前牙咬合功能”和“功能性张口幅度”及咀嚼(b5102)类目的“咀嚼时臼齿疼痛的情况”和“咀嚼的费力程度”直接关系到食物的处理质量[24]。食物的咬合和咀嚼效率决定食团的形成质量,并影响后续口腔内食团的顺利转运[25]。如果食团过大或过硬,可能会增加咽期吞咽的难度,甚至导致误吸[25]。唾液分泌(b5104)类目的“唾液分泌功能亢进程度”和“唾液控制障碍情境评估”,通过情境评估,可以进一步分析在不同活动状态下唾液控制的有效性,例如进食时和言语时的差异,这有助于更准确地识别神经源性吞咽障碍的调控机制[26]。现有的研究多侧重唾液分泌量的衡量[27],而本研究则引入了情境因素,为唾液分泌的功能评估提供更为全面的视角。口腔的吞咽(b51050)类目的“食团口腔运送功能”和“食团形成功能”直接关联到食团从口腔到咽部的转运效率[28]。食团是否能顺利形成并通过口腔向咽部传送,是判断吞咽功能是否完整的关键因素,并影响吞咽过程后续环节的正常执行[29]。咽的吞咽(b51051)类目的“渗漏/误吸发生情况”“吞咽唾液后呛咳发生情况”和“饮水后呛咳发生情况”聚焦在吞咽时的安全性,评估咽期的食物或液体是否顺利进入食管[30]。嗓音(b310)类目的“吞咽唾液后的音质变化”和“饮水后的音质变化”可作为误吸的间接生物标志物。既往研究表明,吞咽后声音质量异常可能提示声门保护功能不足或误吸残留[31]。因此,身体功能维度整体性地评估吞咽全过程的功能状态,为精准识别吞咽障碍的关键环节提供参考,推动评估方式从碎片化向整合化转变。
本研究的局限性主要包括以下几个方面:首先,本研究仅使用PubMed数据库进行文献检索,可能存在遗漏其他数据库相关研究的风险,尤其是非英文文献。然而,PubMed在医学与健康科学领域具有良好的代表性,已能覆盖本研究主题下的大部分核心文献,因此对研究结论的影响较小。未来可考虑联合多数据库检索,以增强结果的全面性和代表性。其次,尽管本研究在专家选择中已涵盖多个专业背景,但护理专家占比较低,可能导致对部分护理相关评估指标关注度不足,后续研究可进一步加强护理专业人士的参与。最后,本文所构建的评估指标目前仍处于初步阶段,其具体应用方式将在后续研究中通过开发标准化量表的形式进一步明确。
综上所述,本研究通过德尔菲法为ICF-DA制定评估指标,提升了其临床适用性,为传统吞咽障碍评估工具中单一维度的评估方式提供了有效的补充,有助于更加全面、准确地评估吞咽功能障碍。
利益冲突声明:本研究未受到企业、公司等第三方资助,不存在潜在利益冲突。
[1]
钟娟平, 张丽红, 谢琪, 等. 辣椒素在吞咽障碍患者中的应用进展[J]. 中华全科医学, 2023, 21(4): 667-671.DOI: 10.16766/j.cnki.issn.1674-4152.002956.

ZHONG J P, ZHANG L H, XIE Q, et al. Research progress of capsaicin in patients with dysphagia[J]. Chin J Gen Pract, 2023, 21(4): 667-671. DOI: 10.16766/j.cnki.issn.1674-4152.002956.

[2]
BAIJENS L W, CLAVÉ P, CRAS P, et al. European Society for Swallowing Disorders - European Union Geriatric Medicine Society white paper: oropharyngeal dysphagia as a geriatric syndrome[J]. Clin Interv Aging, 2016, 11: 1403-1428. DOI: 10.2147/CIA.S107750.

PMID

[3]
ZHANG M, LI C, ZHANG F, et al. Prevalence of dysphagia in China: an epidemiological survey of 5943 participants[J]. Dysphagia, 2021, 36(3): 339-350. DOI: 10.1007/s00455-020-10138-7.

[4]
窦祖林. 吞咽障碍评估与治疗[M]. 北京: 人民卫生出版社, 2009.

DOU Z L. Assessment and Treatment of Dysphagia[M]. Beijing: People’s Medical Publishing House, 2009.

[5]
USTÜN T B, CHATTERJI S, BICKENBACH J, et al. The International Classification of Functioning, Disability and Health: a new tool for understanding disability and health[J]. Disabil Rehabil, 2003, 25(11/12): 565-571. DOI: 10.1080/0963828031000137063.

[6]
燕铁斌, 高焱, 章马兰, 等. 《国际功能、残疾和健康分类·康复组合》评定量化标准(一)[J]. 康复学报, 2018, 28(4): 1-7. DOI: 10.3724/SP.J.1329.2018.04001.

YAN T B, GAO Y, ZHANG M L, et al. Assessment standard for the International Classification of Functioning, Disability and Health Rehabilitation Set (I)[J]. Rehabil Med, 2018, 28(4): 1-7. DOI: 10.3724/SP.J.1329.2018.04001.

[7]
燕铁斌, 高焱, 章马兰, 等. 《国际功能、残疾和健康分类·康复组合》评定量化标准(二)[J]. 康复学报, 2018, 28(5): 5-9. DOI: 10.3724/SP.J.1329.2018.05005.

YAN T B, GAO Y, ZHANG M L, et al. Assessment standard for the International Classification of Functioning, Disability and Health Rehabilitation Set(Ⅱ)[J]. Rehabil Med, 2018, 28(5): 5-9. DOI: 10.3724/SP.J.1329.2018.05005.

[8]
KOHLER F, CONNOLLY C, SAKARIA A, et al. Can the ICF be used as a rehabilitation outcome measure? A study looking at the inter-and intra-rater reliability of ICF categories derived from an ADL assessment tool[J]. J Rehabil Med, 2013, 45(9): 881-887. DOI: 10.2340/16501977-1194.

[9]
PRODINGER B, STUCKI G, COENEN M, et al. The measurement of functioning using the International Classification of Functioning, Disability and Health: comparing qualifier ratings with existing health status instruments[J]. Disabil Rehabil, 2019, 41(5): 541-548. DOI: 10.1080/09638288.2017.1381186.

PMID

[10]
TAYLOR E. We agree, don’t we? The Delphi method for health environments research[J]. HERD, 2020, 13(1): 11-23. DOI: 10.1177/1937586719887709.

[11]
刘书红, 杨丹, 胡细玲, 等. 2型糖尿病患者及家属饮食知信行调查问卷的编制与信效度检验[J]. 新医学, 2024, 55(11): 885-893. DOI: 10.3969/j.issn.0253-9802.2024.11.005.

LIU S H, YANG D, HU X L, et al. Development of dietary KAP(knowledge, attitude and practice)questionnaires for patients with type 2 diabetes mellitus and their family members and assessment of reliability and validity[J]. J New Med, 2024, 55(11): 885-893. DOI: 10.3969/j.issn.0253-9802.2024.11.005.

[12]
TSCHIESNER U M, ROGERS S N, HARREUS U, et al. Comparison of outcome measures in head and neck cancer: literature review 2000-2006[J]. Head Neck, 2009, 31(2): 251-259. DOI: 10.1002/hed.20960.

[13]
CIEZA A, GEYH S, CHATTERJI S, et al. ICF linking rules: an update based on lessons learned[J]. J Rehabil Med, 2005, 37(4): 212-218. DOI: 10.1080/16501970510040263.

PMID

[14]
CIEZA A, FAYED N, BICKENBACH J, et al. Refinements of the ICF linking rules to strengthen their potential for establishing comparability of health information[J]. Disabil Rehabil, 2019, 41(5): 574-583. DOI: 10.3109/09638288.2016.1145258.

PMID

[15]
BEIDERBECK D, FREVEL N, VON DER GRACHT H A, et al. Preparing, conducting, and analyzing Delphi surveys: cross-disciplinary practices, new directions, and advancements[J]. MethodsX, 2021, 8: 101401. DOI: 10.1016/j.mex.2021.101401.

[16]
ZHANG M, GAO Y, XUE J, et al. Development of the assessment standards of the International Classification of Functioning, Disability, and Health (ICF) Geriatric Core Set through a modified Delphi method[J]. BMC Geriatr, 2024, 24(1): 239. DOI: 10.1186/s12877-024-04816-6.

[17]
HUANG S W, CHEN Y W, ESCORPIZO R, et al. Development International Classification of Functioning, Disability and Health Core Set for Post Total Knee Replacement Rehabilitation Program: Delphi-based consensus study in Taiwan[J]. Int J Environ Res Public Health, 2021, 18(4): 1630. DOI: 10.3390/ijerph18041630.

[18]
YANG Q L, CHEN Y, WANG X J, et al. Correlation between lesion location and dysphagia characteristics in post-stroke patients[J]. J Stroke Cerebrovasc Dis, 2024, 33(6): 107682. DOI: 10.1016/j.jstrokecerebrovasdis.2024.107682.

[19]
DORUK C, CURTIS J A, DAKIN A E, et al. Cough and swallowing therapy and their effects on vocal fold bowing and laryngeal lesions[J]. Laryngoscope, 2024, 134(3): 1127-1132. DOI: 10.1002/lary.30922.

[20]
REYES-TORRES C A, CASTILLO-MARTÍNEZ L, RAMOS-VÁZQUEZ A G, et al. Effect of a texture-modified and controlled bolus volume diet on all-cause mortality in older persons with oropharyngeal dysphagia: secondary analysis of a randomized controlled trial[J]. Nutr Clin Pract, 2024, 39(3): 665-672. DOI: 10.1002/ncp.11052.

[21]
TARAMESHLU M, ANSARI N N, GHELICHI L, et al. The effect of repetitive transcranial magnetic stimulation combined with traditional dysphagia therapy on poststroke dysphagia: a pilot double-blinded randomized-controlled trial[J]. Int J Rehabil Res, 2019, 42(2): 133-138. DOI: 10.1097/MRR.0000000000000336.

PMID

[22]
CICHERO J A Y, LAM P, STEELE C M, et al. Development of International Terminology and Definitions for Texture-Modified Foods and Thickened Fluids Used in Dysphagia Management: the IDDSI framework[J]. Dysphagia, 2017, 32(2): 293-314. DOI: 10.1007/s00455-016-9758-y.

PMID

[23]
HASHIDA N, TAMIYA H, KOREMATSU M, et al. Does oral intake of thin fluids increase aspiration pneumonia for dysphagia after head and neck cancer surgery? A retrospective study for a total of 654 cases[J]. Auris Nasus Larynx, 2023, 50(5): 757-764. DOI: 10.1016/j.anl.2023.01.007.

PMID

[24]
SHIOZAWA K, OHNUKI Y, MOTOTANI Y, et al. Effects of food diameter on bite size per mouthful and chewing behavior[J]. J Physiol Sci, 2016, 66(1): 93-98. DOI: 10.1007/s12576-015-0411-6.

PMID

[25]
MATSUO K, FUJISHIMA I. Textural changes by mastication and proper food texture for patients with oropharyngeal dysphagia[J]. Nutrients, 2020, 12(6): 1613. DOI: 10.3390/nu12061613.

[26]
NASCIMENTO D, MEIRA B, GARCEZ L, et al. Predictors of drooling severity in people with Parkinson’s disease[J]. J Neurol, 2025, 272(2): 129. DOI: 10.1007/s00415-024-12739-w.

[27]
PFLUG C, NIENSTEDT J C, GULBERTI A, et al. Impact of simultaneous subthalamic and nigral stimulation on dysphagia in Parkinson’s disease[J]. Ann Clin Transl Neurol, 2020, 7(5): 628-638. DOI: 10.1002/acn3.51027.

[28]
MATSUO K, PALMER J B. Anatomy and physiology of feeding and swallowing: normal and abnormal[J]. Phys Med Rehabil Clin N Am, 2008, 19(4): 691-707. DOI: 10.1016/j.pmr.2008.06.001.

PMID

[29]
FERRIS L, DOELTGEN S, COCK C, et al. Modulation of pharyngeal swallowing by bolus volume and viscosity[J]. Am J Physiol Gastrointest Liver Physiol, 2021, 320(1): G43-G53. DOI: 10.1152/ajpgi.00270.2020.

[30]
PETERSSON K, FINIZIA C, PAULI N, et al. A randomized controlled study evaluating the head-lift exercise in head and neck cancer patients with radiation-induced dysphagia: effect on swallowing function and health-related quality of life over 12 months[J]. Eur Arch Otorhinolaryngol, 2023, 280(12): 5445-5457. DOI: 10.1007/s00405-023-08183-7.

[31]
DOS SANTOS K W, DA CUNHA RODRIGUES E, RECH R S, et al. Using voice change as an indicator of dysphagia: a systematic review[J]. Dysphagia, 2022, 37(4): 736-748. DOI: 10.1007/s00455-021-10319-y.

文章导航

/