论著

基于人工智能构建影像增强检查静脉穿刺位点定位模型的临床研究

  • 邓虹 , 1 ,
  • 黄镇伟 2 ,
  • 许彦君 3 ,
  • 张园园 2 ,
  • 王昌栋 2 ,
  • 杨泽宏 , 1
展开
  • 1.中山大学孙逸仙纪念医院放射科,广东 广州 510000
  • 2.中山大学计算机学院,广东 广州 510006
  • 3.中山大学孙逸仙纪念医院急诊科,广东 广州 510000
杨泽宏,副主任医师,研究方向:影像诊断、医学人工智能,E-mail:

邓虹,副主任护师,研究方向:影像护理,E-mail:

Copy editor: 林燕薇

收稿日期: 2025-09-08

  网络出版日期: 2025-10-28

基金资助

国家自然科学基金(62276277)

北京医学奖励基金会课题(YXJL-2024-0350-0261)

Clinical study of construction of artificial intelligence-based localization model for venous puncture sites in contrast-enhanced imaging examination

  • DENG Hong , 1 ,
  • HUANG Zhenwei 2 ,
  • XU Yanjun 3 ,
  • ZHANG Yuanyuan 2 ,
  • WANG Changdong 2 ,
  • YANG Zehong , 1
Expand
  • 1. Department of Radiology, Sun Yat-sen Memorial Hospital of Sun Yat-sen University, Guangzhou 510000, China
  • 2. Department of Computer Science and Engineering, Sun Yat-sen University, Guangzhou 510006, China
  • 3. Department of Emergency Medicine, Sun Yat-sen Memorial Hospital of Sun Yat-sen University, Guangzhou 510000, China
YANG Zehong, E-mail:

Received date: 2025-09-08

  Online published: 2025-10-28

摘要

目的 探讨基于人工智能的影像增强检查静脉穿刺位点选择的科学性,并对其进行临床效能评价。方法 采用前瞻性观察性研究,收集2025年6月25日至2025年7月11日在中山大学孙逸仙纪念医院及中山大学孙逸仙纪念医院深汕中心医院接受影像增强检查患者,参考《影像增强检查外周静脉通路三级评价査检表》指标进行汇总分析,采集多模态数据建立智能化数据预处理框架,构建基于人工智能的影像增强检查静脉穿刺位点定位模型。以放射科有5年以上工作经验护士确认过的、成功率较高的穿刺点为金标准,评估人工智能定位模型推荐的穿刺位点与金标准之间的吻合程度。结果 共纳入433例患者,低危组380例,高危组53例。基于人工智能的定位模型的Dice系数与交并比(IoU)分别为0.593 1与0.496 8,整体准确率达到0.967 1。在低危组中的Dice系数与IoU分别为0.617 8 和0.506 9,召回率达到0.791 2,MLE分数为68.07;在高危组中的Dice系数与IoU分别为0.553 1与0.478 2,召回率为0.702 4,MLE分数为64.18。低危组与高危组的Dice系数、IoU、准确率、召回率和MLE分数比较差异均有统计学意义(均P < 0.001)。年龄分层分析中,青年组、中年组、中老年组的Dice系数分别为0.581 0、0.659 8、0.629 2, IoU分别为0.456 3、0.502 1、0.529 8,准确率均超过0.95,召回率分别为0.635 0、0.759 1、0.710 4;老年组的Dice系数和IoU分别为0.550 6与0.524 7,准确率为0.946 3,召回率为0.670 1;各项指标的组间两两比较差异均有统计学意义(均P < 0.05)。结论 本研究所建立的基于人工智能的定位模型可以有效提升穿刺点定位鲁棒性,提供具有临床直觉的一致性解释,为高效、安全地选择静脉穿刺位点提供指导方案。

本文引用格式

邓虹 , 黄镇伟 , 许彦君 , 张园园 , 王昌栋 , 杨泽宏 . 基于人工智能构建影像增强检查静脉穿刺位点定位模型的临床研究[J]. 新医学, 2025 , 56(10) : 968 -976 . DOI: 10.12464/j.issn.0253-9802.2025-0263

Abstract

Objective To evaluate the scientificity of artificial intelligence (AI)-based localization model for venous puncture sites in contrast-enhanced imaging examination and evaluate its clinical efficacy. Methods A prospective observational study was conducted. A total of 433 patients who underwent contrast-enhanced imaging examination at Sun Yat-sen Memorial Hospital of Sun Yat-sen University and Shenshan Central Hospital of Sun Yat-sen Memorial Hospital of Sun Yat-sen University from June 25 to July 11, 2025 were collected. Data were summarized and analyzed with reference to the indicators in the standardized application of a three-level evaluation model for inspecting peripheral venous access through image enhancement. Multimodal data were collected to establish an intelligent data preprocessing framework and develop an AI-based localization model for venous puncture sites in contrast-enhanced imaging examination. Taking the puncture sites confirmed by nurses with more than 5 years of working experience in Radiology Department as the gold standard, the degree of agreement between the puncture sites recommended by the AI-based localization model and the gold standard was evaluated. Results Among 433 patients, 380 cases were allocated into the low-risk group and 53 into the high-risk group. The Dice coefficient and Intersection over Union (IoU) of the AI-based localization model were 0.593 1 and 0.496 8, respectively, with an overall accuracy of 0.967 1. In the low-risk group, the Dice coefficient and IoU were 0.617 8 and 0.506 9, the recall rate reached 0.791 2, and the MLE score was 68.07, respectively. In the high-risk group, the Dice coefficient and IoU were 0.553 1 and 0.478 2, the recall rate was 0.702 4, and the MLE score was 64.18, respectively. There were significant differences in the Dice coefficient, IoU, accuracy rate, recall rate and MLE score between the low-risk and high-risk groups (all P < 0.001). In the age stratification analysis, the Dice coefficients in the youth, middle-aged and middle-aged groups were 0.581 0, 0.659 8 and 0.629 2, and the IoU was 0.456 3, 0.502 1 and 0.529 8, the accuracy rates exceeded 0.95 and the recall rates were 0.635 0, 0.759 1 and 0.710 4, respectively. The Dice coefficient and IoU in the elderly group were 0.550 6 and 0.524 7, the accuracy rate was 0.946 3 and recall rate was 0.670 1, respectively. There was statistical significance in each index between any of two groups (all P < 0.05). Conclusion The AI-based localization model established in this study can effectively improve the robustness of puncture site localization, provide consistent explanations aligned with clinical intuition, and offer an efficient, safe guidance regimen for selecting venous puncture sites.

静脉穿刺是一种医疗操作技术,指使用穿刺针刺破皮肤和静脉壁进入静脉血管的过程,是临床护理与影像检查中常见的基本操作之一。穿刺位点的选择是建立静脉通路的关键环节。若穿刺点选择不当,极易引起药物(如对比剂)外渗、血管损伤甚至组织坏死等严重并发症[1],不仅可能导致静脉注射或影像增强检查失败,还会影响患者诊疗安全与治疗进程。
以电子计算机断层扫描(computed tomography,CT)和磁共振成像(magnetic resonance imaging,MRI)为代表的影像增强检查,需要通过高压注射器快速注入对比剂,其成像质量、检查安全和成功率高度依赖于静脉通路的建立情况[2]。临床常规护理在选择穿刺血管时主要选择上肢粗、直、弹性好,活动度较小,易于固定,能满足影像检查匹配留置针型号的静脉[3]。然而当前静脉穿刺技术主要依赖操作者经验,不同护士在操作水平、临床经验及对患者血管条件的判断方面存在显著差异。与此同时,患者个体差异如肤色、肥胖、疾病、放射治疗和(或)化学治疗、年龄等因素可能导致在环境光下无法准确、可靠地判断血管直径、充盈度、弹性等情况[4-6],也进一步增加了操作的不确定性,降低了一次性穿刺成功率。研究显示,对于经验不足的操作者,血管穿刺的失败率高达40%[7]。穿刺失败将破坏患者血管,增加穿刺的痛苦,也带来额外的医疗风险与医疗资源消耗[8-9]。在基层或偏远地区医疗机构,护士缺乏系统化培训和高水平的操作经验,这类挑战尤为突出[10]。因此,开发能够在不同经验水平的操作者中均保持稳定表现的辅助工具,对于提高影像检查的安全性与普及性具有重要临床价值。
当前,以深度学习为代表的人工智能(artificial intelligence,AI)技术已广泛应用于智慧医疗领域[11-13]。特别在护理领域,有研究表明深度学习在近红外光或超声引导下可协助分析静脉直径、走向、弯曲度等特征,推荐最佳穿刺位点,建立可视化静脉通路[14-16]。Chen等[17]利用循环全卷积网络 (Rec-FCN)进行前臂静脉血管分割显像,其分割图像准确率约85%,但清晰度不足,同时缺少图像细节。一种融合注意力机制和残差网络的GR-UNet模型,采用交叉熵损失与Dice损失的加权损失函数,增强了对手背静脉特征信息的获取,对手背静脉分割效果明显,有助于可视化穿刺静脉进行定位[18]。然而,由于缺乏操作简便性,深度学习算法结合辅助设备可视化血管辅助穿刺的技术在复杂的临床环境中受到血管图像投影效果模糊,投影位置与实际静脉位置存在偏移、投影可能在穿刺皮肤时产生扭曲、操作者缺乏手眼协调性导致针尖移位等影响[19-20],实际应用效果有待验证提升,难以广泛应用,临床亟待开发一种简便易行、高效安全的静脉通路建立手段。客观、标准化的辅助定位能够降低经验差异带来的失败率,也可作为低年资护士的操作指导工具,帮助护理群体缩短学习曲线[21];同时,对于医疗资源不足地区的护理人员,也能提供可推广的辅助手段,推动护理服务的均衡发展。
因此,本研究拟采用深度学习Swin-Transformer等AI算法,融合患者个体化信息、生命体征、血管形态学特征等多模态数据,构建影像增强检查静脉穿刺位点定位模型,快速确定穿刺位点,辅助高效建立静脉通路,提高影像增强检查静脉穿刺一次成功率,并开展多中心验证。以期能够全面提升各级医疗机构影像增强检查静脉通路建立的效率,提升影像诊查的医疗安全和质量。

1 对象与方法

1.1 研究对象

纳入2025年6月25日至2025年7月11日期间中山大学孙逸仙纪念医院及中山大学孙逸仙纪念医院深汕中心医院因为病情需要拟行影像增强检查的患者,并排除以下患者:①近期肾功能检查提示GFR ≤ 30 mL/(min•1.73 m2);②存在不可逆脑损伤或脑死亡症状;③有外周静脉穿刺禁忌证(双侧乳腺癌术后、四肢静脉血栓等);④甲状腺功能亢进未控制;⑤未来2周需要接受131I治疗患者;⑥参与者血管条件极差无法行留置针穿刺患者;⑦行双上肢影像增强检查患者;⑧已知患者对造影剂存在禁忌证。本研究方案符合医学伦理相关规定,严格遵守《赫尔辛基宣言》,通过中山大学孙逸仙纪念医院伦理委员会审查(批件号:SYSKY-2025-679-03),所有患者均知情同意并签署同意书,所有患者信息均已进行脱敏处理。

1.2 信息收集

对于所有符合纳排标准并成功入组的患者,本研究均采集其影像检查中留置针穿刺前、后的手臂影像。图像由像素不低于1 600万的手机相机拍摄,固定拍摄视角为手臂正上方,拍摄环境光线明亮,手臂下方统一铺垫白布。图像格式为JPG,色彩模式为RGB,固定拍摄视角为手臂正上方。拍摄穿刺前图像时,展示肘关节及以下手臂部位,保证手臂无针头或血迹,并清晰地展示患者检查条码,见图1A。护士依据患者的个体生理条件进行综合评估后确定穿刺部位。常用的上肢穿刺部位包括肘部、手臂及手背。选择穿刺部位需避开瘢痕或文身等可能影响穿刺部位判断的皮肤区域,并完整展示肘关节及腕关节。进行穿刺后图像拍摄时,指导患者保持肢体稳定,展示肘关节及以下手臂部位,尤其是穿刺点具体位置及穿刺点周围组织变化情况,同时展示患者检查条码,见图1B。排除存在运动模糊、光照不均匀等问题的不合格图像。对于判定为不合格的图像,即时重新拍摄,直至获取符合质量标准的图像,确保所有纳入研究的图像数据质量可靠。患者相关信息参考《影像增强检查外周静脉通路三级评价查检表》指标进行汇总整理,同时将采集的图像与对应的患者信息表进行精准关联匹配,由研究人员按照规范流程进行保存与管理,避免患者隐私数据泄露。
图1 参考信息收集标准采集样例示意图

注:A为穿刺前手臂图像;B为无纱布覆盖的穿刺后手臂图像。

Figure 1 Schematic diagram of sample collection with reference to information collection standards

1.3 观察指标

所有入组患者需在穿刺操作前,由经过统一培训的影像科护士评估并完成《影像增强检查外周静脉通路三级评价模式应用规范》[3]中查检表的填写。查检表评价条目共28项,其中患者基本信息方面包括性别、年龄、身体质量指数(body mass index,BMI)、身高、体质量、检查日期、影像号、临床诊断;静脉穿刺操作方面包括穿刺次数、穿刺耗时;穿刺难度相关评分指标方面包括年龄评分、BMI评分、静脉穿刺困难史评分、基础疾病评分、特殊用药史评分、全身状况评分、解剖位置评分、血管可见度评分、血管长度评分、血管固定度评分、血管弹性评分、目标血管可观察到的穿刺点数评分、患者依从性评分、患者或家属期待值评分、患者晕血或晕针症评分。所有指标均由专人依据统一标准记录与核对,确保数据的准确性与完整性。研究以查检表综合评分结果为依据,将患者外周血管穿刺风险划分为0~3级,其中0~2级代表穿刺风险低危,3级代表穿刺风险高危,并将该血管穿刺风险分级作为分层因素纳入随机化设计,确保不同穿刺等级的患者在高危组和低危组两组间的分布均衡,提升组间可比性。

1.4 算法构建

本研究提出了一种基于Swin-Transformer的静脉穿刺点定位模型,见图2。数据增强仅采用轻度几何扰动(旋转±10°、缩放0.9~1.1倍、亮度/对比度微调),保证血管形态学特征不受破坏。在用于训练的影像样本构成上,绝大多数样本为肘部静脉穿刺位点图像,同时包含少量手臂静脉穿刺位点图像与手背静脉穿刺位点图像,形成覆盖临床常见穿刺区域且符合临床实际需求的训练样本集。模型结构包括影像表征提取、临床特征嵌入、跨模态融合与穿刺点预测共四个阶段:Swin-Transformer编码影像特征,多层感知机对患者生理指标生成调制向量并通过通道注意力进行融合,最后经上采样与卷积生成穿刺点概率热图。训练采用二元交叉熵与Dice损失加权,优化器为 AdamW,并使用余弦退火学习率调度与混合精度加速。推理阶段通过软件argmax计算穿刺点坐标,实现亚像素级定位。
图2 AI定位模型整体框架

注:A为本研究患者数据分布情况;B为AI定位模型架构;C为AI定位模型评估指标与对比对象。

Figure 2 Overall framework of the AI localization model

1.5 实验环境

模型训练与验证均在同一计算环境下完成。硬件配置包括 NVIDIA A100 GPU(80 GB显存)、Intel Xeon Gold 6330 CPU、512 GB 内存,操作系统为 Ubuntu 22.04 LTS。深度学习框架采用PyTorch 2.0,CUDA 11.8与cuDNN 8.6提供 GPU 加速支持。数据预处理使用Python 3.10完成。单次训练约需0.2 h,权重初始化采用ImageNet预训练参数。所有实验均设定固定随机种子以确保结果可复现。

1.6 统计学方法

以影像科高年资(>5年)护士确认的高成功率穿刺点为金标准,评估AI定位模型推荐穿刺点与金标准的吻合程度。所有分析在Python 3.10环境下完成。通过计算准确率与召回率评估模型性能,同时结合Dice系数与IoU对模型空间重叠度进行评估,MLE分数用于反映模型在概率分布拟合上的稳定性[22]。所有指标均在单个样本级别进行计算,即于测试集中的每一张独立影像,均分别计算其Dice系数、IoU、准确率、召回率等指标。对于两组比较,采用Mann-Whitney U检验比较各指标中位数的差异。对于多组比较,首先使用Kruskal-Wallis H检验判断组间是否存在整体差异;若检验结果具有统计学意义,则进一步使用Dunn’s检验进行两两比较。所有假设检验均为双侧检验,以P < 0.05为差异具有统计学意义。

2 结果

2.1 纳入研究患者的基本资料

纳入2025年6月25日至2025年7月11日在中山大学孙逸仙纪念医院及中山大学孙逸仙纪念医院深汕中心医院因为病情需要拟行影像增强检查的433例患者,其中男性242例,女性191例,平均年龄53.98岁,平均穿刺分数3.92分。参考《影像增强检查外周静脉通路三级评价检查表》对血管条件进行分级,其中低危组380例,高危组53例。

2.2 模型训练

样本按8︰2划分为训练集与测试集,其中10%的训练集样本作为验证集进行参数调优,并采用5折交叉验证评估模型稳健性。

2.3 模型评估

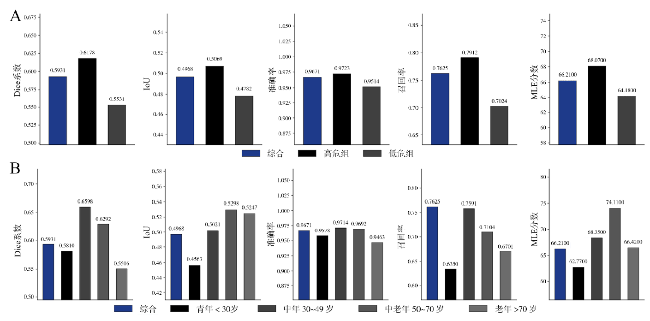
基于AI的影像增强检查静脉穿刺位点定位模型(AI定位模型)进行了整体与分层评估。在整体实验中,AI定位模型的Dice系数与IoU分别为0.593 1与0.496 8,准确率为0.967 1,召回率为0.762 5,MLE分数为66.21,显示模型在总体上能够稍微稳定地识别穿刺点区域。风险分层结果如图3A所示。在低危组中,模型表现较好,Dice系数与IoU分别为0.617 8和0.506 9,召回率达到0.791 2,MLE分数为68.07,提示模型在血管条件较为理想的情况下具有较强的稳定性。相比之下,高危组的表现相对不足,Dice系数与IoU分别为0.553 1与0.478 2,召回率为0.702 4,MLE分数为64.18,说明在血管条件复杂或风险较高人群中,模型的定位能力仍存在提升空间。在低危组、高危组的两组比较中,IoU(P = 0.010)与Dice(P = 0.008)系数具有统计学意义,准确率、召回率和MLE分数亦具有统计学意义(P < 0.001)。
图3 AI定位模型分组实验结果

注:A为按照风险组合分组的AI定位模型表现,B为按照年龄分组的AI定位模型表现。

Figure 3 Grouped experimental results of the AI localization model

年龄分层分析:年龄分层分析见图3B。青年(年龄<30岁)组和中年(年龄30~49岁)组的Dice系数分别为0.581 0与0.659 8,IoU分别为0.456 3与0.502 1,准确率均超过0.95,召回率分别为0.635 0与0.759 1。其中,中年组在各项指标上表现最优。中老年(年龄50~70岁)组的Dice系数与IoU分别为0.629 2与0.529 8,准确率为0.969 2,召回率为0.710 4,表现相对较好。老年(年龄>70岁)组的Dice系数和IoU分别为0.550 6 与0.524 7,准确率为0.946 3,召回率为0.670 1,整体与中年、中老年组相比仍存在差距。各项指标的组间两两比较差异均有统计学意义(均P < 0.05);以IoU为例,除中年组vs.中老年组(P = 0.047)与中老年组vs.老年组(P = 0.023)外,其余组间比较的差异均P < 0.001。其余为进一步直观展示模型在不同个体中的表现,图4为中老年组患者的穿刺点定位案例。在图4AB中,AI定位模型将穿刺点从肘正中静脉区域相对居中的位置错误地定位至偏右侧区域,提示其在部分血管走行不清晰、局部特征与背景相似的情况下,存在空间偏移的风险。而在图4CD中,模型识别结果与金标准高度一致,能够准确标注肘静脉穿刺点。
图4 AI定位模型在中老年组上的案例展示

注:以暗红色不规则框区域作为穿刺金标准,红色点代表AI定位模型定位的穿刺位点。A为案例1穿刺前手臂图像。B为案例1金标准穿刺点与AI模型定位的穿刺位点未吻合,AI定位模型错误定位穿刺点。C为案例2穿刺前手臂图像。D为案例2金标准穿刺点与AI模型定位的穿刺位点基本吻合,AI定位模型正确定位穿刺点。

Figure 4 Case demonstration of the AI localization model in the middle-aged and elderly groups

3 讨论

本研究基于前瞻性数据,对AI定位模型的性能进行了系统评估,并与高年资(>5年)护士金标准进行了对照。整体结果显示,AI定位模型在准确率上表现较高,但Dice系数、IoU和召回率仍处于中等水平,提示其在穿刺点空间定位上尚有不足。这种“准确率虚高”现象主要源于任务本身的不平衡性:穿刺点区域在影像中所占比例极小,大量背景像素的正确分类拉高了整体准确率,而模型在小目标区域的检测灵敏度和精确性仍是核心难点。因此,Dice系数、IoU和召回率更能真实反映模型对关键区域的捕捉能力,也是后续优化的重点。当前模型虽能保证整体稳定性,但在应对高复杂度血管条件时,其空间识别能力仍需进一步提升,例如通过多尺度特征增强[23]、小目标检测优化[24]或引入时序或血流动力学特征[25]来改善模型对真实穿刺点的捕捉能力。
分层分析进一步揭示了模型在不同人群中的表现差异。在年龄分层中,中年与中老年组的表现优于青年与老年组,提示AI定位模型在血管影像特征清晰、解剖位置典型时具有较高的稳定性,但在复杂或边界模糊的场景下仍易受局部特征干扰,导致穿刺点错位。相反,模型在血管条件适中、影像特征相对稳定时更容易捕捉穿刺点。这一现象与临床观察高度一致:青年患者血管相对细小、皮下组织覆盖较少,影像特征对比度不足,容易增加识别难度;而老年患者血管硬化、连续性下降,血管壁模糊,进一步降低了模型的检测敏感性。相比之下,中老年患者的血管形态在弹性与可见度上处于相对均衡状态,因此模型表现更佳。在风险分层中,低危组的Dice系数与召回率明显优于高危组,说明AI定位模型在血管条件较好人群中的稳定性和可用性更强,能够提供接近经验护士的定位参考,从而提升整体操作的可靠性和效率。而在复杂高危患者中,模型往往难以精准识别目标区域,但仍能提供一定的候选点提示,对低年资护士而言,在使用AI定位模型时需要保持警惕,将其作为“决策支架”降低盲穿率。
本研究中AI定位模型在中年组与中老年组中预测的穿刺位点与金标准护士穿刺位点重叠程度高,但在青年组与老年组中的位点重叠程度较低。这种差距表明,当前模型尚不足以完全替代临床操作经验。然而,临床实践中对AI定位模型存在明确需求:一方面,不同年资护士穿刺经验差异较大[26],低年资护士面对血管条件较差的患者时,常面临定位难、反复穿刺的问题;另一方面,急诊[27]、儿科[28]、老年科[8]等场景中,快速精准定位穿刺位点的需求迫切,需要辅助工具提升效率与安全性。在此背景下,AI 定位模型可作为辅助工具展现其独特优势。首先,其输出结果稳定一致,在不同人群中都展现出相对准确的穿刺位点概率预测。在高危人群中,尽管评价指标得分相对较低,但AI定位模型仍能捕捉到部分血管特征,并提供潜在穿刺点,帮助操作者在困难场景下进行参考,从而在实际工作中减少多次尝试的风险。未来,护士可通过基于AI定位模型开发的手机应用,拍摄患者静脉区域影像,应用将实时输出预测的穿刺位点。护士结合自身经验判断定位结果:认可则直接进入消毒环节,存疑可重新拍摄确认;确定穿刺后,再依据实际操作效果对定位结果打分。不同临床场景下的打分数据将自动汇总反馈至模型后台,驱动模型优化更新,进而增强其对复杂场景的适应性,持续提升定位准确性。其次,与红外光或超声辅助静脉定位模型相比,本研究构建的AI定位模型无需专用定位设备,仅通过智能手机采集穿刺部位影像即可完成定位分析,在保证定位准确性的前提下,有效解决了红外光、超声定位设备存在的购置成本较高、便携性差的问题[29]。此外,对于基层或偏远地区的医疗机构,护士缺乏系统化培训机会,AI定位模型有望作为标准化的辅助工具,弥补经验不足带来的差距,提升影像增强检查的可及性与安全性。从教学与培训的角度来看,AI定位模型给出的潜在穿刺点不仅可辅助临床操作,还能作为直观的教学工具,为护理学员展示潜在的穿刺点与血管条件的差异。
需要指出的是,本研究仍存在一定局限性。AI定位模型在小目标区域的捕捉能力仍存在不足,空间漂移风险仍然是穿刺位点定位的一大干扰因素,如何进一步提升Dice系数与IoU是后续工作的重点。此外模型训练数据主要以肘部静脉穿刺位点影像为主,训练样本的部位覆盖范围较窄,尚未拓展至手背、手臂及其他需静脉注射操作的定位场景,导致模型当前对非肘部静脉位点的定位适应性与泛化能力有待提升,相关场景的拓展应用需在后续研究中进一步探索。
综上所述,本研究表明AI定位模型在静脉穿刺点预测任务中具备应用潜力,能够为多年龄段及多危险等级的影像增强检查患者提供稳定、一致的穿刺位点推荐参考。尽管AI定位模型的效果与资深护士相比仍存在差距,但其稳定性、可复制性以及可扩展优化的能力,赋予了AI定位模型作为临床辅助工具的重要价值。未来应结合更大规模、多中心的数据,并探索多模态特征融合与小目标优化策略,同时开展前瞻性临床对照试验探索AI定位模型向全静脉注射场景拓展,进一步验证其在提升一次穿刺成功率方面的实际贡献,并为解决繁忙护理工作中定位效率问题、弥补基层护理经验短板提供可落地的技术支持。
利益冲突声明:本研究未受到企业、公司等第三方资助,不存在潜在利益冲突。

感谢中山大学孙逸仙纪念医院放射科护理团队冯艳冰主管护师、王一凡护师、唐杏萍护师、彭燕丽护师、冯舒丽护师,中山大学孙逸仙纪念医院深汕中心医院放射科黄加奕主治医师、黄艳琳主管护师在数据收集过程中的鼎力相助。

[1]
中华护理学会内科专业委员会. 含碘对比剂静脉外渗护理管理实践指南[J]. 中华护理杂志, 2021, 56(7): 1008. DOI: 10.3761/j.issn.0254-1769.2021.07.008.

Internal Medicine Nursing Committee of Chinese Nursing Association. Clinical practice guideline for nursing management of iodinated contrast media extravasation[J]. Chin J Nurs, 2021, 56(7): 1008. DOI: 10.3761/j.issn.0254-1769.2021.07.008.

[2]
王孝高, 马强, 官泽宇, 等. 超声可视化血管穿刺技术在血管外科临床教学中的应用[J]. 中华全科医学, 2023, 21(9): 1593-1595. DOI: 10.16766/j.cnki.issn.1674-4152.003178.

WANG X G, MA Q, GUAN Z Y, et al. Application of ultrasound visual vascular puncture technology in clinical teaching of vascular puncture technology[J]. Chin J Gen Pract, 2023, 21(9): 1593-1595. DOI: 10.16766/j.cnki.issn.1674-4152.003178.

[3]
广东省精准医学应用学会. T/GDPMAA 0016-2024 影像增强检查外周静脉通路三级评价模式应用规范[S]. [2025-05-18]. https://www.gdpmaa.com/Content/ueditor1_4_3_3-utf8-net/net/upload/file/20240518/6385162990883459488159114.pdf.

Guangdong Precision Medicine Application Association. T/GDPMAA 0016-2024 The Standardized Application of a Three-level Evaluation Model for Inspecting Peripheral Venous Access through Image Enhancement[S]. [2025-05-18]. https://www.gdpmaa.com/Content/ueditor1_4_3_3-utf8-net/net/upload/file/20240518/6385162990883459488159114.pdf.

[4]
彭燕丽, 王一凡, 冯舒丽, 等. 标准化耐高压输液港护理流程在恶性肿瘤患者CT增强检查对比剂注射中的效果评 价[J]. 中国实用护理杂志, 2024, 40(22): 1705-1709. DOI:10.3760/cma.j.cn211501-20240228-00446.

PENG Y L, WANG Y F, FENG S L, et al. Evaluation of the effect of contrast medium injection in CT enhanced examination of malignant tumor patients with standardized nursing procedure of totally implantable venous power port[J]. Chin J Pract Nurs, 2024, 40(22): 1705-1709. DOI: 10.3760/cma.j.cn211501-20240228-00446.

[5]
邓虹, 杨泽宏, 苏赟, 等. 新型耐高压PICC作为CT增强检查对比剂注射通路的临床应用研究[J]. 中华介入放射学电子杂志, 2020, 8(3): 256-259.DOI: 10.3877/cma.j.issn.2095-5782.2020.03.014.

DENG H, YANG Z H, SU Y, et al. Clinical application of a new power PICC as a contrast injection pathway for CT enhanced examination[J]. Chin J Interv Radiol Electron Ed, 2020, 8(3): 256-259. DOI: 10.3877/cma.j.issn.2095-5782.2020.03.014.

[6]
卢文婧, 薛峰. 专项护理对超声引导下外周动静脉精准穿刺患者穿刺成功率及护理满意度的影响[J]. 临床医学研究与实践, 2025, 10(4): 151-154. DOI: 10.19347/j.cnki.2096-1413.202504037.

LU W J, XUE F. Effects of special nursing on success rate of puncture and nursing satisfaction of patients undergoing ultrasound guided peripheral arteriovenous precise puncture[J]. Clin Res Pract, 2025, 10(4): 151-154. DOI: 10.19347/j.cnki.2096-1413.202504037.

[7]
NICKEL B. Peripheral intravenous access: applying infusion therapy standards of practice to improve patient safety[J]. Crit Care Nurse, 2019, 39(1): 61-71. DOI: 10.4037/ccn2019790.

PMID

[8]
FUMAGALLI S, TORRICELLI G, MASSI M, et al. Effects of a new device to guide venous puncture in elderly critically ill patients: results of a pilot randomized study[J]. Aging Clin Exp Res, 2017, 29(2): 335-339. DOI: 10.1007/s40520-016-0547-0.

PMID

[9]
GUANCHE-SICILIA A, SÁNCHEZ-GÓMEZ M B, CASTRO-PERAZA M E, et al. Prevention and treatment of phlebitis secondary to the insertion of a peripheral venous catheter: a scoping review from a nursing perspective[J]. Healthcare (Basel), 2021, 9(5): 611. DOI: 10.3390/healthcare9050611.

[10]
陈晓华. 投影式红外血管成像仪结合金字塔分阶培训对低年资儿科护士静脉穿刺成功率的影响[J]. 医疗装备, 2023, 36(4): 146-149. DOI: 10.3969/j.issn.1002-2376.2023.04.045.

CHEN X H. Influence of projection infrared vascular imager combined with pyramid grading training on the success rate of venipuncture for junior pediatric nurses[J]. Med Equip, 2023, 36(4): 146-149. DOI: 10.3969/j.issn.1002-2376.2023.04.045.

[11]
任怡璇, 崔容宇. 人工智能深度学习在单光子计算机断层显像中的研究进展[J]. 新医学, 2024, 55(3): 159-164. DOI: 10.3969/j.issn.0253-9802.2024.03.002.

REN Y X, CUI R Y. Research progress in deep learning in single-photon computed tomography[J]. J New Med, 2024, 55(3): 159-164. DOI: 10.3969/j.issn.0253-9802.2024.03.002.

[12]
诸露冰, 汪建华. 医学影像人工智能在胰腺癌精准诊疗中的研究进展[J]. 新医学, 2024, 55(3): 153-158. DOI: 10.3969/j.issn.0253-9802.2024.03.001.

ZHU L B, WANG J H. Research progress on medical imaging-based artificial intelligence in precision diagnosis and treatment of pancreatic cancer[J]. J New Med, 2024, 55(3): 153-158. DOI: 10.3969/j.issn.0253-9802.2024.03.001.

[13]
郝兆虎, 赵小莹, 姚俊鑫, 等. 基于真实环境的人工智能辅助免散瞳眼底照相筛查糖尿病视网膜病变的临床应用研究[J]. 新医学, 2025, 56(7): 638-644. DOI: 10.12464/j.issn.0253-9802.2025-0076.

HAO Z H, ZHAO X Y, YAO J X, et al. Clinical study of the application of artificial intelligence-assisted non-dilated fundus photography for diabetic retinopathy screening in a real-world setting[J]. J New Med, 2025, 56(7): 638-644. DOI: 10.12464/j.issn.0253-9802.2025-0076.

[14]
罗超, 朱玲. 超声引导下动态针尖定位技术在静脉穿刺困难患儿外周静脉置管中的应用[J]. 实用临床医药杂志, 2024, 28(9): 115-117. DOI: 10.7619/jcmp.20240075.

LUO C, ZHU L. Application of ultrasound-guided dynamic needle tip positioning technique in peripheral venous catheterization in children with venipuncture difficulties[J]. J Clin Med Pract, 2024, 28(9): 115-117. DOI: 10.7619/jcmp.20240075.

[15]
CUPER N J, KLAESSENS J H G, JASPERS J E N, et al. The use of near-infrared light for safe and effective visualization of subsurface blood vessels to facilitate blood withdrawal in children[J]. Med Eng Phys, 2013, 35(4): 433-440. DOI: 10.1016/j.medengphy.2012.06.007.

PMID

[16]
HE T, GUO C, JIANG L. Puncture site decision method for venipuncture robot based on near-infrared vision and multiobjective optimization[J]. Sci China Technol Sci, 2023, 66(1): 13-23. DOI: 10.1007/s11431-022-2232-5.

[17]
CHEN A I. Image-guided robotics for autonomous venipuncture: Dissertation for the Doctoral Degree[D]. New Brunswick: Rutgers University, 2016: 25-28. DOI: 10.7282/T3GX4DT0.

[18]
曾文. 人体手背静脉血管光学显像方法研究[D]. 郑州: 河南工业大学, 2025. DOI: 10.27791/d.cnki.ghegy.2025.000960.

ZENG W. Research on Optical Visualization Methods for Human Dorsal Hand[D]. Zhengzhou: Henan University of Technology, 2025. DOI: 10.27791/d.cnki.ghegy.2025.000960.

[19]
DE GRAAFF J C, CUPER N J, VAN DIJK A T H, et al. Evaluating NIR vascular imaging to support intravenous cannulation in awake children difficult to cannulate; a randomized clinical trial[J]. Paediatr Anaesth, 2014, 24(11): 1174-1179. DOI: 10.1111/pan.12501.

PMID

[20]
程婷婷, 刘丹, 张从. 外周静脉穿刺辅助技术临床应用进展[J]. 临床护理杂志, 2021, 20(4): 61-64. DOI: 10.3969/j.issn.1671-8933.2021.04.021.

CHENG T T, LIU D, ZHANG C. Clinical application progress of peripheral vein puncture assistant technology[J]. J Clin Nurs, 2021, 20(4): 61-64. DOI: 10.3969/j.issn.1671-8933.2021.04.021.

[21]
段云娇, 赵永祯. 颈内静脉穿刺超声辅助定位法在急诊住院医师规范化培训中的应用[J]. 中国病案, 2024, 25(1): 97-99. DOI: 10.3969/j.issn.1672-2566.2024.01.031.

DUAN Y J, ZHAO Y Z. Application of ultrasound-assisted positioning technique in internal jugular vein puncture in standardized training of emergency resident[J]. Chin Med Rec, 2024, 25(1): 97-99. DOI: 10.3969/j.issn.1672-2566.2024.01.031.

[22]
PAN J X, FANG K T. Maximum likelihood estimation[M]// Growth Curve Models and Statistical Diagnostics. NewYork, NY: Springer New York, 2002: 77-158. DOI: 10.1007/978-0-387-21812-0_3.

[23]
LI N, HUANG Y, WANG Z, et al. Enhanced hybrid vision transformer with multi-scale feature integration and patch dropping for facial expression recognition[J]. Sensors, 2024, 24(13): 4153. DOI: 10.3390/s24134153.

[24]
刘坤, 李基, 晏行伟, 等. 基于多维特征优化的红外小型无人机目标检测[J]. 光子学报, 2025, 54(8): 0810001. DOI: 10.3788/gzxb20255408.0810001.

LIU K, LI J, YAN X W, et al. Infrared small UAV target detection based on multi-dimensional feature optimization[J]. Acta Photonica Sin, 2025, 54(8): 0810001. DOI: 10.3788/gzxb20255408.0810001.

[25]
CHEN L, GUO T, LI L, et al. A finger vein liveness detection system based on multi-scale spatial-temporal map and light-ViT model[J]. Sensors (Basel), 2023, 23(24): 9637. DOI: 10.3390/s23249637.

[26]
FIELDS J M, PIELA N E, AU A K, et al. Risk factors associated with difficult venous access in adult ED patients[J]. Am J Emerg Med, 2014, 32(10): 1179-1182. DOI: 10.1016/j.ajem.2014.07.008.

PMID

[27]
LITTLE A, JONES D G, ALSBROOKS K. A narrative review of historic and current approaches for patients with difficult venous access: considerations for the emergency department[J]. Expert Rev Med Devices, 2022, 19(5): 441-449. DOI: 10.1080/17434440.2022.2095904.

PMID

[28]
RIDDICK L. Paediatric blood sampling: how to improve your chances of getting it right[J]. Paediatr Child Health, 2023, 33(4): 114-117. DOI: 10.1016/j.paed.2023.01.006.

[29]
BENNAKHI H, ALAJMI M, BAQER M, et al. Improving venous access by using a near-infrared vein-finder device and ultrasound skill building: a quality improvement project[J]. BMJ Open Qual, 2025, 14(2):e003232. DOI: 10.1136/bmjoq-2024-003232.

文章导航

/