Original Research

Feasibility analysis of monothermal caloric test in the screening of vestibular function

  • Zhang Shuqi ,
  • Li Zhicheng ,
  • Cen Jintian ,
  • Li Lingwei ,
  • Wang Xinyi ,
  • Gu Jing ,
  • Zeng Xiangli
Expand
  • Department of Otolaryngology-Head and Neck Surgery, the Third Affiliated Hospital of Sun Yat-sen University, Guangzhou 510630, China
Zeng Xiangli, E-mail:

Received date: 2020-04-10

  Online published: 2020-08-27

Copyright

Copyright reserved © 2020

Abstract

Objective To explore the value of monothermal caloric test in the screenig of vestibular function and the feasibility in the clinical evaluation of vestibular function. Methods The caloric test results of 149 vertigo patients presenting with vertigo as the main complaint were retrospectively analyzed. The correlation between caloric test results and monothermal caloric test results were analyzed. The sensitivity and specificity of the monothermal test were analyzed too. Results Among 149 vertigo patients, 90 cases were male and 59 female, aged 22-70 years old with a median age of 46 years old.According to literature review, the CP value of caloric test of 20% was regarded as the normal reference value, and the results of caloric test and monothermal caloric test showed a linear relationship (r = 0.872, P < 0.001). The CP value of caloric test of ≥20% was considered as the abnormal standard and caloric test was used as the gold standard. The area under ROC curve for patients with normal monothermal caloric test results was 0.894 (95% CI 0.833-0.939, P < 0.001). The shreshold value of CP was determined as 20% according to the Youden index. The CP value of monothermal caloric test of > 20% was regarded as abnormal result. The sensitivity was calculated as 84.62% and 84.54% for the specificity. Conclusions Monothermal caloric test yields a high reliability in vestibular function screening. As a sensitive screening tool, the combined use of monothermal caloric test and electronystagmography can shortern the examination time and mitigate discomforts of vergito patients.

Cite this article

Zhang Shuqi , Li Zhicheng , Cen Jintian , Li Lingwei , Wang Xinyi , Gu Jing , Zeng Xiangli . Feasibility analysis of monothermal caloric test in the screening of vestibular function[J]. JOURNAL OF NEW MEDICINE, 2020 , 51(8) : 628 -631 . DOI: 10.3969/j.issn.0253-9802.2020.08.012

以眩晕为主诉的患者目前在耳鼻咽喉头颈外科门诊中,大约占有10% ~ 15%,眩晕发作不仅影响工作,生活质量也遭到严重的破坏。判断患者外周前庭功能状况是眩晕症诊疗的重要依据。针对外周前庭功能的检查方法有许多,其中温度试验是评估平衡障碍或眩晕前庭功能的主要方式。在临床工作中,随着眩晕患者的增多,检测时间长,检查效率低,可能导致患者无法及时行前庭功能诊断,从而影响评估前庭功能障碍及后续的治疗管理。
基于评估诊断测试和减少时间成本效益,目前许多研究正在建议推广单冷试验作为温度试验的筛选预测方案,有学者研究提出单冷试验结果阴性,即提示双侧前庭功能正常,而当阳性时,才需进行冷热试验以确诊。但对其研究成果一直存在争议[1,2,3]。单冷试验在前庭诊断的准确性相同条件下,可以减少花费的时间和患者不适感。使用单冷试验测试后,如推断异常,不需要进一步完善热试验。单冷试验引入了单冷不对称性指标(MCA),通过单冷试验的筛查可判断双温试验的结果,但作为筛查试验的可靠性尚存在争议[4,5]。本文的研究目的正是探索单冷试验的前庭功能筛查价值及在临床评估前庭功能的可行性分析。

对象与方法

一、研究对象

2018年12月至2019年12月就诊于中山大学附属第三医院耳鼻咽喉科的以眩晕为主诉的149例眩晕症患者,男90例、女59例,年龄22 ~ 70(中位数46)岁。入组标准:①外耳道无炎症及鼓膜未穿孔;②接受检查前48 h内未食用含兴奋性食物,或前庭抑制剂等药物。排除标准:①无法完成全部温度试验检查;②检查过程中眼震视图仪未能采集数据;③自发性眼震。

二、方 法

全部149例眩晕患者均接受完整的温度试验。方法参考既往报道,在符合检测条件的暗室中进行检查,受检者取仰卧位,予患者戴好红外线记录眼罩,检查眼周无透光,头部与地面成30度倾斜,采用眼震视图仪记录眼震慢相角速度(SPV)值;依次分别往左、右耳外耳道内灌注30℃和44℃的水,记录诱发眼震的最大值[6]。灌注过程中嘱咐受试者保持睁眼,集中注意力,如无法忍受,可停止检查。收集眼震SPV及相应半规管轻瘫(CP)值、优势偏向(DP)值。根据公式计算得出单冷试验的MCA值,见表1
表1 温度试验及单冷试验计算公式
试验 异常标准 计算公式
温度
试验
CP≥20% $CP=\frac{(RW+RC)(LW+RW)}{RW+RC+LW+RW}×100%$
单冷
试验
MCA =(R-L)/(R+L)×100%

三、统计学处理

采用GraphPad Prism 8.0及MedCalc 18.9.0进行分析,对温度试验的CP值与单冷试验的MCA值行Pearson相关分析,然后进行受试者工作特征(ROC)曲线分析,评估单冷试验的诊断价值。

结果

一、温度试验结果及单冷试验的MCA值计算

首先按照目前广泛采用的异常标准,温度试验CP值 ≥20%则为异常结果,149例接受温度试验的患者温度试验中检测结果异常的患者为40例,结果正常患者为109例。温度试验及单冷试验呈线性关系,差异有统计学意义(r = 0.872,P < 0.05,见图1)。
图1 温度试验与单冷试验线性关系图

二、单冷试验ROC曲线分析

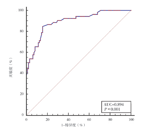
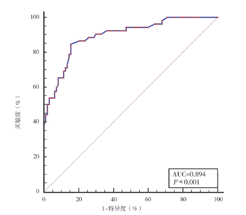
以CP值≥20%为温度试验的异常标准,温度试验作为金标准,单冷试验正常者的ROC曲线下面积为0.894(95%CI 0.833 ~ 0.939,P < 0.001),见图2。单冷试验曲线下面积大于0.8,提示单冷试验诊断价值较高,具有筛查价值。通过约登指数确定临界点为20%,灵敏度为84.62%,特异度为84.54%。
图2 单冷试验ROC曲线分析

讨论

1942年温度试验应用于临床后,经过长时间临床考验,该试验已成为评估前庭功能最经典的检查技术,是诊断眩晕患者最有效的实验室检查之一,鉴别患侧的水平半规管功能障碍,在临床中应用广泛。但热量灌注对于患者体验是不愉快的,被检查者配合欠佳或部分患者在检测的过程中会出现恶心呕吐等不适症状,植物神经症状严重者,所需时间更长,比如一些患者难以耐受完成4次热量灌注。恢复灌注之间需要时间,这会延长全面测试时间,导致无法评估该患者的水平半规管功能。由于热试验刺激对淋巴液温度改变较大,诱发眼震强度强,易诱发不适。如果单冷试验即可推测双温试验的结果,单冷试验正常可以避免进行热试验,如果单冷试验异常,则继续进行热试验,即完成完整的温度试验测试,结合眼震电图来明确判断外周前庭功能。这要求单冷试验灵敏度高、假阳性率低。
随着前庭功能检测技术的普遍开展以及大量临床资料和检测结果的积累,且温度试验的检查时间成本高及被检查者不适感较重,门诊中眩晕患者日益增多,对于该项检测技术进行改良或对于患者进行分层次的诊断势在必行,且目前眩晕患者的康复判断属于空白阶段,因为温度试验检查时间长、经济成本高、患者舒适度差,只有少数患者同意复查温度试验。因而,比较单冷试验与传统温度试验的诊断效能变得尤为重要,以便缩短检查时间及减轻患者痛苦,及时对复查患者提供精准前庭康复治疗有着重要的临床意义。
本研究通过回顾性分析149例眩晕患者的温度试验结果,结果显示温度试验及单冷试验呈线性关系,存在显著正相关,差异有统计学意义。因此,上述结果说明仅凭单冷试验结果,推测温度试验的结果是有统计学依据。眩晕患者在治疗过程中,如需复查,可进行单冷试验检测,从而进一步推算温度试验结果,进而指导眩晕患者前庭康复治疗,节约患者检查时间及提高舒适度。
本研究进一步分析了单冷试验的灵敏度及特异度,通过ROC曲线分析,我们得出单冷试验的灵敏度和特异度及确定最佳的临界值[7,8]。以CP值≥20%为温度试验的异常标准,温度试验作为验证标准,单冷试验曲线下面积大于0.8,提示单冷试验诊断价值较高。通过相关分析及ROC曲线分析均提示单冷试验作为筛选试验的相关性强,诊断效能可靠,可以用作眩晕患者的筛查或者复查。
我们研究结果显示,单冷试验及温度试验的检查结果一致,认为单冷试验可以用作筛查。多位学者认为单冷试验因假阴性率较高而不具备临床温度筛查试验的应用价值[9,10]。因此在筛查试验中,临界点定义为将阳性试验结果与阴性试验结果分开的值。增大或减小临界点可导致假阴性率和假阳性率的可预测变化。减少单冷试验上的MCA 临界值会导致假阴性率降低和假阳性率增加。例如,25%的MCA导致了13%的假阴性率(使用温度试验 CP值20%的金标准),MCA值取大于20%时,灵敏度为84.62%,特异度为84.54%,提示以20%作为单冷试验的异常标准是灵敏度、特异度均最优点,对于以单冷试验来筛查来说,灵敏度较高,仅有15%假阳性率,在临床上是可接受的误差。但筛查试验并不能直接应用于所有的患者,推测主要因为单冷试验和冷热试验的差别是冷热试验通过4次灌注检验,可以排除DP及减去自发性眼震对检查结果的影响[11]。DP是冷热试验的参数之一,在单冷试验中无法获得,因此冷热试验中DP是异常,在单冷试验中有可能是正常或者异常,单纯做单冷试验有一定几率漏诊[12,13]。自发性眼震的存在,可与温度试验诱发的眼震相互叠加,产生增强或者减弱同侧或者对侧的眼震,因为温度试验的原理是根据诱发眼震“冷对热同”的原则,通过眼震电图记录眼震SPV大小及方向。当自发性眼震存在时,出现眼震强度可正向或反向叠加,冷热试验阳性而单冷试验可能显示阴性,反之,这也会增加单冷试验的漏诊率及误诊率。所以,单冷试验难以减去眼震叠加及除去DP,导致最终结果判读与温度试验不一致。因此,我们认为单冷试验在前庭功能检查中的真实性及可靠性高,但只建议用于筛查无自发性眼震的患者。在临床工作中,对于完成单冷试验结果阳性患者,推测温度试验结果阳性,免除进一步完成热试验。但是对前庭功能作出全面的评价,通常需要借助多个检查综合分析前庭功能状态,可借助前庭诱发肌源性电位(CVEMP或OVEMP)、耳蜗电图、视频头脉冲试验等全面评价患者的前庭功能,应发展多频率前庭功能检查,使不同频率检查互补[14,15]
综上所述,温度试验尽管检查繁琐,在外周前庭系统功能的现有检查诊断技术中仍处于重要地位,是评估水平半规管低频功能的重要指标。本研究提示单冷试验在前庭功能筛查的诊断效能高。我们在繁忙的眩晕门诊工作中需要检测大量的眼震电图检查,在单冷试验的灵敏度及特异度明确情况下,可用于筛查分析无自发性眼震的患者,以便在保持有效和成本效益的实践的同时,为患者提供最佳预测及精准前庭康复治疗,减轻患者不适及缩短检查时间。但不建议将单冷试验作为前庭功能的唯一评估,临床应用时应综合分析各项前庭功能检查结果。
[1]
Murnane OD, Akin FW, Lynn SG, Cyr DG. Monothermal caloric screening test performance: a relative operating characteristic curve analysis. Ear Hear, 2009,30(3):313-319.

DOI PMID

[2]
Thatcher AL, Beckerman ML, Telian SA, King WM. Mono-thermal caloric screening to improve healthcare value. Ear Hear, 2016,37(3):e188-e193.

DOI PMID

[3]
Shupak A, Kaminer M, Gilbey P, Tal D. Monothermal caloric testing in the screening of vestibular function. Aviat Space Environ Med, 2010,81(4):369-374.

DOI PMID

[4]
Bush ML, Bingcang CM, Chang ET, Fornwalt B, Rayle C, Gal TJ, Jones RO, Shinn JB. Hot or cold? Is monothermal caloric testing useful and cost-effective? Ann Otol Rhinol Laryngol, 2013,122(6):412-416.

DOI PMID

[5]
Radomskij P, Smith S, Kuttva S. Insights on different analysis techniques in the monothermal and bithermal caloric test-which parameter should we use to quantify vestibular function? Int J Audiol, 2016,55(12):730-737.

DOI PMID

[6]
刘刚, 刘博, 张祎, 毕竞韬, 段金萍, 赵小燕, 刘冬鑫. 10048例眩晕患者规范化双温试验与普通单温试验的临床价值. 听力学及言语疾病杂志, 2019,27(2):127-130.

[7]
Jiang XS, Chang WJ, Qing SX. Comment on “Monothermal caloric testing in the screening of vestibular function”. Aviat Space Environ Med, 2011,82(4):485-486.

DOI PMID

[8]
刘敏, 陈弹, 蒋廷波, 杨俊华. 心电图和心脏超声心动图对心尖肥厚型心肌病诊断价值的相关性分析. 新医学, 2010,41(12):791-794.

[9]
孙士平. 前庭单冷试验的临床应用价值分析. 天津:天津医科大学, 2009.

[10]
Domínguez Durán E, Gandul Merchán A, Tato Gómez JI, Lacalle Remigio JR, Abrante Jiménez A, Esteban Ortega F. Three new strategies to improve the accuracy of monothermal caloric screening testing. Acta Otorrinolaringol Esp, 2016,67(2):75-82.

DOI PMID

[11]
刘艳蕊, 王延辉, 刘童军. 自发性眼震受检者前庭温度试验视频眼震图分析. 陕西医学杂志, 2012,41(10):1371-1373.

[12]
文真. 前庭单温试验在眼震图中的应用. 山东大学基础医学院学报, 2005,19(4):252-253.

[13]
Gonçalves DU, Felipe L, Lima TM. Interpretation and use of caloric testing. Braz J Otorhinolaryngol, 2008,74(3):440-446.

DOI PMID

[14]
张娜, 刘博. 单温筛查试验适用标准的研究. 听力学及言语疾病杂志, 2010,18(1):79-80.

[15]
孙士平, 林鹏, 陈太生, 宋伟, 王娜. 前庭单冷试验的筛选价值分析. 临床耳鼻咽喉头颈外科杂志, 2009,23(1):17-20.

Outlines

/