Original Research

Correlation between lactate dehydrogenase, tumor markers and the severity of pulmonary alveolar proteinosis

  • Zhao Wen ,
  • Wang Yansheng ,
  • Wang Xiaofan ,
  • Zhou Xia ,
  • Tang Ping ,
  • Xu Jun ,
  • Liu Ming
Expand
  • Respiratory Medicine, Shenzhen University General Hospital, Shenzhen 518055, China
Liu Ming, E-mail:

Received date: 2020-03-02

  Online published: 2020-10-22

Copyright

Copyright reserved © 2020

Abstract

Objective To investigate the correlation between lactate dehydrogenase (LDH), tumor markers and the severity of pulmonary alveolar proteinosis (PAP). Methods Clinical data of 57 PAP patients were retrospectively analyzed. The correlation between serum LDH level and pulmonary function, serum LDH level and tumor markers, and tumor markers and disease severity score (DSS) were analyzed. Results In PAP patients, the serum level of LDH was negatively correlated with PaO2 (r = -0.42, P = 0.001), carbon monoxide diffusing capacity (DLCO) (r = -0.73, P < 0.001) and forced expiratory volume in one second (FEV1) (r = -0.40, P = 0.004), respectively. In PAP patients, the neuron-specific enolase (NSE), carcinoembryonic antigen (CEA), cancer antigen 153 (CA153) and CYFRA21-1 were significantly higher than the upper limits (all P < 0.05). The NSE(rs = 0.39, P = 0.001), CEA (rs = 0.55, P < 0.001), CA153 (rs = 0.48, P < 0.001) and CYFRA21-1 (rs = 0.44, P = 0.001) were positively correlated with DSS. Conclusions The serum level of LDH is negatively correlated with lung function indexes in PAP patients. The serum levels tumor makers such as of NSE, CEA, CA153 and CYFRA21-1 are significantly elevated and positively correlated with the severity of the disease in PAP patients. LDH and tumor makers can reflect the severity of PAP.

Cite this article

Zhao Wen , Wang Yansheng , Wang Xiaofan , Zhou Xia , Tang Ping , Xu Jun , Liu Ming . Correlation between lactate dehydrogenase, tumor markers and the severity of pulmonary alveolar proteinosis[J]. JOURNAL OF NEW MEDICINE, 2020 , 51(10) : 765 -769 . DOI: 10.3969/j.issn.0253-9802.2020.10.007

肺泡蛋白沉着症(PAP)最早报道于1958年,是一种罕见的、以表面活性脂质和蛋白质在肺泡内异常聚集的、引起呼吸功能不全的综合征。该病主要影响中年人,男女发病率约为2∶1,主要表现为咳嗽、进行性劳累性呼吸困难等。血液中肿瘤标志物通常是应用单克隆抗体检测的糖蛋白,可用于肿瘤辅助诊断、评估肿瘤治疗反应和监测肿瘤复发等。既往研究显示,PAP患者外周血中肿瘤标志物水平明显升高,肿瘤标志物水平可能反映疾病的严重程度[1]。不同肿瘤标志物在PAP患者中的表达水平可能不一样,其作用在PAP患者也会有差异。为此,本研究回顾性分析4种肿瘤标志物在PAP患者的表达情况,现报告如下。

对象与方法

一、研究对象

2010年9月至2018年9月在广州医科大学附属第一医院和深圳大学总医院住院的57例PAP患者,均经肺泡灌洗液、高分辨率CT(HRCT)和(或)组织病理学确诊为PAP,并排除合并感染、特发性肺纤维化、肺气肿、肺结核和肿瘤者。所有患者在入院时已经签署知情同意书。

二、研究方法

收集所有患者的医疗记录。患者资料包括完整的病史、体格检查、血气分析、血常规、血清生化、HRCT检查。

三、肺功能检查

所用患者入院后用德国耶格综合检测系统进行肺功能检测,患者肺功能测定包括FEV1、一氧化碳弥散量(DLCO)。

四、血清肿瘤标志物检测

入院时使用自动电化学发光免疫测定系统检测患者血清中肿瘤标志物水平,正常上限神经元特异性烯醇化酶(NSE)25 μg/L、癌胚抗原(CEA)5.0 μg/L、癌抗原153(CA153)35.0 kU/L、细胞角蛋白19片段CYFRA21-1 3.3 μg/L。

五、疾病严重程度评分(DSS)

根据患者入院后血气分析中PaO2和有无症状评估DSS:1分为无症状且PaO2≥70 mm Hg,2分为有症状且PaO2≥70 mm Hg,3分为60 mm Hg≤PaO2 < 70 mm Hg,4分为50 mm Hg≤PaO2 < 60 mm Hg[2,3]

六、统计学处理

使用SPSS 20.0分析数据,GraphPad Prism 5绘图。正态分布的计量资料以$\bar{x}\pm s$表示,组间比较采用单样本t检验和独立样本t检验;非正态分布的计量资料以中位数(下四分位数,上四分位数)表示,组间比较采用Mann-Whitney U检验。计数资料以例(%)表示,无序分类资料采用2检验或Fisher确切概率法,等级资料采用秩和检验。正态分布连续变量相关性采用Pearson相关分析,等级资料相关性采用Spearman秩相关分析。P < 0.05为差异有统计学意义。

结果

一、男性与女性PAP患者的一般情况及临床特征比较

57例PAP患者中男32例、女25例,年龄20 ~ 67岁,发病时最常见的症状为气促、咳嗽,少数患者查体可有Velcro音。男性PAP患者中吸烟者比例高于女性,男性PAP患者肺功能DLCO也低于女性(P均< 0.05),见表1
表1 男性与女性PAP患者的一般情况及临床特征比较
项 目 男性PAP患者(32例) 女性PAP患者(25例) 2/H/t/Z值 P值
发病年龄(岁) 41.7±10.4 45.4±11.8 1.256 0.214
发病时间(月) 6.5(0.5 ~ 60.0) 8(0.3 ~ 120.0) 0.851 0.395
吸烟[例(%)] 20(63) 2(8) 17.590 < 0.001
症状[例(%)]
咳嗽 22(69) 22(88) 2.954 0.086
咳痰 23(72) 16(64) 0.403 0.526
胸闷 5(16) 4(16) - 1.000d
气促 25(78) 22(88) - 0.487d
Velcro音 6(19) 8(32) 1.330 0.249
合并症[例(%)]
糖尿病 4(13) 0(0) - 0.123d
高血压病 4(13) 6(24) - 0.308d
实验室指标
PaO2(mm Hg) 69.0±11.6 73.4±14.0 1.298 0.200
LDH(U/L)a 266.6±94.4 283.3±126.3 0.546 0.588
肺功能占预计值百分比(%)
FEV1 b 80.8±15.1 80.4±14.3 0.099 0.922
DLCO c 48.0±16.8 63.6±20.5 2.644 0.012
DSS[例(%)] 0.560 0.575
1分 3(9) 5(20)
2分 10(31) 8(32)
3分 12(38) 5(20)
4分 7(22) 7(28)

注:a男31例、 女21例;b男30例、 女24例;c男23例、 女17例;d Fisher确切概率法

二、PAP患者血清LDH水平与PAP患者肺功能指标的相关性分析

PAP患者LDH水平与PaO2(r = -0.42,P = 0.001)、DLCO(r = -0.73,P < 0.001)、FEV1(r = -0.40,P = 0.004)均呈负相关,见图1
图1 LDH与PaO2、DLCO、FEV1相关性

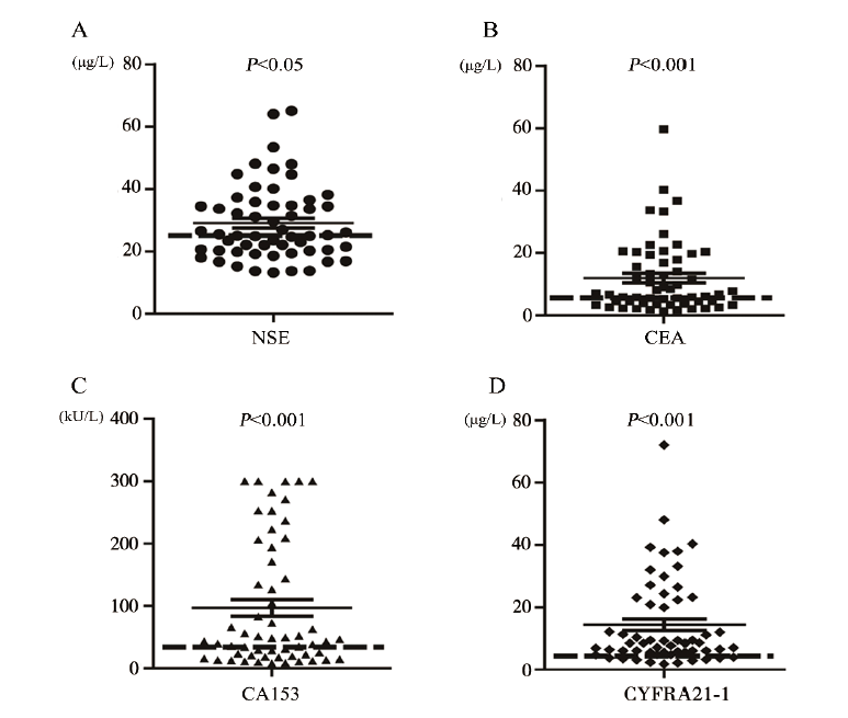
三、PAP患者外周血肿瘤标志物水平与正常上限的比较

57例患者均行外周血肿瘤标志物检测,以肿瘤标志物的正常上限为对照值,结果显示PAP患者肿瘤标志物NSE[(32.9±5.9)μg/L vs. 25.0 μg/L,P = 0.013]、CEA[(11.0±6.7)μg/L vs. 5.0 μg/L,P < 0.001]、CA153[(84.8±75.2)kU/L vs. 35.0 kU/L,P < 0.001]、CYFRA21-1[(16.8±14.3)μg/L vs. 3.3 μg/L,P < 0.001]均高于正常上限,见图2
图2 PAP患者肿瘤标志物水平与正常上限比较

----肿瘤标志物正常上限

四、PAP患者肿瘤标志物水平与DSS的相关性分析

57例PAP患者中,DSS 1分8例、2分18例、3分17例、4分14例,NSE(rs = 0.39,P = 0.003)、CEA(rs = 0.55,P < 0.001)、CA153(rs = 0.48,P < 0.001)、CYFRA21-1(rs = 0.44,P = 0.001)水平与DSS均呈正相关,见图3
图3 PAP患者肿瘤标志物水平与DSS的相关性分析

讨论

PAP是一种病因未明的少见疾病[4]。本研究显示,PAP患者发病时最常见的症状为气促、咳嗽,少数患者查体可有Velcro音,男性PAP患者中吸烟者比例高于女性,男性PAP患者肺功能DLCO也低于女性。由于PAP患者临床症状不典型,诊断主要依据HRCT和支气管肺泡灌洗或经纤维支气管镜肺活组织检查,但有关PAP患者病情进展的监测指标尚未明确。LDH在胞浆内含量丰富,当细胞受损或死亡时可释放至细胞外。本研究中,患者血清LDH与肺功能指标PaO2、DLCO、FEV1均呈负相关,与既往报道相符[5]
肿瘤标志物NSE、CEA、CA153、CYFRA21-1有助于肿瘤患者的诊断和预后监测[6,7]。近年研究显示,肿瘤标志物在肿瘤以外的其他疾病中也会升高,可反映疾病的严重程度[8,9]。Hirakata等(1995年)首先在6例PAP患者血清中发现CEA、CYFRA21-1升高,Fang等[1]在34例PAP患者血清中发现了NSE、鳞状细胞癌抗原(SCC)明显升高。本研究中,肿瘤标志物NSE、CEA、CA153、CYFRA21-1在PAP患者外周血中均高于正常上限,提示这些肿瘤标志物可能与PAP患者病情有关。DSS是依据患者存在的症状和PaO2降低程度进行评分[3]。研究显示,DSS可反映PAP患者的病情严重程度,DSS评分越高,PAP患者病情越严重[8]。本研究中,PAP患者血清中NSE、CEA、CYFRA21-1升高,并均与DSS相关,因此NSE、CEA、CYFRA21-1可能反映疾病严重程度,这与既往研究结果一致[1, 10-11]。本研究还显示,CA153在PAP患者中升高,并可能反映病情严重程度,这并未见其他研究报道。
肿瘤标志物在PAP患者外周血中升高的原因尚不清楚。可能因为PAP发病机制涉及肺泡上皮细胞损伤及修复,肺泡上皮细胞是肌成纤维细胞的重要来源[12]。活化的肺泡上皮细胞和募集的炎性细胞可释放强效细胞因子如TNF-α、TGF-β和IFN-γ等[13,14,15]。这些炎症因子通过独立的信号途径诱导表位过度表达,过表达的表位可能导致血清肿瘤标志物水平升高[16,17]。另外,PAP根据其发病机制可分为原发性、继发性和先天性,不同类别PAP的肿瘤标志物是否一致在本研究未能进行区分,这将在日后进一步研究中确定。
综上所述,PAP患者血清中LDH与肺功能指标呈负相关,肿瘤标志物NSE、CEA、CA153和CYFRA21-1升高并与病情严重程度呈正相关,LDH和肿瘤标志物水平可能反映了PAP患者的病情严重程度。
[1]
Fang SC, Lu KH, Wang CY, Zhang HT, Zhang YM. Elevated tumor markers in patients with pulmonary alveolar proteinosis. Clin Chem Lab Med, 2013,51(7):1493-1498.

DOI PMID

[2]
Inoue Y, Trapnell BC, Tazawa R, Arai T, Takada T, Hizawa N, Kasahara Y, Tatsumi K, Hojo M, Ichiwata T, Tanaka N, Yamaguchi E, Eda R, Oishi K, Tsuchihashi Y, Kaneko C, Nukiwa T, Sakatani M, Krischer JP, Nakata K; Japanese Center of the Rare Lung Diseases Consortium. Characteristics of a large cohort of patients with autoimmune pulmonary alveolar proteinosis in Japan. Am J Respir Crit Care Med, 2008,177(7):752-762.

PMID

[3]
Inoue Y, Nakata K, Arai T, Tazawa R, Hamano E, Nukiwa T, Kudo K, Keicho N, Hizawa N, Yamaguchi E, Eda R, Oishi K, Maeda Y, Koreeda Y, Kodo N, Sakatani M. Epidemiological and clinical features of idiopathic pulmonary alveolar proteinosis in Japan. Respirology, 2006,11(Suppl):S55-S60.

[4]
张斌, 邱汉婴. 肺泡蛋白沉着症一例报告. 新医学, 2011,42(11):765-767.

[5]
Shi S, Chen L, Qiu X, Zhao Q, Xiao Y, Yan X. Valuable serum markers in pulmonary alveolar proteinosis. Dis Markers, 2019,2019:9709531.

PMID

[6]
Molina R, Filella X, Augé JM, Fuentes R, Bover I, Rifa J, Moreno V, Canals E, Viñolas N, Marquez A, Barreiro E, Borras J, Viladiu P. Tumor markers (CEA, CA 125, CYFRA 21-1, SCC and NSE) in patients with non-small cell lung cancer as an aid in histological diagnosis and prognosis. Comparison with the main clinical and pathological prognostic factors. Tumour Biol, 2003,24(4):209-218.

DOI PMID

[7]
Cedrés S, Nuñez I, Longo M, Martinez P, Checa E, Torrejón D, Felip E. Serum tumor markers CEA, CYFRA21-1, and CA-125 are associated with worse prognosis in advanced non-small-cell lung cancer (NSCLC). Clin Lung Cancer, 2011,12(3):172-179.

DOI PMID

[8]
李旭东, 王东宁, 何易, 胡元, 王文文, 林东军, 黄仁魏. 急性白血病中黏蛋白1基因的表达及其临床意义. 新医学 2013, 44(3):176-179.

[9]
Ma J, Xia D, Hu J, Fu R, Xu L, Zhang Y, Zhang M, Li B, Yang J, Wen Y. Predictive Role of serum tumor markers in diagnosis of pulmonary tuberculosis. Iran J Public Health, 2016,45(4):435-440.

PMID

[10]
Hwang JA, Song JH, Kim JH, Chung MP, Kim DS, Song JW, Kim YW, Choi SM, Cha SI, Uh ST, Park CS, Jeong SH, Park YB, Lee HL, Shin JW, Lee EJ, Jegal Y, Lee HK, Park JS, Park MS. Clinical significance of cigarette smoking and dust exposure in pulmonary alveolar proteinosis: a Korean national survey. BMC Pulm Med, 2017,17(1):147.

PMID

[11]
Arai T, Inoue Y, Sugimoto C, Inoue Y, Nakao K, Takeuchi N, Matsumuro A, Hirose M, Nakata K, Hayashi S. CYFRA 21-1 as a disease severity marker for autoimmune pulmonary alveolar proteinosis. Respirology, 2014,19(2):246-252.

PMID

[12]
Epa AP, Thatcher TH, Pollock SJ, Wahl LA, Lyda E, Kottmann RM, Phipps RP, Sime PJ. Normal human lung epithelial cells inhibit transforming growth factor-β induced myofibroblast differentiation via prostaglandin E2. PLoS One, 2015,10(8):e0135266.

DOI PMID

[13]
Fernandez IE, Eickelberg O. New cellular and molecular mechanisms of lung injury and fibrosis in idiopathic pulmonary fibrosis. Lancet, 2012,380(9842):680-688.

DOI PMID

[14]
Reilkoff RA, Peng H, Murray LA, Peng X, Russell T, Montgomery R, Feghali-Bostwick C, Shaw A, Homer RJ, Gulati M, Mathur A, Elias JA, Herzog EL. Semaphorin 7a+ regulatory T cells are associated with progressive idiopathic pulmonary fibrosis and are implicated in transforming growth factor-β1-induced pulmonary fibrosis. Am J Respir Crit Care Med, 2013, 15,187(2):180-188.

[15]
Tzortzaki EG, Antoniou KM, Zervou MI, Lambiri I, Koutso-poulos A, Tzanakis N, Plataki M, Maltezakis G, Bouros D, Siafakas NM. Effects of antifibrotic agents on TGF-beta1, CTGF and IFN-gamma expression in patients with idiopathic pulmonary fibrosis. Respir Med, 2007,101(8):1821-1829.

PMID

[16]
Khanh do T, Mekata E, Mukaisho K, Sugihara H, Shimizu T, Shiomi H, Murata S, Naka S, Yamamoto H, Endo Y, Tani T. Transmembrane mucin MUC1 overexpression and its association with CD10 + myeloid cells, transforming growth factor-β1 expression, and tumor budding grade in colorectal cancer . Cancer Sci, 2013,104(7):958-964.

PMID

[17]
Lagow EL, Carson DD. Synergistic stimulation of MUC1 expression in normal breast epithelia and breast cancer cells by interferon-gamma and tumor necrosis factor-alpha. J Cell Biochem, 2002,86(4):759-772.

DOI PMID

Outlines

/