Original Research

Prediction of poor response to ursodeoxycholic acid in patients with primary biliary cholangitis by non-invasive markers

  • Gao Lili ,
  • Pan Shida ,
  • Zhang Yijin ,
  • Gao Xuesong ,
  • Su Nan ,
  • Xu Li ,
  • Duan Xuefei
Expand
  • Department of General Medicine, Beijing Ditan Hospital, Capital Medical University, Beijing 100015, China
Duan Xuefei, E-mail:

Received date: 2022-10-04

  Online published: 2023-03-03

Abstract

Objective To screen non-invasive indicators for predicting poor response to ursodeoxycholic acid in patients with primary biliary cholangitis(PBC)and establish a logistic regression model. Methods A total of 106 patients with PBC were selected in the modeling group. Clinical data of PBC patients before and after receiving 1 year ursodeoxycholic acid therapy were retrospectively analyzed. According to ParisⅡcriteria, all patients were divided into two groups: poor response group (n = 38) and complete response group (n = 68). The general condition, laboratory indicators and ultrasound examination results of the patients were analyzed by non-conditional logistic regression model before and after treatment. Non-invasive indicators for predicting poor response to ursodeoxycholic acid were screened, and the regression model was established. To validate this model, 47 patients with PBC who visited Ditan Hospital for the first time were selected in the validation group, and were treated with ursodeoxycholic acid for 1 year. Results Univariate analysis showed that in the modeling group, there were significant differences in cholinesterase, alkaline phosphatase, direct bilirubin, γ-glutamyltranspeptidase, globulin, total triglyceride, total cholesterol, low-density lipoprotein cholesterol, erythrocyte sedimentation rate, CD4+T cell count and CD8+T cell count between the poor response and complete response groups before treatment (all P < 0.05). Multivariate unconditional logistic analysis showed that cholinesterase, alkaline phosphatase and direct bilirubin before treatment were effective predictors of poor response. The regression model was: Y = 0.000339× cholinesterase (U/L) +2.227292× (whether the ALP is lower than 2 times of normalupper limit; 1= yes, 2= no) +0.024151×DBIL (μmol/L). The sensitivity and specificity of the model for predicting poor response were 88.6% and 84.8%, respectively. In this validation cohort, the area under the receiver operating characteristic curve was 0.81(95% CI 0.69-0.94). Conclusion Cholinesterase, alkaline phosphatase and direct bilirubin before treatment can predict poor response to ursodeoxycholic acid in PBC patients.

Cite this article

Gao Lili , Pan Shida , Zhang Yijin , Gao Xuesong , Su Nan , Xu Li , Duan Xuefei . Prediction of poor response to ursodeoxycholic acid in patients with primary biliary cholangitis by non-invasive markers[J]. JOURNAL OF NEW MEDICINE, 2023 , 54(2) : 127 -131 . DOI: 10.3969/j.issn.0253-9802.2023.02.008

原发性胆汁性胆管炎(PBC)是一种自身免疫性的肝内胆汁淤积性疾病,可慢性进展至终末期肝病,病因和具体发病机制尚不清楚[1]。据最新报道,全球的年发病率为0.23/10万~ 5.31/10万,患病率为1.91/10万~ 40.20/10万,呈逐年上升的趋势[2]。我国目前缺乏基于人群的流行病学证据,一项荟萃分析的研究显示,我国PBC的患病率大约有20.5/10万[3]。熊去氧胆酸(UDCA)是目前唯一安全有效的一线治疗药物,遗憾的是,临床上仍有40%的患者应答不佳。这些应答不佳的患者长期预后差、生存率低[4]。目前越来越多二线药物在不同的临床试验中显示有效,因此在临床上早期识别应答不佳的患者,对这些患者加强监测,及时加用二线用药,对于改善这部分患者的预后意义重大[5]

对象与方法

一、研究对象

以2016年1月至2018年1月经首都医科大学附属北京地坛医院以及中国人民解放军总医院第五医学中心确诊的106例PBC患者为建模组。PBC的诊断主要依据2021年中华医学会肝病学分会更新的《PBC诊断和治疗指南》,需符合三项诊断标准中的两项:①存在胆汁淤积的生物化学证据,且影像学检查排除了肝外或肝内大胆管梗阻;②抗线粒体抗体(AMA)/AMA-M2阳性,或其他PBC特异性自身抗体(抗gp210抗体、抗sp100抗体)阳性;③组织学上有非化脓性破坏性胆管炎和小胆管破坏的证据[1]。排除合并其他自身免疫性肝病、系统自身免疫性疾病、代谢相关脂肪性肝病、各种病毒性肝炎、长期大量饮酒、半年内使用可疑肝损伤药物、原发性肝癌、其他肝脏肿瘤及临床资料不完整者。建模组患者需接受UDCA标准治疗13~15 mg/(kg·d)满1年。根据巴黎Ⅱ标准及1年后检查结果,分为应答不佳组(n = 38)和完全应答组(n = 68)。巴黎Ⅱ标准为:应用UDCA 1年后,患者碱性磷酸酶(ALP)<1.5正常上限(ULN),AST<1.5 ULN 和总胆红素<1 mg/dL[1]
以2018年1月至6月初次就诊于地坛医院的47例PBC患者为验证组,入组及排除标准同建模组。本研究经地坛医院伦理委员会审查通过[批件号:京地伦科字[2017]第(055)-01号],且所有患者均知情同意,患者本人或患者法定代理人签署知情同意书。

二、方法

符合建模组入组条件的患者,记录患者姓名、年龄、性别。记录患者基线时的肝肾功能、血脂、血糖、血电解质、血常规、凝血功能、自身抗体、特种蛋白、辅助性T淋巴细胞亚群及自然杀伤细胞。记录腹部彩色多普勒超声(彩超)检查,包括腹水、门静脉直径。符合验证组入组条件的患者完善上述检查,并给予标准剂量UDCA治疗1年。所有验证组患者均随访1年。

三、统计学处理

采用SPSS 26.0(SPSS Inc, Chicago, IL, USA)进行统计分析,使用GraphPad Prism 9.0.2对统计结果进行作图。正态分布资料以 表示,采用Student-t检验进行比较。非正态分布的资料以M(P25,P75)表示,比较采用Mann-Whitney U检验。计数资料以频数(%)表示。以单因素分析为基础,选择有统计学意义(P < 0.05)及临床意义较大的变量进行多因素logistic回归分析(进入法),并进行最优质型拟合建立预测UDCA疗效的logistic回归模型,绘制受试者操作特征 (ROC) 曲线评估模型对其疗效的预测概率,ROC曲线下面积(AUC)评估预测性能的准确度,计算该模型的灵敏度和特异度。以P < 0.05为差异有统计学意义。

2 结果

一、建模组患者治疗前临床特点

建模组患者治疗前临床特点见表1
表1 建模组PBC患者治疗前的临床特点
基线特征 建模组(n = 106)
年龄/岁 56.8±14.2
女/例(%) 96(90.6)
白细胞/(×109/L) 4.2(3.2,5.4)
红细胞/(×1012/L) 3.7(3.2,4.2)
血红蛋白/(g/L) 117.0(95.0,126.6)
血小板/(×109/L) 136.0(74.7,219.5)
ALT/(U/L) 38.6(25.2,78.6)
AST/(U/L) 56.2(36.2,95.6)
ALP/(U/L) 213.0(135.4,362.0)
γ-谷氨酰转肽酶/(U/L) 206.4(86.6,381.9)
总胆红素/(μmol/L) 21.8(13.0,37.0)
直接胆红素/(μmol/L) 8.8(4.9,23.4)
胆碱酯酶/(U/L) 4841.0(3035.0,6921.5)
白蛋白/(g/L) 35.3(30.8,39.7)
球蛋白/(g/L) 33.0(28.9,36.8)
甘油三酯/(mmol/L) 1.1(0.8,1.6)
总胆固醇/(mmol/L) 4.8(3.7,6.1)
LDL-C/(mmol/L) 2.8(2.1,3.8)
HDL-C/(mmol/L) 1.2(1.0,1.6)
载脂蛋白A1/(g/L) 1.2±0.4
载脂蛋白B/(g/L) 0.8(0.6,1.0)
脂蛋白a/(mg/dL) 17.0(6.0,44.5)
凝血时间/s 11.7(10.8,13.2)
凝血酶原活动度/% 91.7±23.0
国际标准化比值 1.0(0.9,1.1)
钙/(mmol/L) 2.2±0.1
磷/(mmol/L) 1.2±0.2
尿素氮/(mmol/L) 4.1(3.3,5.1)
肌酐/(μmol/L) 53.0(47.0,61.5)
肾小球滤过率/
[mL/(min·1.73m2)]
108.0(97.0,115.0)
IgG/(g/L) 15.0(12.9,18.7)
IgM/(g/L) 3.0(2.0,4.9)
IgA/(g/L) 2.4(2.0,3.3)
补体C3/(g/L) 2.8±1.4
补体C4/(g/L) 0.2(0.1,0.2)
ESR/(mm/h) 23.0(12.0,44.0)
CD4+T淋巴细胞/
(cells/μL)
636.3±323.7
CD8+T淋巴细胞/
(cells/μL)
329.0(175.2,532.8)
自然杀伤细胞/
(cells/μL)
91.0(48.0,154.0)
门脉宽度/mm 11.5±1.2
UDCA治疗1年/例(%)
完全应答 68(64.2)
应答不佳 38(35.8)

二、与应答不佳相关指标的单因素分析

标准UDCA治疗1年后,根据检查结果,参照巴黎Ⅱ标准,将建模组分为应答不佳组与完全应答组。将建模组基线资料进行单因素分析,结果发现初次就诊时的胆碱酯酶、碱性磷酸酶、直接胆红素、γ-谷氨酰转肽酶、球蛋白、甘油三酯、总胆固醇、LDL-C、ESR、CD4+T淋巴细胞计数、CD8+T淋巴细胞计数在2组之间存在统计学差异,可能与应答不佳相关。见表2
表2 与应答不佳相关指标的单因素分析
指 标 应答不佳组(38例) 完全应答组(68例) Z/t值 P值
胆碱酯酶/(U/L) 3840.5(2847.0,5243.0) 5880(3169.2,7522.5) -2.70 0.007
碱性磷酸酶/(U/L) 402.4(269.5,515.0) 179(114.0,238.0) -5.51 <0.001
直接胆红素/(μmol/L) 32.4(14.0,53.7) 6.6(4.0,10.2) -5.92 <0.001
γ-谷氨酰转肽酶/(U/L) 327.5(193.4,560.9) 152.0(69.0,238.5) -3.87 <0.001
球蛋白/(g/L) 34.7(30.9,41.2) 31.2(27.3,35.4) -2.98 0.003
甘油三酯/(mmol/L) 1.3(0.8,1.9) 1.1(0.8,1.4) -2.26 0.012
总胆固醇/(mmol/L) 6.0(4.1,7.8) 4.6(3.6,5.4) -3.15 0.001
LDL-C/(mmol/L) 3.3(2.4,5.1) 2.6(2.0,3.2) -2.66 0.004
ESR/(mm/h) 41.0(24.5,68.0) 16.0(8.0,29.5) -2.75 0.002
CD4+T淋巴细胞/(cells/μL) 524.5±278.9 709.8±333.3 2.39 0.020
CD8+T淋巴细胞/(cells/μL) 269.0(134.5,346.0) 423.0(185.0,616.5) -2.13 0.016
表3 与应答不佳相关指标的多因素分析
因 素 OR值 P值 有效值 灵敏度 特异度 AUC AUC 95%CI
ALP 9.275(2.400,35.835) 0.001 300.000 0.771 0.848 0.810 0.714~0.905
直接胆红素 1.024(1.002,1.047) 0.030 41.448 0.829 0.788 0.840 0.757~0.924
胆碱酯酶 0.996(0.993,0.999) 0.035 2645.154 0.857 0.485 0.637 0.526~0.748

三、与UDCA应答不佳相关指标的多因素分析及 logistic 回归模型

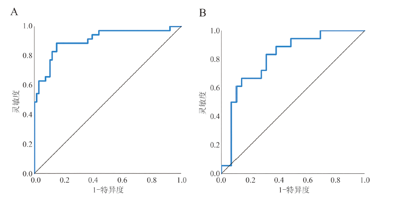
以单因素分析为基础,选择有统计学意义及临床意义较大的变量进行多因素logistic回归分析(进入法),并进行最优质型拟合建立预测UDCA疗效的logistic回归模型,根据多因素非条件logistic 回归分析结果,将患者初次就诊时的胆碱酯酶、碱性磷酸酶、直接胆红素纳入模型。回归模型为:Y = 0.000339×胆碱酯酶(U/L)+2.227292×(是否低于2ULN的ALP;1=是,2=否)+0.024151×直接胆红素(μmol/L )。绘制ROC曲线,ROC AUC评估该模型对应答不佳预测的灵敏度为88.6%,特异度为84.8%。见图1A
图1 UDCA应答不佳logistic 回归模型ROC曲线

注:A为UDCA应答不佳logistic 回归模型的ROC曲线; B为UDCA应答不佳logistic 回归模型验证组的ROC曲线。

四、Logistic 回归模型的验证

最终47例患者完成随访,代入回归模型中进行验证,绘制ROC曲线。根据ROC AUC评估该模型,该模型对应答不佳的预测能力为0.81(95% CI 0.69~0.94),见图1B。近期一项国际多中心的大样本研究也建立了预测应答不佳的模型,该模型基于患者就诊时年龄、从确诊到治疗的间隔时间、治疗前ALP、治疗过程中ALP变化值、治疗前总胆红素、治疗前转氨酶,其预测能力评分为0.83(95% CI 0.79~0.87)[6]。虽然本研究的模型预测能力评分不及该模型,但我们的指标更简单,易操作。

讨论

PBC是一种慢性进行性肝内胆汁淤积性肝脏疾病,既往被认为是一种少见病。随着诊疗技术的不断进步,目前发现PBC并不少见,且发病率和患病率呈逐年上升趋势[2]。PBC的一线治疗药物为UDCA,其有效性和安全性都得到业界一致认可[7-8]。一般对UDCA完全应答的患者,临床预后均较好[9]。临床上仍有40%的患者对UDCA应答不佳,这部分患者长期预后差、生存率低。目前越来越多的二线药物被证明可以改善UDCA应答不佳患者的预后,及早鉴别UDCA应答不佳临床意义重大[10-12]
经过单因素及多因素分析,本研究的模型中纳入了ALP、直接胆红素及胆碱酯酶3个指标。ALP的升高代表早期胆汁淤积,而直接胆红素异常则提示疾病已经到晚期的可能[13]。直接胆红素与间接胆红素(IBIL)共同组成总胆红素。直接胆红素是由IBLI入肝后受肝内葡萄糖醛酸基转移酶的作用与葡萄糖醛酸结合生成的[14]。相较于总胆红素、IBIL,多数学者认为直接胆红素更能反映肝脏的病变情况[15]。胆碱酯酶在肝脏上皮细胞的内质网内合成,是一种相关激素酶,属于非特异性酯酶[16]。胆碱酯酶半衰期为 8~12 d,只可在肝脏内合成,表达水平可反映肝脏上皮细胞内质网和线粒体的活性,可用于评估肝脏上皮细胞的功能状态[17]。因胆碱酯酶受影响的因素较少,所以在肝脏功能状态的评估中具有较高的灵敏度及准确性[18]。另外,本研究模型纳入的指标简单,基本所有医院都能完成检测。模型的灵敏度和特异度也较高,比较容易在临床上广泛推广。
目前国际上尚无统一的判断UDCA治疗后的应答标准,常见的有8种,包括二分类标准的巴黎Ⅰ标准、巴黎Ⅱ标准、巴塞罗那标准、梅奥标准、多伦多标准、鹿特丹标准,以及最近的连续评分系统:UK-PBC标准、GLOBE标准[1,19 -21]。这些标准大多以UDCA治疗1年作为评估生化应答的时间点。但治疗1年后如评估为应答不佳,再加用二线治疗,患者则会错过1年的治疗时间。在此期间疾病可能进展,从而影响部分患者,尤其是分期较晚患者的临床预后。我们的模型只应用患者就诊基线时的指标,缩短了判定生化应答的时间,为应答不佳患者争取治疗时间。最近的国际多中心大样本研究,也采用治疗前的指标,可见应用治疗前的指标评估UDCA应答不佳是国内外的一致需求[6]
综上所述,我们基于治疗前的ALP、直接胆红素、胆碱酯酶,建立了一个预测UDCA应答不佳的模型,纳入指标简单、无创,容易被患者接受,且方便在临床上推广。当然本研究也存在不足之处:首先,我们建模的样本量并不够多,需要多中心、大样本的数据进一步验证该模型的建立是否合理;其次,我们的验证组样本量更少,对于该模型的验证评价结果仍需扩大样本量达到更精确判定的目的。
[1]
中华医学会肝病学分会. 原发性胆汁性胆管炎的诊断和治疗指南(2021). 中华肝脏病杂志,2022, 30(3): 264-275.

[2]
Lv T, Chen S, Li M, et al. Regional variation and temporal trend of primary biliary cholangitis epidemiology: a systematic review and meta-analysis. J Gastroenterol Hepatol, 2021, 36(6): 1423-1434.

DOI

[3]
Zeng N, Duan W, Chen S, et al. Epidemiology and clinical course of primary biliary cholangitis in the Asia-Pacific region: a systematic review and meta-analysis. HepatolInt, 2019, 13(6): 788-799.

[4]
Örnolfsson K T, Lund S H, Olafsson S, et al. Biochemical response to ursodeoxycholic acid among PBC patients: a nationwide population-based study. Scand J Gastroenterol, 2019, 54(5): 609-616.

DOI

[5]
吕艳, 杨益大. 原发性胆汁性胆管炎药物治疗新进展. 实用肝脏病杂志, 2021, 24(6): 772-775.

[6]
Carbone M, Nardi A, Flack S, et al. Pretreatment prediction of response to ursodeoxycholicacid in primary biliary cholangitis: development and validation of the UDCA response score. Lancet Gastroenterol Hepatol, 2018, 3(9):626-634.

DOI

[7]
Schattenberg J M, Pares A, Kowdley K V, et al. A randomized placebo-controlled trial of elafibranor in patients with primary biliary cholangitis and incomplete response to UDCA. J Hepatol, 2021, 74(6): 1344-1354.

DOI PMID

[8]
Gordon S C, Wu K H, Lindor K, et al. Ursodeoxycholic acid treatment preferentially improves overall survival among African Americans with primary biliary cholangitis. Am J Gastroenterol, 2020, 115(2): 262-270.

DOI PMID

[9]
Tanaka A. Current understanding of primary biliary cholangitis. Clin Mol Hepatol, 2021, 27(1): 1-21.

DOI PMID

[10]
Parés A, Shiffman M, Vargas V, et al. Reduction and stabilization of bilirubin with obeticholic acid treatment in patients with primary biliary cholangitis. Liver Int, 2020, 40(5): 1121-1129.

DOI PMID

[11]
Tanaka A, Hirohara J, Nakano T, et al. Association of bezafibrate with transplant-free survival in patients with primary biliary cholangitis. J Hepatol, 2021, 75(3): 565-571.

DOI PMID

[12]
Rautiainen H, Kärkkäinen P, Karvonen A L, et al. Budesonide combined with UDCA to improve liver histology in primary biliary cirrhosis: a three-year randomized trial. Hepatology, 2005, 41(4): 747-752.

PMID

[13]
Gulamhusein A F, Hirschfield G M. Primary biliary cholangitis: pathogenesis and therapeutic opportunities. Nat Rev Gastroenterol Hepatol, 2020, 17(2): 93-110.

DOI PMID

[14]
李小侠. 血清谷氨酸脱氢酶与其他肝功能指标联合检测在肝病诊断中的临床意义. 陕西医学杂志, 2020, 49(12): 1677-1680.

[15]
Kouroumalis E, Samonakis D, Voumvouraki A. Biomarkers for primary biliary cholangitis: current perspectives. Hepat Med, 2018, 10: 43-53.

[16]
吕金龙. 血清总胆汁酸、白蛋白、胆碱酯酶水平变化与肝炎肝硬化患者Child-Pugh分级的关联性. 实用中西医结合临床, 2021, 21(15): 113-114.

[17]
宋少娟, 苏国华. 血清总胆汁酸、胆碱酯酶和前白蛋白检测在肝病诊断中应用探析. 医学信息, 2021, 34(23): 9-11.

[18]
李宏良, 张东军, 孙志坚. 肝病患者血清前白蛋白、载脂蛋白-A1、胆碱酯酶、γ-谷氨酰转肽酶、凝血酶原时间、总胆汁酸的变化及临床意义. 中华传染病杂志, 2016, 34(3): 182-185.

[19]
European Association for the Study of the Liver. EASL Clinical Practice Guidelines: the diagnosis and management of patients with primary biliary cholangitis. J Hepatol, 2017, 67(1): 145-172.

DOI PMID

[20]
Lammers W J, Hirschfield G M, Corpechot C, et al. Development and validation of a scoring system to predict outcomes of patients with primary biliary cirrhosis receiving ursodeoxycholic acid therapy. Gastroenterology, 2015, 149(7): 1804-1812. e4.

DOI PMID

[21]
Carbone M, Sharp S J, Flack S, et al. The UK-PBC risk scores: derivation and validation of a scoring system for long-term prediction of end-stage liver disease in primary biliary cholangitis. Hepatology, 2016, 63(3): 930-950.

DOI PMID

Outlines

/