Original Research

Study the correlation of FIB-4 and sST2 levels with heart failure

  • Tao Xuejiao ,
  • Lu Junkun ,
  • Chen Jiahui ,
  • Gao Yujin
Expand
  • Guangzhou University of Chinese Medicine, Guangzhou 510006, China
Lu Junkun, E-mail:

Received date: 2023-05-12

  Online published: 2023-09-05

Abstract

Objective To investigate the correlation between hepatic fibrosis index-4 (FIB-4) and soluble growth stimulating gene 2 protein (sST2) with the incidence and severity of heart failure. Methods 114 patients with heart failure were selected in the heart failure group and 38 healthy controls in the same period were assigned into the control group. The differences in general conditions and the expression levels of FIB-4 and sST2 were compared between two groups. According to the NYHA cardiac function classification, all patients with heart failure were divided into grade Ⅱ-Ⅳ. According to the left ventricular ejection fraction (LVEF), they were divided into heart failure with decreased ejection fraction (HFrEF), heart failure with preserved ejection fraction (HFpEF) and heart failure with median ejection fraction (HFmrEF). The levels of FIB-4 and sST2 were compared among all groups, and the receiver operating characteristic (ROC) curves of FIB-4 and sST2 and their combination and heart failure specificity were drawn. Results According to the New York Heart Association (NYHA) classification, the levels of FIB-4 in patients with heart failure were higher than those in healthy controls, and the levels of FIB-4 in grade Ⅳ patients were higher compared with those in grade Ⅱ and Ⅲ counterparts (all P < 0.01), whereas no significant difference was observed between gradeⅡand grade Ⅲ individuals (P > 0.05). Significant differences were found in the levels of sST2 among grade Ⅱ, grade Ⅲ and grade Ⅳ groups (all P < 0 05). There were statistical differences in the overall distribution of FIB-4 and sST2 among patients with heart failure of different types (P < 0.05). The ROC curve showed that the area under the ROC curve (AUC) of FIB-4 in the diagnosis of heart failure was 0.784, the AUC of heart failure diagnosed by ST2 was 0.910, and the AUC of these two combined in the diagnosis of heart failure was 0.922, and the specificity was higher than that of either single diagnosis (both P < 0.001). Conclusions FIB-4 is related to the grading of cardiac function, and the level of sST2 is positively correlated with NYHA and LVEF classification. The combination of FIB-4 and sST2 yields higher specificity in the diagnosis of heart failure and can be utilized to evaluate the severity of heart failure, which is of great significance for the diagnosis, treatment and prognosis of heart failure.

Cite this article

Tao Xuejiao , Lu Junkun , Chen Jiahui , Gao Yujin . Study the correlation of FIB-4 and sST2 levels with heart failure[J]. JOURNAL OF NEW MEDICINE, 2023 , 54(8) : 569 -573 . DOI: 10.3969/j.issn.0253-9802.2023.08.008

心力衰竭(心衰)常致外周循环淤血和脏器灌注不足,因此,患者常会出现肺、肝、肾等器官功能受损,终末期心衰治疗效果不佳,容易产生不良反应,且医疗费用较高,所以如何能早期诊断心衰并进行干预,有效逆转心室重构并改善预后极其重要[1]。肝纤维化指数-4(FIB-4)被认为是肝纤维化的标志物,被应用于检测病毒性肝炎、HIV和非酒精性脂肪性肝病患者的肝纤维化,近年越来越多被应用于心衰领域。据靳之等[2]研究显示FIB-4越高,射血分数降低的心衰(HFrEF)患者预后越差。而张丽伟等[3]研究表明高FIB-4的射血分数保留的心衰(HFpEF)患者不良心血管事件发生风险较高。目前的研究相对较少,且结果并不一致,所以需要更多的研究来深入探讨FIB-4和心衰之间的关系。此外,可溶性生长刺激表达基因2蛋白(sST2)与心衰严重程度密切相关,与脑钠肽相比,稳定性更高,受年龄、肾功能和肥胖等因素影响小,可作为心衰和心肌梗死的重要预后因子,具有重要临床意义[4]。本研究通过对比114例心衰患者与同期健康人群FIB-4和sST2水平的差异,分析心衰患者FIB-4和sST2水平与疾病严重程度、心衰类型的关系,并分析其联合应用的优势和局限性,为心衰的临床诊断和治疗提供参考。

对象与方法

一、 研究对象

样本量估算按公式计算出心衰组114例,对照组38例,样本总量为152例。选取广州中医药大学附属湛江第一中心医院心内科2021年1月至2022年12月心衰住院及门诊患者114例为心衰组,均符合中华医学会心血管病分会推荐的心衰临床评定标准。心衰组男66例、女48例。NYHA心功能分级:Ⅱ级57例,Ⅲ级32例,Ⅳ级25例。114例按LVEF分为HFrEF 49例,射血分数中间值的心衰(HFmrEF)20例,HFpEF 45例。
纳入标准:①符合中国2018年心力衰竭指南LVEF分类和诊断标准;②年龄≥18岁;③NYHA心功能分级Ⅱ~Ⅳ级;④临床资料完整。排除标准:①确诊合并肝胆相关疾病;②合并严重肾功能不全;③合并恶性肿瘤;④合并严重感染性疾病、自身免疫性疾病;⑤合并失血性贫血以及其他各种类型的血液系统疾病;⑥近期内使用影响免疫活性、具有肝损害、骨髓抑制的药物。
另纳入同期健康人群38名为对照组,男19名、女19名。2组年龄、性别等一般资料比较差异均无统计学意义(P均> 0.05),具有可比性。见表1。本研究符合世界医学协会《赫尔辛基宣言》要求。所有研究对象均知情同意,并经过医院伦理审批(伦理号:202023)。
表1 心衰组和对照组一般资料比较
项 目 心衰组(114例) 对照组(38名) t/Z值 P值
年龄/岁 64.70±13.32 60.95±10.73 1.753 0.084
性别/例(%)
66(57.89) 19(50.00) 0.846 0.397
48(42.11) 19(50.00)
BMI/(kg/m2 21.10±1.54 21.83±2.52 1.682 0.099
心率/(次/分) 84.00(72.75,100.25) 78.50(71.75,95.00) 1.362 0.173
收缩压/mmHg 152.92±24.51 155.55±23.43 0.579 0.563
舒张压/mmHg 81.58±15.54 84.61±19.45 0.974 0.332
合并基础病/例(%)
高血压 82(71.93) 30(78.95) 0.848 0.396
高脂血症 59(51.75) 20(52.63) 0.093 0.926
血糖/(mmol/L) 9.87(7.95,12.19) 8.74(6.24,11.88) 1.326 0.185
LVEF/% 43.5(31.00,56.00) 67.00(61.75,73.00) 6.893 <0.001
血红蛋白/(g/L) 133.15±14.37 138.37±15.20 1.912 0.058
红细胞/(×1012/L) 4.27(3.85,4.63) 4.31(3.86,4.68) 0.685 0.493
白细胞/(×109/L) 10.25(7.78,12.66) 10.02(7.03,13.49) 0.517 0.605
PLT/(×109/L) 211.50(187.00,245.50) 226.00(191.00,252.25) 1.021 0.307
NT-proBNP/(pg/mL) 4 421.00(2 567.25,6 987.00) 141.00(74.75,776.50) 8.852 <0.001
ALT/(U/L) 32.00(19.00,62.25) 21.00(18.00,27.25) 3.433 0.001
AST/(U/L) 37.5(25.75,66.00) 20.00(17.00,23.25) 6.583 <0.001
FIB-4 1.99(1.21,2.91) 1.14(0.89,1.42) 5.234 <0.001
sST2/(ng/mL) 28.95(14.59,52.58) 6.25(4.33,9.38) 7.551 <0.001

注:1 mmHg=0.133 kPa。

二、 检测方法

所有入选者均详细记录病史(包括高血压、糖尿病及高脂血症等)、症状、体格检查,相关实验室检查均为2组入院时及门诊进行,使用血液分析仪检测血小板数(PLT),使用胶乳增强免疫比浊法测定2组AST、ALT水平,使用化学发光免疫分析法检测sST2。FIB-4 =[年龄(岁)×AST(U/L)] /[PLT(×109 /L)×$\sqrt{ALT(U/L)}$]。

三、 统计学处理

采用SPASS 26.0统计学软件。符合正态分布计量资料用表示,若方差齐选择两独立样本t检验,若方差不齐选择两独立样本t′检验。不符合正态分布用中位数(下四分位数,上四分位数)即M(P25,P75)表示,比较采用两独立样本秩和检验,多组间比较选择Kruskal Wallis检验,并使用Bonferroni方法进行两两比较。计数资料以率(%)表示,比较采用χ 2检验。绘制FIB-4和sST2及两者联合的受试者操作特征(ROC)曲线图,比较曲线下面积(AUC)。P < 0.05为差异有统计学意义。

结果

一、研究组和对照组一般资料比较

心衰组和对照组年龄、性别、BMI、心率、收缩压、舒张压、合并高血压、合并高脂血症、血糖、血红蛋白、红细胞、白细胞、PLT水平比较差异均无统计学意义(P均> 0.05)。2组LVEF、N-端B型利钠肽原(NT-proBNP)、ALT、AST、FIB-4、sST2水平比较差异均有统计学意义(P均< 0.05)。见表1

二、 不同心功能、类型的心衰患者FIB-4和sST2水平比较

对照组FIB-4水平与心衰组心功能Ⅲ级和Ⅳ级的患者FIB-4水平比较差异均有统计学意义(P均< 0.01),与心功能Ⅱ级患者的FIB-4比较差异无统计学意义(P > 0.05)。心衰组不同NYHA心功能分级患者的FIB-4水平总体分布差异有统计学意义(H = 54.40,P < 0.01);其中Ⅱ级和Ⅳ级、Ⅲ级和Ⅳ级的患者FIB-4比较差异均有统计学意义(P均< 0.01),Ⅱ级和Ⅲ级的患者FIB-4比较差异无统计学意义(P > 0.05)。
对照组sST2水平与心衰组心功能Ⅱ级、Ⅲ级和Ⅳ级的患者sST2水平比较差异均有统计学意义(P均< 0.01)。心衰组不同心功能患者的sST2水平总体分布比较差异有统计学意义(H = 71.250,P < 0.01);其中Ⅱ级和Ⅲ级、Ⅱ级和Ⅳ级、Ⅲ级和Ⅳ级的患者sST2水平比较差异均有统计学意义(P均< 0.05)。见表2
表2 不同心功能、类型心衰患者FIB-4和sST2水平比较[M(P25,P75)]
组 别 例数 FIB-4 sST2/(ng/mL)
NYHA心功能分级
Ⅱ级 57 1.37(1.10,2.11) 14.86(8.97,26.10)
Ⅲ级 32 1.99(1.34,2.52) 37.72(30.94,51.16)
Ⅳ级 25 4.34(3.38,5.91) 79.53(63.93,106.01)
H值 54.400 71.248
P值 <0.001 <0.001
类型
HFrEF 49 2.34(1.40,4.31) 43.12(26.77,79.38)
HFmrEF 20 1.72(1.14,2.54) 15.67(10.18,33.12)
HFpEF 45 1.73(1.16,2.43) 23.3(11.84,41.95)
H值 9.013 20.568
P值 0.011 <0.001
不同类型心衰患者FIB-4水平总体分布存在着统计学差异(H = 9.01,P = 0.01);其中HFrEF和HFpEF患者FIB-4比较差异有统计学意义(P = 0.02),HFrEF和HFmrEF、HFpEF和HFmrEF患者FIB-4比较差异均无统计学意义(P均> 0.05)。不同类型心衰患者的sST2水平总体分布比较差异有统计学意义(H = 20.568,P < 0.01);其中HFrEF和HFmrEF、HFrEF和HFpEF患者sST2水平比较差异均有统计学意义(P均< 0.01),HFmrEF和HFpEF患者sST2比较差异无统计学意义(P > 0.05)。见表2

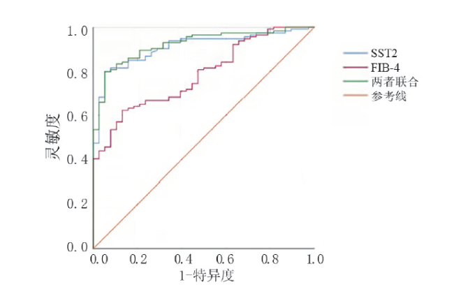
三、 FIB-4和sST2及两者联合检测对心衰诊断价值

FIB-4诊断心衰的AUC为0.784 [95%CI (0.709,0.859)],灵敏度为0.623,特异度为0.868,截断值为1.621;sST2诊断心衰的AUC为0.910 [95%CI(0.862,0.957)],灵敏度为0.798,特异度为0.947,截断值为13.12;两者联合诊断心衰的AUC为0.922[95%CI(0.878,0.965)],高于单独诊断(P均< 0.001)。见图1
图1 FIB-4和sST2及两者联合诊断心衰的ROC曲线

讨论

FIB-4是一种简单、快速、经济的非侵入性评估肝纤维化程度的指标,通过年龄、AST、ALT和PLT四个因素的计算得出[5]。虽然FIB-4主要用于评估肝纤维化程度,但近年来的研究表明,FIB-4指标值与心衰的发生和发展密切相关[3]
心脏与肝脏之间存在着病理联系。急慢性心衰均可引起肝脏充血和灌注不足,尤其是长期持续慢性心衰可引起肝纤维化、我们称为心源性肝硬化,使尿钠排泄减少,体液潴留和动脉硬化,严重损害左心室舒张功能。
我们研究发现FIB-4水平在心衰组与对照组比较差异有统计学意义,说明心衰患者存在着一定程度的肝损伤。心衰患者随着心衰程度加重,肝损伤也更加严重,这可能与心衰程度加重导致的肝淤血程度加重有关。心衰时心脏输出量不足以满足肝细胞的代谢需求时,肝细胞会出现缺氧性坏死;心脏舒张功能障碍时血液回流受阻,肝淤血中心静脉压的升高也会导致肝细胞萎缩和肝窦周水肿,同时肝窦中较高的静水压还会使小叶中心肝细胞坏死、AST的清除受损,导致肝纤维化和预后不良[5-6]。另外还可能与炎症反应、心肌纤维化、血栓形成等心衰发病机制有关。有研究显示,FIB-4可以帮助预测心衰发生的可能性,且FIB-4升高与各种心衰病因患者的病死率有关[7-8]
我们研究发现,sST2水平随着心功能分级不同而呈现差异性,心功能越差,sST2水平越高。生长刺激表达基因2蛋白(ST2)被发现于受生长刺激的成纤维细胞中,是IL-1受体/Toll样受体超家族的成员,主要分为sST2和跨模型ST2(ST2L)。研究表明sST2 作为“诱饵受体”,与ST2L竞争结合IL-33削弱IL-33/ST2L轴对心脏的保护作用[9]。IL-33和ST2L结合能够抑制心肌细胞肥大和纤维化,起到保护心脏的作用。在心肌受到损伤的过程中,有大量sST2产生,sST2作为竞争性受体与ST2L竞争结合IL-33,可以阻断IL-33/ST2L的心血管保护等生物学作用。sST2水平的升高可以诱导心肌细胞凋亡和纤维化、促进心肌细胞的肥大和心肌重构,从而使心脏功能受损,加重心衰。在2018年的中国心衰指南中说也明sST2是反映心肌纤维化、炎症、氧化应激的标志物,有助于心衰患者的危险分层和预后评估[10]
本研究结果表明,随着心功能分级升高,FIB-4和sST2水平也升高,表明这两个指标可用于评估心衰的疾病严重程度。虽然脑钠肽水平能很好反映心衰的严重程度,但这种动态变化随着心衰症状好转而降低,不能真正反映心脏重构及纤维化程度,sST2水平更与心肌纤维化程度密切相关。在心肌梗死后的患者中也检测到高水平的sST2,其结果与心肌缺血程度和反映心脏功能的参数呈正相关[11-12]。通过进一步分析发现,按照不同LVEF水平分型的心衰其FIB-4和sST2水平有所不同,3组总体分布有统计学意义,HFrEF组、HFpEF组患者FIB-4、sST2水平较高,HFmrEF组FIB-4、sST2水平较低,考虑可能与样本量较少、病例选择有关。为了更深入地研究FIB-4和sST2与心衰中的应用价值,我们采用ROC曲线分析,发现FIB-4、sST2两者联合诊断心衰的价值优于单独诊断,这表明FIB-4和sST2两者联合应用对于心衰的评估具有重要意义。总之,FIB-4和sST2水平高低与心衰及其严重程度、分型密切相关,两者联合应用在心衰的诊断中有潜在的价值。然而,本研究存在样本量较小、没有长期追踪患者预后等局限性,需要进一步开展研究予以验证。
[1]
刘永辉, 孟嘉天, 孟自力, 等. 大鼠异位心脏移植对心脏减负荷模型制作的价值. 新医学, 2022, 53(3): 193-198.

DOI

[2]
靳之, 沈德良, 上官佳红. FIB-4指数在射血分数降低型心力衰竭患者预后评估中的应用. 河南医学研究, 2020, 29(13):2328-2330.

[3]
张丽伟, 李晓丹, 赵赫, 等. 射血分数正常心力衰竭患者Fibrosis-4指数与右心室功能及预后的相关性研究. 现代检验医学杂志, 2022, 37(2): 167-172.

[4]
郭丽, 王露露, 张丽, 等. 关于心力衰竭标志物研究的进展. 心血管康复医学杂志, 2019, 28(2): 251-256.

[5]
Alvarez A M, Mukherjee D. Liver abnormalities in cardiac diseases and heart failure. Int J Angiol, 2011, 20(3): 135-142.

DOI

[6]
So-Armah K A, Lim J K, Lo Re V, et al. FIB-4 stage of liver fibrosis predicts incident heart failure among HIV-infected and uninfected patients. Hepatology, 2017, 66(4): 1286-1295.

DOI PMID

[7]
张琦, 张荣成, 姚佑楠, 等. 肝脏纤维化程度评分在住院心力衰竭患者风险评估中的应用. 中国循环杂志, 2019, 34(8): 796-802.

[8]
聂流畅, 李秀芩, 李绍冰. 肝纤维化-4指数评价心力衰竭预后价值的Meta分析. 中国循环杂志, 2022, 37(9): 902-906.

[9]
Vianello E, Dozio E, Tacchini L, et al. ST2/IL-33 signaling in cardiac fibrosis. Int J Biochem Cell Biol, 2019, 116: 105619.

DOI

[10]
魏安华, 李娟. 《中国心力衰竭诊断和治疗指南2018》药物更新透视. 医药导报, 2019, 38(5): 539-543.

[11]
Anand I S, Rector T S, Kuskowski M, et al. Prognostic value of soluble ST 2 in the Valsartan Heart Failure Trial. Circ Heart Fail, 2014, 7(3): 418-426.

DOI

[12]
Aimo A, Januzzi J L Jr, Bayes-Genis A, et al. Clinical and prognostic significance of sST 2 in heart failure: JACC review topic of the week. J Am Coll Cardiol, 2019, 74(17): 2193-2203.

DOI

Outlines

/