Original Research

Clinical predictive value of Chinese visceral adipose index for the diagnosis of OSAHS in patients with metabolic syndrome scheduled to undergo bariatric metabolic surgery

  • WANG Wei , 1 ,
  • GU Jingfeng 1 ,
  • LI Bing 2 ,
  • WANG Guiqi , 1
Expand
  • 1. Department of Gastroenterology, the First Hospital of Hebei Medical University, Shijiazhuang 050023, China
  • 2. Neurological Examination Center, the First Hospital of Hebei Medical University, Shijiazhuang 050023, China
WANG Guiqi, E-mail:

Received date: 2025-04-21

  Online published: 2025-07-02

Abstract

Objective To explore clinical predictive value of Chinese visceral adipose index (CVAI) for patients with metabolic syndrome (MetS) complicated with obstructive sleep apnea hypopnea syndrome (OSAHS) scheduled for bariatric metabolic surgery (BMS). Methods By the convenience sampling method, 243 patients with MetS who were scheduled to undergo BMS in Department I of Gastroenterology Diagnosis and Treatment of the First Hospital of Hebei Medical University from November 2023 to December 2024 were selected. All patients were divided into OSAHS and non-OSAHS groups according to whether they were complicated with OSAHS. Clinical data were collected and CVAI was calculated in two groups. The influencing factors of MetS patients complicated with OSAHS scheduled to undergo BMS were identified by Logistic regression analysis. The receiver operating characteristic (ROC) curve was plotted. The predictive value of CVAI for MetS patients complicated with OSAHS was evaluated. Results Among 243 MetS patients scheduled to undergo BMS, there were statistically significant differences between the OSAHS and non-OSAHS groups in terms of gender, age, weight, body mass index (BMI), neck circumference, abdominal circumference, hip circumference, fasting blood glucose and CVAI (all P < 0.05). Multivariate Logistic regression analysis showed that age, hip circumference and CVAI were associated with OSAHS in MetS patients scheduled for BMS (all P < 0.05). CVAI had certain predictive value, and the screening value was even better when combined with hip circumference. Conclusions CVAI can be used as a predictive indicator for whether MetS patients are complicated with MetS who are scheduled for BMS. The detection of serological indicators required for calculating CVAI is simple and has clinical practical value in reducing preoperative screening costs and improving the diagnostic rate.

Cite this article

WANG Wei , GU Jingfeng , LI Bing , WANG Guiqi . Clinical predictive value of Chinese visceral adipose index for the diagnosis of OSAHS in patients with metabolic syndrome scheduled to undergo bariatric metabolic surgery[J]. JOURNAL OF NEW MEDICINE, 2025 , 56(6) : 591 -598 . DOI: 10.12464/j.issn.0253-9802.2025-0141

阻塞性睡眠呼吸暂停低通气综合征(obstructive sleep apnea hypopnea syndrome,OSAHS)是一种与代谢综合征(metabolic syndrome,MetS)患者睡眠状态密切相关的呼吸系统疾病,其特征是频繁发生的低通气现象和呼吸暂停导致的间歇性低氧血症和睡眠碎片化,致使机体睡眠期间气体交换出现异常[1]。对患者而言,不仅会损害生活质量,还会对身心健康产生不良影响[2]。有研究显示,多数MetS患者存在血压升高、血糖升高和(或)血甘油三酯升高,这些均为外周动脉疾病的重要危险因素[3]。拟行减重代谢手术(bariatric and metabolic surgery,BMS)的MetS患者均已有较长时间的MetS控制不佳,这更是增加了患外周动脉疾病的可能。此外,与非OSAHS患者相比,OSAHS患者的体质量(体重)、体质量指数(body mass index,BMI)、颈腹围、血压及血脂普遍存在差异[4]。间歇性缺氧会触发交感神经过度激活、内皮功能障碍、高凝状态和代谢失调,这表明MetS和OSAHS之间存在一定联系,二者可能通过共同的病理生理发病机制相互影响[5-6]
国际指南推荐使用多导睡眠监测(polysom-nography,PSG)测量出的呼吸暂停低通气指数(apnea-hypopnea index,AHI),即每小时睡眠中的呼吸暂停和低通气次数作为诊断OSAHS和确定其严重程度的金标准[7-8]。其中,呼吸暂停被定义为呼吸停止时间≥10 s,低通气被定义为潮气量减少时间≥10 s,同时伴有3%或4%的氧饱和度下降及睡眠中觉醒[9]。AHI还是评估OSAHS对心血管系统、神经认知功能和代谢状况影响的常用指标,在评估患者回访时的临床治疗效果方面也发挥着关键作用[10],然而并不是所有医院都有开展PSG。临床医师倾向在AHI之外,综合血氧饱和度和心率的变化等其他指标来评估OSAHS的严重程度[11-12]。尤其需要考虑的是,MetS与其引发的并发症之间很可能存在相互促进发展的关系。在此背景下,为拟行BMS的MetS患者寻找更为便捷、经济的术前OSAHS临床筛查指标,应用于无法开展PSG的医疗机构,具有重要的临床意义。
中国人内脏脂肪指数(Chinese Visceral Adipose Index,CVAI)是由国内学者提出、于2016年在Scientific Reports上被报道、在意大利人群中建立的内脏脂肪指数(Visceral Adipose Index,VAI)的基础上,进一步纳入年龄因素且经CT检查校正而构建,以更好地反映中国人的内脏脂肪分布及代谢情况的指标[13]。临床应用研究显示,CVAI是一种比BMI、腰围(或)腰臀比更好的2型糖尿病和糖尿病前期预测指标[14]。CVAI不仅适用于普通人群日常体重控制,也适用于住院患者基于疾病治疗需求的体重管理,其在国内大型代谢管理中心也有应用[15]。有关CVAI作为拟行BMS的MetS患者合并OSAHS的筛查指标,相关研究较少。本研究对行BMS的MetS患者进行术前PSG及CVAI数值计算,分析CVAI与OSAHS的相关性,并使用受试者操作特征(receiver operating characteristic,ROC)曲线及曲线下面积(area under curve,AUC)评估CVAI对拟行BMS的MetS患者合并OSAHS风险的筛查价值,进而为在临床实践中快速且方便地从此类患者群体中筛查出可能合并OSAHS者提供便捷手段。

1 对象与方法

1.1 研究对象

本研究为回顾性研究,使用便利取样法,选取2023年11月至2024年12月在河北医科大学第一医院胃肠病诊疗一科(减重与代谢病科)拟行BMS的MetS患者。病例纳入标准:①因夜间打鼾症状且鼾声响亮行PSG的MetS患者;②病历资料完整者。排除标准:①PSG监测时间<4 h者;②CVAI计算公式中所需的血清学指标未在河北医科大学第一医院完成者。本研究经河北医科大学第一医院临床研究伦理委员会批准(批件号:2024153),患者及其家属对本研究均知情同意。

1.2 分组

最终入组243例,年龄为(32.61±8.60)岁,体重为(117.73±25.35) kg,BMI为(42.05±7.74)kg/m2,其中男性患者83例,年龄为(31.17±8.38)岁;女性患者160例,年龄为(33.36±8.64)岁。按入院后PSG的结果将患者分为OSAHS组和非OSAHS组。

1.3 观察内容

在患者入院48 h内收集其基本信息,包括性别、年龄、身高、体重、BMI、颈围、腹围、臀围。入院当晚或入院第2天夜晚采用便携式睡眠监测仪(湖南万脉医疗科技有限公司PSG403202002)进行整夜PSG,监测时间≥4 h考虑为数据有效[16]。AHI≥5次/小时即诊断为OSAHS[17],根据AHI进行分组,AHI<5次/小时或≥5次/小时分别纳入非OSAHS组或OSAHS组[18],由河北医科大学第一医院神经检查中心专业技师进行PSG检测及数据判读。所有受试者于入院后次日清晨采空腹静脉血,检测总胆固醇、甘油三酯、高密度脂蛋白胆固醇、低密度脂蛋白胆固醇、空腹血糖、肌酐、尿酸、丙氨酸氨基转移酶、天冬氨酸氨基转移酶水平,同时依据公式计算CVAI:YCVAI(男性)=-267.93+0.68X年龄+0.03XBMI+4.00X腹围+22.00lgX甘油三酯-16.32X高密度脂蛋白胆固醇YCVAI(女性)=-187.32+1.71X年龄+4.23XBMI+1.12X腹围+39.76lgX甘油三酯-11.66X高密度脂蛋白胆固醇[14]

1.4 统计学方法

样本量设计:采用10 EPV法,本研究中预计多因素分析自变量5个,即最低事件发生人数n≥50代表本研究样本量达统计学检验标准。初始样本量为255例,经纳排标准筛选后纳入研究243例。
采用SPSS 29.0进行统计学分析、MedCalc 22进行ROC曲线绘制和DeLong检验。各组先使用Kolmogorov-Smirnov检验资料正态性,正态分布的计量资料以$\bar{x}\pm s$表示,组间比较使用独立样本t检验;非正态计量资料以M(Q1,Q3)表示,组间比较采用非参数Mann-Whitney U检验。计数资料以n(%)表示,组间比较采用χ 2检验。建立以是否合并OSAHS的影响因素作为因变量的多因素Logistic回归分析模型,将OSAHS组与非OSAHS组比较差异有统计学意义的指标代入模型中。设容许误差(α)为0.05、置信区间(CI)为95%,双侧P < 0.05为差异具有统计学意义。同时利用ROC曲线和AUC分析CVAI对拟行BMS的MetS患者是否合并OSAHS的筛查价值。

2 结果

2.1 临床资料分布

本研究共纳入行BMS的MetS患者243例,分为非OSAHS组54例(22.22%),OSAHS组189例(77.78%)。OSAHS组内轻度OSAHS者67例(27.57%),中度OSAHS者52例(21.40%),重度OSAHS者70例(28.81%)。

2.2 各项指标与OSAHS发生的相关性

非OSAHS组与OSAHS组患者的身高、甘油三酯、总胆固醇、高密度脂蛋白胆固醇、低密度脂蛋白胆固醇、血清肌酐、血尿酸、丙氨酸氨基转移酶、天冬氨酸氨基转移酶比较差异均无统计学意义(均P > 0.05);OSAHS组性别(赋值:男=1,女=0)、年龄、体重、BMI、颈围、腹围、臀围、空腹血糖、AHI、CVAI与非OSAHS组比较差异均有统计学意义(均P < 0.05)。见表1
表1 非OSAHS组与OSAHS组各项指标比较及各项指标与OSAHS发生的相关性分析

Table 1 Comparison of various indicators between the non-OSAHS group and the OSAHS group and the correlation analysis of various indicators with the occurrence of OSAHS

指 标 非OSAHS组(n=54) OSAHS组(n=189) χ 2/t/Z P
性别/n(%) 7.549 0.006
10(18.5) 73(38.6)
44(81.5) 116(61.4)
年龄/岁 29.70±9.44 33.49±8.20 -2.686 0.007
身高/cm 165.00(162.00,170.00) 166.00(162.00,172.00) -0.907 0.365
体重/kg 98.50(93.00,116.25) 120.00(101.00,139.60) -4.141 <0.001
BMI/(kg/m²) 37.00(34.98,42.08) 42.50(37.75,47.85) -4.353 <0.001
颈围/cm 40.50(38.00. 44.00) 43.00(40.00,47.50) -3.543 <0.001
腹围/cm 120.98±13.29 127.71±15.97 -5.888 <0.001
臀围/cm 120.00(115.00,128.50) 128.00(118.00,139.00) -5.338 <0.001
空腹血糖/(mmol/L) 5.02(4.41,5.86) 5.37(4.71,6.81) -2.182 0.029
甘油三酯/(mmol/L) 1.53(1.05,2.05) 1.54(1.21,2.24) -0.976 0.329
总胆固醇/(mmol/L) 5.14(4.55,5.57) 5.12(4.41,5.87) -0.271 0.786
高密度脂蛋白胆固醇/(mmol/L) 1.18(1.10,1.32) 1.14(0.99,1.32) -1.576 0.115
低密度脂蛋白胆固醇/(mmol/L) 3.29(2.84,3.73) 3.17(2.76,3.78) -0.315 0.753
血清肌酐/(μmol/L) 56.45(46.33,63.50) 54.90(47.75,66.55) -0.595 0.552
血尿酸/(μmol/L) 409.52±100.08 413.64±92.10 -0.582 0.985
丙氨酸氨基转移酶/(U/L) 29.40(20.08,56.50) 39.70(25.05,63.20) -1.349 0.177
天冬氨酸氨基转移酶/(U/L) 56.45(46.33,63.50) 27.10(21.15,37.30) -1.812 0.070
AHI/(次/小时) 2.70(1.78,4.12) 21.60(11.75,47.90) -11.202 <0.001
CVAI 154.60(129.24,174.43) 207.59(160.15,270.58) -5.727 <0.001

2.3 行BMS的MetS患者的OSAHS风险Logistic回归分析

本研究初步拟于将OSAHS组与非OSAHS组有统计学意义差异的性别(赋值:男=1,女=0)、年龄、体重、BMI、颈围、腹围、臀围、空腹血糖、CVAI指标纳入行BMS的MetS患者是否合并OSAHS(因变量)的Logistic回归分析模型。但是如果直接将上述差异有统计学意义的指标同时代入模型中结果会显示BMI、腹围、CVAI均与OSAHS患病关联度较低,这显然与生活常识及临床实际不符[19]。考虑到CVAI的计算公式中包含年龄、BMI值及腹围值,且不同性别的CVAI计算公式也不同,同时代入Logistic回归分析模型可能具有较强的共线性,以方差膨胀因子(variance inflation factor,VIF)值>5认为存在共线性,共线性诊断结果见表2。这可能是导致直接代入结果与实际不符的原因之一。所以本研究使用逐步法代入多因素Logistic回归分析模型,结果显示年龄、臀围和CVAI是行BMS的MetS患者合并OSAHS的相关指标,见表3
表2 共线性诊断结果

Table 2 Result of collinearity diagnosis

指 标 B SE 容差 VIF
性别 0.165 0.138 0.142 7.046
年龄/岁 0.013 0.004 0.473 2.112
身高/cm 0.000 0.018 0.033 30.037
体重/kg -0.002 0.013 0.006 165.180
BMI/(kg/m2 0.011 0.035 0.008 123.500
腹围/cm 0.007 0.005 0.103 9.706
CVAI -0.001 0.002 0.046 21.703
表3 MetS合并OSAHS患者的多因素Logistic回归分析

Table 3 Multivariate Logistic regression analysis of patients with MetS combined with OSAHS

指 标 B SE Wald OR (95%CI) P
年龄/岁 0.091 0.023 15.938 1.096(1.048,1.146) <0.001
臀围/cm 0.092 0.019 24.006 1.096(1.057,1.137) <0.001
CVAI 0.017 0.003 25.863 1.017(1.011,1.024) <0.001

2.4 行BMS的MetS患者的OSAHS风险ROC曲线分析

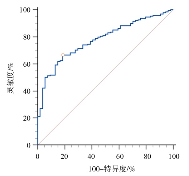
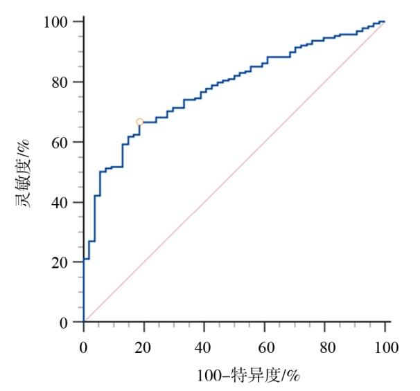
各指标的ROC曲线分析结果见表4图1。考虑到CVAI的计算公式中包含年龄,后续研究利用基于Logistic的模型公式,将臀围和CVAI指标代入后使用SPSS 29.0软件生成概率预测值,并通过ROC曲线模型计算组合变量后与原单一指标的ROC曲线模型进行对比,经组合后筛查指标(臀围-CVAI)的约登指数为0.482、最佳截断值为0.771、灵敏度为0.667、特异度为0.815、AUC(95%CI)为0.778(0.721,0.829),DeLong检验结果见表5图2
表4 MetS患者合并OSAHS相关指标的ROC曲线分析

Table 4 ROC curve analysis of indicators related to MetS patients combined with OSAHS

指 标 约登指数 最佳截断值 灵敏度 特异度 AUC (95%CI) SE
年龄 0.230 26.500 0.804 0.426 0.620(0.556,0.681) 0.046
BMI 0.389 39.250 0.667 0.722 0.694(0.632,0.752) 0.037
腹围 0.447 122.500 0.577 0.870 0.763(0.704,0.815) 0.032
臀围 0.378 122.500 0.619 0.759 0.738(0.678,0.792) 0.033
CVAI 0.484 182.310 0.688 0.796 0.756(0.697,0.808) 0.033
图1 MetS患者合并OSAHS相关指标的ROC曲线

Figure 1 The ROC curve of indicators related to MetS patients combined with OSAHS

表5 指标组合前后ROC曲线下面积差异的DeLong检验结果

Table 5 DeLong test results of differences in the area under the ROC curve before and after the combination of indicators

ROC曲线 Z AUC差异(95%CI) SE P
年龄vs.臀围-CVAI 2.738 0.159(0.045,0.272) 0.058 0.006
BMI vs.臀围-CVAI 3.023 0.084(0.030,0.139) 0.028 0.003
腹围vs.臀围-CVAI 0.719 0.016(-0.027,0.058) 0.022 0.472
臀围vs.臀围-CVAI 2.108 0.040(0.003,0.078) 0.019 0.035
CVAI vs.臀围-CVAI 1.603 0.023(-0.005,0.051) 0.014 0.109

注:“年龄vs.臀围-CVAI”为年龄指标与组合变量指标在筛查是否合并OSAHS时的ROC曲线对比,余同理;AUC差异均代表组合后变量AUC值与原单一变量AUC值的差值。

图2 组合变量在筛查是否合并OSAHS时的ROC曲线

Figure 2 ROC curve of the combined variable in predicting whether patients have OSAHS

3 讨论

OSAHS在已有代谢系统紊乱的成年人中很常见,且越来越多的证据表明,OSAHS与心血管疾病之间存在关联,且独立于传统认知的心血管疾病风险因素[20]。此外,OSAHS患病具有性别差异的原因之一是由于男性的气道更长、咽侧壁的软组织更大,导致男性在睡眠期间口咽肌肉更易塌陷;而女性的咽部虽然较小,但相对更坚硬,反而不易塌陷[21]
MetS诊断标准的5个主要组成部分分别为腹型肥胖、血压升高或正在服用降压药物、血糖升高或已被诊断为2型糖尿病、甘油三酯升高、高密度脂蛋白胆固醇降低,机体如果同时具备这5个组成部分中的3个,即可被诊断为MetS[22]。MetS之所以备受临床关注,是因为它与糖尿病患病率的上升以及心血管事件风险的增加密切相关[23-24],这些问题已成为重大的公共卫生挑战。同时,肥胖、内脏脂肪面积增加和胰岛素抵抗相关的病情进展,也会增加心血管事件的风险[25]
与肥胖相关的脂肪组织在上气道周围积聚,导致颈围增大[26],并且夜间仰卧位睡眠时肥胖患者的上气道塌陷性更严重、腹部和胸部的脂肪沉积会降低胸壁顺应性,进而导致肺容量进一步下降和肺动脉压力升高,使肥胖患者面临OSAHS病情加重的风险[27]。包括睡眠在内的昼夜节律在许多方面影响人体,如果昼夜节律发生紊乱,日常活动受到影响,就会出现许多健康问题[28]。患者很可能会出现过度打鼾、睡眠质量差、频繁出现呼吸暂停、醒来时有窒息感以及日间过度嗜睡等症状[29]。与非OSAHS的患者相比,OSAHS患者表现出更明显的因长期间歇性缺氧导致的认知功能受损,并且认知功能障碍的程度会随着OSAHS加重而加重[30]。同时,因昼夜节律失调与糖耐量受损、炎症标志物增加有关,长期昼夜节律失调的人患糖尿病、心血管疾病的风险更高[31]。无论是OSAHS引起的昼夜节律失调促进了MetS的发生,还是MetS加速了OSAHS的发展,都表明了两者密切相关。
OSAHS的筛查指标很多,临床上常用的指标有体重、BMI、颈围、腹围、臀围等。但单一使用某一项指标进行筛查,很容易显示出负相关的现象,这与临床实际是不符的。因此,选择可以应用在临床上的更适合评估拟行BMS的MetS患者是否有潜在的OSAHS风险的指标是有必要的。本研究选择的243例患者均是拟行BMS入院的MetS患者,并且对纳入研究的临床数据进行分析,得出在拟行BMS的MetS患者中并发OSAHS有较强影响的指标为CVAI,这与本研究的预期结果一致。
临床上行BMS的MetS患者的肥胖类型可能不同,内脏脂肪面积较大者与皮下脂肪面积较大者可能合并OSAHS的概率不一致[32]。同时,在进行PSG时仪器有可能夜间脱落,这就导致导出的结果中AHI较低,进而影响OSAHS的筛查正确率。针对此现象,本研究引入CVAI作为诊断OSAHS的辅助指标。从临床实践角度出发,本研究结果对拟行BMS的MetS患者的入院诊疗方案具有一定指导意义。临床医师在面对拟行BMS的MetS患者时,可以将CVAI纳入常规评估指标体系,联合臀围等指标,更快速地评估患者合并OSAHS的风险,从而提前制定相应的治疗和干预措施,改善患者预后。
本研究中臀围和CVAI经组合后的预测变量指标与腹围、CVAI比较时AUC值升高的差异无统计学意义,其原因可能是腹围为CVAI计算公式中的组成部分,或是本研究样本主体均来自拟行BMS的MetS患者,其大多腹围值较高;CVAI本身也作为组合后的筛查变量指标的组合部分,本研究中CVAI本身对于筛查拟行BMS的MetS患者中是否并发OSAHS已有较高的AUC值。年龄的AUC值为0.620,说明年龄对拟行BMS的MetS患者是否合并OSAHS的筛查准确性一般,故仅考虑为OSAHS患病的影响因素,这虽然与目前的研究结果接近[33],但对于OSAHS并无明确的辅助诊断价值,评估拟行BMS的MetS患者的OSAHS风险的能力有限。本研究显示,BMI与腹围能较好筛查OSAHS风险低者,臀围也有一定的辅助诊断价值。这些指标可辅助判断拟行BMS的MetS患者合并OSAHS的风险,但单独使用时均存在一定局限性。相比之下,CVAI区分拟行BMS的MetS患者是否合并OSAHS时具有较高的灵敏度、特异度及AUC值。其原因可能是CVAI为一般身体测量值及血清学指标两个维度联合的信息,在一定程度上弥补了单个指标的局限性,提高了诊断效能。
相比单个指标,臀围和CVAI经组合后的预测变量指标在辅助诊断拟行BMS的MetS患者是否合并OSAHS上有更高的AUC值(0.778),且与年龄、BMI和臀围单一作为筛查指标进行DeLong测试比较时AUC值升高的差异具有统计学意义,与腹围、CVAI比较时AUC值升高的差异则不具有统计学意义。综合考虑,在临床实践中该筛查变量指标可作为辅助诊断工具,尤其在缺乏PSG等更精准检测手段或患者不接受PSG时,能为拟行BMS的MetS患者下一步的诊疗决策提供参考,快速评估OSAHS风险。尽管组合指标诊断性能较好,但仍存在误判可能。另外本研究在样本选择上聚焦于拟行BMS入院的MetS患者,但由于不同研究样本的数据特征及所用的统计学方法存在差异,导致本研究与他人的分析结果可能有所不同。未来的研究将进一步对比不同样本来源的研究结果,以更全面地评估CVAI及其他指标在不同人群中的筛查价值。
综上所述,反映内脏脂肪含量的CVAI可作为拟行BMS的MetS患者是否合并OSAHS的筛查指标。计算CVAI所需的血清学指标检测简单易行,且均为行BMS的MetS患者常规术前检查,对降低此类患者OSAHS的筛查成本、提高OSAHS的诊断率有一定价值。但本研究也存在一定的局限性:①本研究所纳入样本的患者均为单中心拟行BMS而入院的MetS患者,未来有必要对其余类型、其他中心的患者进行OSAHS筛查的分组分析;②本研究所使用的筛查指标为CVAI,由于计算公式本身的性别差异、样本特征和测量误差等因素影响,可能会导致最终对拟行BMS的MetS患者是否合并OSAHS的筛查结果产生影响。其临床实用价值需更多研究验证,后续研究可进一步扩大样本量、纳入更多相关指标优化组合,未来有望发现更有临床价值且计算方式更简便的筛查指标。
[1]
CHENG M C F, STEIER J. Pre-operative screening for sleep disordered breathing: obstructive sleep apnoea and beyond[J]. Breathe(Sheff), 2022, 18(3): 220072. DOI: 10.1183/20734735.0072-2022.

[2]
LEE J J, SUNDAR K M. Evaluation and management of adults with obstructive sleep apnea syndrome[J]. Lung, 2021, 199(2):87-101. DOI: 10.1007/s00408-021-00426-w.

PMID

[3]
SORIANO-MORENO D R, FERNANDEZ-MORALES J, MEDINA-RAMIREZ S A, et al. Metabolic syndrome and risk of peripheral arterial disease: a systematic review and meta-analysis[J]. Cardiol Rev, 2024, 32(2): 97-103. DOI: 10.1097/crd.0000000000000470.

[4]
KUMARI S, CHAUDHARY S C, SAWLANI K K, et al. Obstructive sleep apnea in metabolic syndrome[J]. Ann Afr Med, 2024, 23(4): 710-716. DOI: 10.4103/aam.aam_24_24.

PMID

[5]
TORRES G, SÁNCHEZ DE LA TORRE M, PINILLA L, et al. Apnea obstructiva del sueño y riesgo cardiovascular[J]. Clínica E Investig En Arterioscler, 2024, 36(4): 234-242. DOI: 10.1016/j.arteri.2024.01.004.

[6]
MAO Z, ZHENG P, ZHU X, et al. Obstructive sleep apnea hypopnea syndrome and vascular lesions: an update on what we currently know[J]. Sleep Med, 2024, 119: 296-311. DOI: 10.1016/j.sleep.2024.05.010.

PMID

[7]
BARATEAU L, BAILLIEUL S, ANDREJAK C, et al. Guidelines for the assessment and management of residual sleepiness in obstructive apnea-hypopnea syndrome: Endorsed by the French Sleep Research and Medicine Society (SFRMS) and the French Speaking Society of Respiratory Diseases (SPLF)[J]. Respir Med Res, 2024, 86: 101105. DOI: 10.1016/j.resmer.2024.101105.

[8]
LLOYD R, MORGENTHALER T I, DONALD R, et al. Quality measures for the care of adult patients with obstructive sleep apnea: 2022 update after measure maintenance[J]. J Clin Sleep Med, 2022, 18(11): 2673-2680. DOI: 10.5664/jcsm.10244.

PMID

[9]
JAVAHERI S, JAVAHERI S, SOMERS V K, et al. Interactions of obstructive sleep apnea with the pathophysiology of cardiovascular disease, part 1: JACC state-of-the-art review[J]. J Am Coll Cardiol, 2024, 84(13): 1208-1223. DOI: 10.1016/j.jacc.2024.02.059.

PMID

[10]
AZARBARZIN A, LABARCA G, KWON Y, et al. Physiologic consequences of upper airway obstruction in sleep apnea[J]. Chest, 2024, 166(5): 1209-1217. DOI: 10.1016/j.chest.2024.05.028.

[11]
CAPLES S M, ANDERSON W M, CALERO K, et al. Use of polysomnography and home sleep apnea tests for the longitudinal management of obstructive sleep apnea in adults: an American Academy of Sleep Medicine clinical guidance statement[J]. J Clin Sleep Med, 2021, 17(6): 1287-1293. DOI: 10.5664/jcsm.9240.

[12]
MCNICHOLAS W T. Ambulatory diagnosis of sleep-disordered breathing: pushing out the boundaries[J]. Med, 2023, 4(12): 860-862. DOI: 10.1016/j.medj.2023.11.009.

PMID

[13]
LIU Z, HUANG Q, DENG B, et al. Elevated Chinese visceral adiposity index increases the risk of stroke in Chinese patients with metabolic syndrome[J]. Front Endocrinol (Lausanne), 2023, 14: 1218905. DOI: 10.3389/fendo.2023.1218905.

[14]
WAN H, WANG Y, XIANG Q, et al. Associations between abdominal obesity indices and diabetic complications: Chinese visceral adiposity index and neck circumference[J]. Cardiovasc Diabetol, 2020, 19(1): 118. DOI: 10.1186/s12933-020-01095-4.

PMID

[15]
TANG M, WEI X H, CAO H, et al. Association between Chinese visceral adiposity index and metabolic-associated fatty liver disease in Chinese adults with type 2 diabetes mellitus[J]. Front Endocrinol (Lausanne), 2022, 13: 935980. DOI: 10.3389/fendo.2022.935980.

[16]
CHENG M C F, MURPHY P B, LEE K, et al. Screening and treatment of pre-bariatric surgical patients with obesity related sleep disordered breathing[J]. J Thorac Dis, 2023, 15(7): 4066-4073. DOI: 10.21037/jtd-23-112.

PMID

[17]
LLOYD R. Update to quality measures for the care of adult patients with obstructive sleep apnea[J]. J Clin Sleep Med, 2025, 21(3): 611. DOI: 10.5664/jcsm.11514.

PMID

[18]
MARTINEZ-GARCIA M A, SÁNCHEZ-DE-LA-TORRE M, WHITE D P, et al. Hypoxic burden in obstructive sleep apnea: present and future[J]. Arch Bronconeumol, 2023, 59(1): 36-43. DOI: 10.1016/j.arbres.2022.08.005.

[19]
BRODIE K D, GOLDBERG A N. Obstructive sleep apnea[J]. Med Clin N Am, 2021, 105(5): 885-900. DOI: 10.1016/j.mcna.2021.05.010.

[20]
RAJACHANDRAN M, NICKEL N, LANGE R A. Sleep apnea and cardiovascular risk[J]. Curr Opin Cardiol, 2023, 38(5): 456-461. DOI: 10.1097/hco.0000000000001065.

[21]
FABOZZI A, PASQUALOTTO F, LAGUARDIA M, et al. Gender differences in obstructive sleep apnea syndrome: a pilot study[J]. Sleep Breath, 2024, 28(4): 1645-1650. DOI: 10.1007/s11325-024-03052-x.

PMID

[22]
PETERSEIM C M, JABBOUR K, KAMATH MULKI A. Metabolic syndrome: an updated review on diagnosis and treatment for primary care clinicians[J]. J Prim Care Community Health, 2024, 15: 21501319241309168. DOI: 10.1177/21501319241309168.

[23]
WANG X, HUANG X, XING Y, et al. Association between obstructive sleep apnea hypopnea syndrome and arteriosclerosis in patients with type 2 diabetes mellitus: mediating effect of blood pressure[J]. Front Endocrinol (Lausanne), 2025, 16: 1510737. DOI: 10.3389/fendo.2025.1510737.

[24]
王凯阳, 刘凤双, 刘永国, 等. 代谢综合征及各组分与急性心肌梗死患者冠状动脉病变程度及临床结局的相关性研究[J]. 中华全科医学, 2024, 22(2):212-216.DOI:10.16766/j.cnki.issn.1674-4152.003368.

WANG K Y, LIU F S, LIU Y G, et al. The correlation between metabolic syndrome and its components with the degree of coronary artery stenosis and clinical outcomes in patients with acute myocardial infarction[J]. Chin J Gen Pract, 2024, 22(2): 212-216. DOI: 10.16766/j.cnki.issn.1674-4152.003368.

[25]
KIM J E, KIM J S, JO M J, et al. The roles and associated mechanisms of adipokines in development of metabolic syndrome[J]. Molecules, 2022, 27(2): 334. DOI: 10.3390/molecules27020334.

[26]
MING X, YANG M, CHEN X. Metabolic bariatric surgery as a treatment for obstructive sleep apnea hypopnea syndrome: review of the literature and potential mechanisms[J]. Surg Obes Relat Dis, 2021, 17(1): 215-220. DOI: 10.1016/j.soard.2020.09.019.

PMID

[27]
BJORK S, JAIN D, MARLIERE M H, et al. Obstructive sleep apnea, obesity hypoventilation syndrome, and pulmonary hypertension: a state-of-the-art review[J]. Sleep Med Clin, 2024, 19(2): 307-325. DOI: 10.1016/j.jsmc.2024.02.009.

PMID

[28]
ALKHULAIFI F, DARKOH C. Meal timing, meal frequency and metabolic syndrome[J]. Nutrients, 2022, 14(9): 1719. DOI: 10.3390/nu14091719.

[29]
READ N, JENNINGS C, HARE A. Obstructive sleep apnoea-hypopnoea syndrome[J]. Emerg Top Life Sci, 2023, 7(5): 467-476. DOI: 10.1042/ETLS20180939.

PMID

[30]
FAN X, ZHONG Y, LI J Q, et al. The interaction of severe obstructive sleep apnea hypopnea syndrome and abdominal obesity on cognitive function[J]. J Integr Neurosci, 2022, 21(3): 85. DOI: 10.31083/j.jin2103085.

PMID

[31]
SCHRADER L A, RONNEKLEIV-KELLY S M, HOGENESCH J B, et al. Circadian disruption, clock genes, and metabolic health[J]. J Clin Invest, 2024, 134(14): e170998. DOI: 10.1172/JCI170998.

[32]
D’ANGELO G F, DE MELLO A A F, SCHORR F, et al. Muscle and visceral fat infiltration: a potential mechanism to explain the worsening of obstructive sleep apnea with age[J]. Sleep Med, 2023, 104: 42-48. DOI: 10.1016/j.sleep.2023.02.011.

PMID

[33]
GANG C, CHEN C. Age at diagnosis of obstructive sleep apnea and subsequent risk of dementia[J]. J Psychiatr Res, 2025, 184: 170-175. DOI: 10.1016/j.jpsychires.2024.05.040.

Outlines

/