非酒精性脂肪性肝病(NAFLD) 是一种无过量饮酒史,以弥漫性肝细胞脂肪变性和脂肪贮积为特征的临床病理综合征。近年来随着经济的发展和人们生活习惯的改变,我国的NAFLD发病率呈逐年上升的趋势。学者普遍认为该病是代谢综合征累及肝脏的表现,其中心环节是中心性肥胖。颈围是近年来研究较多的人体测量学指标,据研究颈围与BMI、腰围、腰臀比、血脂、血压及糖代谢异常相关,是独立预测代谢综合征和中心性肥胖的简单工具。但颈围与NAFLD的关系却鲜见报道。因此本研究旨在探讨颈围与NAFLD发病的相关性、评价颈围对NAFLD的预测界值点,为NAFLD早期预测和预防提供科学依据。
对象与方法 一、 研究对象选择2014年4月至2015年3月到深圳市罗湖区人民医院体检科进行健康体检的人群5 005例。按NAFLD诊断标准排除535人,共有4 470人纳入本研究。其中,男1 664人(37.23%),女2 806人(62.77%),男女之比为0.59:1,年龄(40.54±11.50) 岁。所有研究对象均在调查前签署知情同意书。
二、 方法 1. 问卷调查问卷内容包括出生年月、性别、学历、职业、吸烟情况、饮酒情况、体力活动、疾病史。以自行设计的调查表进行一对一的调查,所有问卷均由体检者填写,由经过培训的医务人员统一指导,并向其说明调查的目的、内容和填写方法。
2. 人体测量学指标测量及标准颈围测量:调查对象清醒垂直端坐位,平视前方,平静呼吸,紧贴其喉结下缘使用经过校正的软皮尺测量颈围周径,精确到0.1 cm。腰围测量:体检者仅穿单衣裤,解腰带,双手下垂直立,双脚分开与肩同宽,平静呼吸,用软皮尺测量以肋骨下缘和髂前上嵴连线中点的水平位置最小周径,软皮尺紧贴但不压迫皮肤,精确到0.1 cm。臀围测量:取臀部最大周径(即股骨大粗隆的水平位置),精确到0.1 cm。身高和体质量的测量:采用全自动档光电体检机SK-TJ2通过接触式测量身高,精密传感器测量体质量,体检者排空膀胱,脱鞋,摘帽,只穿单衣,直立于测量仪上,双眼平视前方,身高测量精确到0.5 cm,体质量测量精确到0.1 kg。以上测量指标重复测量2次,取其平均值用于统计分析,并计算体质指数和腰臀比。BMI按公式BMI=体质量(kg)/[身高(m)]2计算。腰臀比=腰围(cm)/臀围(cm) 计算。
消瘦为BMI < 18.5 kg/m2,正常为18.5 kg/m2≤BMI < 24.0 kg/m2,超重为24.0 kg/m2≤BMI < 28.0 kg/m2,肥胖为BMI≥28.0 kg/m2。腰围男性>90 cm,女性>80 cm为肥胖。腰臀比男性>0.9,女性>0.8为中心性肥胖。颈围男性 < 38 cm,女性 < 33.3 cm为正常颈围组,男性≥38 cm,女性≥33.3 cm为高颈围组[1]。NAFLD的诊断标准参照《NAFLD诊疗指南(2010年修订版)》[2]。
三、 统计学处理采用SPSS 20.0统计软件处理数据,正态分布的计量资料以x±s表示,计数资料用率表示,组间比较采用χ2检验或Fisher确切概率法;NAFLD患病与非患病为因变量,性别、年龄、腰围、颈围、BMI、腰臀比为自变量分别进行Logistic回归分析,取有统计学意义的变量作多因素Logistic回归分析;采用ROC曲线及约登指数评价颈围对NAFLD诊断界值点。P < 0.05为差异有统计学意义。
结果 一、 不同人体测量学指标人群NAFLD检出情况体检人群中肥胖者NAFLD检出率最高,为80.34%,其次为超重者,检出率46.07%。腰围高于标准者NAFLD检出率高于腰围正常者。中心性肥胖NAFLD检出率为36.36%,与腰臀比正常者相比较高。颈围正常组的NAFLD检出率为10.51%,高颈围组的NAFLD检出率为53.16%,高于正常颈围组,2组比较差异有统计学意义(P < 0.001),见表 1。
| 表 1 体检人群不同人体测量指标分组NAFLD检出率 |
男性和女性中肥胖者NAFLD检出率均较高,分别为85.48%和71.56%。男性超重、肥胖检出率高于女性(P < 0.001)。男性中心性肥胖NAFLD检出率为63.76%,女性中心性肥胖者NAFLD检出率为24.36%,均高于腰臀比正常者,不同性别比较,中心性肥胖男性NAFLD检出率均高于女性(P < 0.001)。
男、女性高颈围NAFLD检出率均高于颈围正常者。不同性别比较,高颈围组男性NAFLD检出率高于女性(P < 0.001),见表 2。
| 表 2 体检人群不同性别人体测量指标分组NAFLD检出率 |
性别、年龄、腰围、颈围、BMI、腰臀比均与NAFLD相关(均P < 0.001),见表 3。
| 表 3 NAFLD单因素分析 |
性别、腰围、颈围、BMI、腰臀比均与NAFLD相关,见表 4。
| 表 4 NAFLD多因素分析 |
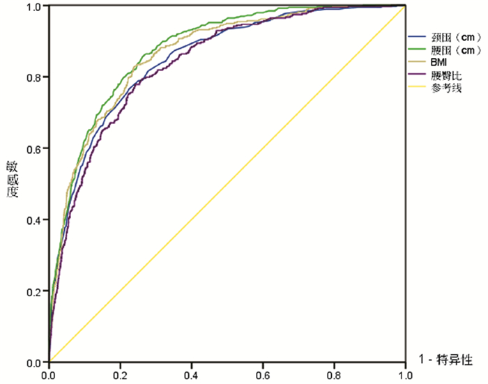
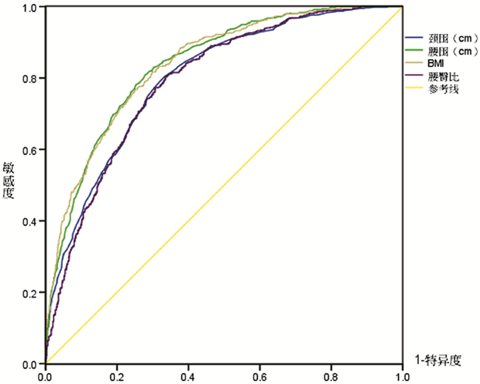
男性颈围预测NAFLD的ROC曲线下面积为0.78,其界值点为38.05 cm,女性颈围预测NAFLD的ROC曲线下面积为0.85,其界值点为32.65 cm。男性BMI曲线下面积为0.82,最佳界值点为24.55 kg/m2;腰臀比曲线下面积0.78,最佳界值点为0.89。女性BMI曲线下面积为0.86,最佳界值点为23.17 kg/m2;腰臀比曲线下面积0.83,最佳界值点为0.83,见图 1、2。
|
图 1 体检人群女性人体测量指标筛检NAFLD的ROC曲线 |
|
图 2 体检人群男性人体测量指标筛检NAFLD的ROC曲线 |
NAFLD危险因素结果显示,超重/肥胖可以增加NAFLD患病的风险,这与国内外的相关研究一致[3-7]。本研究结果显示肥胖者患NAFLD的风险增加8.141倍,向国卿等[8]的研究结果为9.1倍。另外,本研究结果中,颈围、腰围、腰臀比等均是NAFLD患病的影响因素,与束龙、荆雪[9-10]研究结果一致。
调整各相关因素后,颈围、BMI、腰围、腰臀比与NAFLD之间的联系仍然相关,均是NAFLD影响因素,提示中心性肥胖、颈围增大更容易发生NAFLD。先前已有研究证实,腹部脂肪组织可作为肝内脂肪含量的重要预测因子,腹部脂肪的堆积仍然会促进NAFLD的发生及发展[11]。故在临床上,使用腰围、颈围、腰臀比及BMI作可以更好地对NAFLD进行危险预测、筛查和随访。《非酒精性脂肪性肝病诊疗指南(2010修订版)》指出:脂肪肝的基础治疗为制定合理的能量摄入以及纠正不良生活方式和行为,以改变生活方式控制体质量的方法达到减少腰围的效果[1]。
体质量、腰围易受到进餐等因素的影响,因此补充颈围作为一个简便可行、结果稳定的评价指标[12-13]。结合本研究中NAFLD的危险因素分析,颈围、BMI、腰围和腰臀比是NAFLD患病的影响因素,因此,将颈围、BMI、腰围和腰臀比作为测量指标筛检NAFLD。
本研究结果显示,男性颈围曲线下面积为0.78,最佳界值点为38.05 cm,约登指数为0.415;女性颈围曲线下面积为0.85,最佳界值点为32.65 cm,约登指数为0.528。显示出颈围对NAFLD具备预测和诊断能力。
本研究中腰围、BMI和腰臀比的测量结果也稳定可靠。男性腰围曲线下面积0.82,最佳界值点为88.05 cm,约登指数为0.497;男性BMI曲线下面积为0.82,最佳界值点为24.55 kg/m2,约登指数为0.486;腰臀比曲线下面积0.78,最佳界值点为0.89,约登指数为0.435。女性腰围曲线下面积0.88,最佳界值点为80.25 cm,约登指数为0.587;BMI曲线下面积为0.86,最佳界值点为23.17 kg/m2,约登指数为0.579;腰臀比曲线下面积0.83,最佳界值点为0.83,约登指数为0.519。与陈方烨等[14]研究BMI诊断脂肪肝的临界值为23.9 kg/m2相近。
由男性人体测量学指标筛检NAFLD的ROC曲线下面积及约登指数可知,腰围、BMI和腰臀比的预测价值优于颈围。由女性人体测量学指标筛检NAFLD的ROC曲线下面积及约登指数可知,颈围预测价值优于腰臀比,腰围和BMI预测价值优于颈围。
因此,在以腰围、BMI、腰臀比作为评价指标的同时,颈围测量也可作为很好的补充,对临床诊疗工作及社区人群NAFLD的早期筛查具有重要意义。本研究结果显示男性和女性颈围筛检NAFLD最佳界值点分别为38.05 cm和32.65 cm,与袁明霞等[15]研究结果男性和女性颈围诊断中心性肥胖最佳界值点分别38.5 cm和34.5 cm相近,也与朱明范等[16]的研究结果男性颈围>36. 8 cm或女性颈围>33.1 cm时可以预测中心性肥胖相近。中心性肥胖是NAFLD的独立危险因素,因此颈围作为筛检NAFLD的补充指标具有临床意义。
| [1] | 朱明范.颈围与代谢综合征及其组分的相关关系研究.中山大学, 2010:42. |
| [2] | 中华医学会肝脏病学分会脂肪肝和酒精性肝病学组. 非酒精性脂肪性肝病诊疗指南(2010年修订版)[J]. 胃肠病学和肝病学杂志, 2010, 19 (6): 483-487. |
| [3] | Farrell GC, Larter CZ. Nonalcoholic fatty liver disease: from steatosis to cirrhosis[J]. Hepatology, 2006, 43 (2 Suppl 1): S99-S112. |
| [4] | 马金香, 陈平雁, 周永健, 聂玉强, 石胜利, 李瑜元. 广东省脂肪肝危险因素1:1配对病例对照研究[J]. 现代预防医学, 2008, 35 (4): 648-650. |
| [5] | 颜红梅, 高鑫, 刘象, 顾迁, 张斌, 李湘, 高键, 赵耐青. 非酒精性脂肪肝与代谢综合征关系的研究[J]. 中国糖尿病杂志, 2006, 14 (5): 326-328. |
| [6] | Lazo M, Hernaez R, Eberhardt MS, Bonekamp S, Kamel I, Guallar E, Koteish A, Brancati FL, Clark JM. Prevalence of nonalcoholic fatty liver disease in the United States: the Third National Health and Nutrition Examination Survey, 1988-1994[J]. Am J Epidemiol, 2013, 178 (1): 38-45. DOI: 10.1093/aje/kws448. |
| [7] | Holterman AX, Guzman G, Fantuzzi G, Wang H, Aigner K, Browne A, Holterman M. Nonalcoholic fatty liver disease in severely obese adolescent and adult patients[J]. Obesity (Silver Spring), 2013, 21 (3): 591-597. DOI: 10.1002/oby.20174. |
| [8] | 向国卿, 孟宪云, 张浩, 台文霞, 孟晓丹, 王炳元. 脂肪肝相关危险因素的评估[J]. 世界华人消化杂志, 2009, 17 (10): 1038-1041. |
| [9] | 束龙.合肥市45-60岁人群膳食与非酒精性脂肪肝的关联研究.安徽医科大学, 2014: 94. |
| [10] | 荆雪. 203例非酒精性脂肪性肝病临床特点分析.吉林大学, 2007: 59. |
| [11] | 魏双琴, 韩树堂. 非酒精性脂肪性肝病患者腰臀比测量的意义[J]. 医学研究生学报, 2006, 19 (1): 51-53. |
| [12] | Lakso M, Mattilainen V, Keinänen-Kiukaanniemi S. Association of neck circumference with insulin-related factors[J]. Int J Obes Relat Metab Disord, 2002, 26 (6): 873-875. DOI: 10.1038/sj.ijo.0802002. |
| [13] | Onat A, Avel GS, Barlan MM, Uyarel H, Uzunlar B, Sansoy V. Measures of abdominal obesity assessed for visceral adiposity and relation to coronary risk[J]. Int J Obes Relat Metab Disord, 2004, 28 (8): 1018-1025. DOI: 10.1038/sj.ijo.0802695. |
| [14] | 陈方烨, 陈卫星, 虞朝辉. ROC曲线评价脂肪肝危险因素的临床意义[J]. 临床内科杂志, 2007, 24 (10): 705-706. |
| [15] | 袁明霞, 袁申元, 傅汉菁, 万钢, 朱良湘, 潘素芳. 北京社区2型糖尿病患者颈围与中心性肥胖及代谢综合征的相关性[J]. 中华老年心脑血管病杂志, 2010, 12 (12): 1059-1061. |
| [16] | 朱明范, 陈慧, 王妍, 吴丽萍, 许仰, 曾讯, 朱惠莲. 体检人群颈围与中心性肥胖的关联性研究[J]. 中国慢性病预防与控制, 2011, 19 (5): 445-451. |

