近年来,过敏性疾病发生率在世界各地逐年上升,该类疾病已经被WHO列为世纪重点防治的疾病之一,严重影响患者的生活质量甚至危及其生命[1-2]。美国、加拿大等地区的相关研究结果显示,婴幼儿各类过敏性疾病总患病率基本处于30%~50%,我国的过敏性疾病流行病学调查显示我国婴幼儿过敏性疾病发病率在逐渐接近发达国家[3-4]。防治过敏性疾病的关键在于发现过敏原并有效避免与之接触[5]。鉴于此,寻找过敏原及其分布规律并进行有效规避,对控制儿童过敏性疾病的发作至关重要。儿童过敏性疾病的过敏原种类常常发生改变,分布情况也在不断变化,这对儿童过敏性疾病的有效防治造成了影响。佛山地处南亚地区,属南亚热带典型的季风海洋气候,温暖潮湿,多种过敏原如屋尘螨等容易滋生,可诱发多种儿童过敏性疾病[6]。因此,笔者回顾性分析了佛山地区2013至2016年过敏性疾病儿童过敏原的分布情况及规律,为本地区儿童过敏性疾病的防治提供参考依据。
对象与方法 一、研究对象2013年1月至2016年12月在佛山市第一人民医院儿科及耳鼻喉科门诊就诊或住院部收治的0~14岁过敏性疾病的患儿共7 157例,患儿(新生儿父母)均长年居住于佛山,其中男4 548例、女2 609例,过敏性咳嗽2 810例[病程(1.3±0.7) 年]、特异性皮炎1 562例[病程(1.2±0.5) 年]、支气管哮喘1 480例[病程(2.6±1.5) 年]、过敏性鼻炎1 305例[病程(2.5±1.3) 年]。按儿童不同发育阶段分为婴幼儿组(0~2.9岁)2 591例,学龄前期组(3~5.9岁)3 541例,学龄组(6~14岁)1 025例。按发病季节分为春季(3~5月)1 574例,夏季(6~8月)2 090例,秋季(9~11月)2 000例,冬季(12月~次年2月)1 493例[7]。
二、研究方法采用免疫印迹法对过敏原作检测, 所用试剂盒为德国MEDIWISS Analytic Gmbh生产的Allergy Screen过敏原诊断试剂盒。检验项目包括:吸入性过敏原10种(屋尘螨、蟑螂、屋尘、桑树、猫毛皮屑、狗毛皮屑、柏/榆/柳/桦/栎/枫/胡桃/梧桐/杨、矮豚草蒿、点青/分枝/烟曲/黑曲、苋),食入性过敏原9种(牛奶、芒果、鸡蛋白、牛肉、腰果、虾、贝、蟹、菠萝)。取患儿静脉血2 ml,2 000 rpm离心7 min分离血清,取上层血清250 μl置测试板行振荡反应45 min,清洗后加入生物素标记抗人IgE抗体反应45 min,清洗后加入碱性磷酸酶标记链霉亲和素反应20 min,清洗后再加入显色底物反应20 min,清洗后待完全干燥,用阅读仪读取分析结果。检测结果由低至高依次分为0级(<0.34 KU/L)、1级(0.35~0.69 KU/L)、2级(0.7~3.49 KU/L)、3级(3.5~17.49 KU/L)、4级(17.5~49.9 KU/L)、5级(50~100 KU/L)、6级(>100 KU/L),1级及以上的标本定义为阳性。
三、统计学处理使用SPSS 22.0进行数据分析,定量变量使用x±s的形式表示,分类变量使用百分比的形式表示。分别统计19种过敏原特异性IgE的阳性率,根据不同年龄、季节等分组,采用χ2检验分析组间过敏原阳性率的差异,P < 0.05为差异有统计学意义。不同分组内的两两比较用Bonferroni法校正检验水准,其中不同年龄组内两两比较时P < 0.017为差异有统计学意义,不同季节组内两两比较时P < 0.008为差异有统计学意义。
结果 一、过敏性疾病患儿过敏原分布情况7 157例患儿中过敏原特异性IgE 1项或1项以上阳性共4 666例(65.19%),男性阳性率为65.67%(2 987/4 548),女性为64.35%(1 679/2 609),性别间差异无统计学意义(P>0.05)。吸入性过敏原阳性率前3位分别是屋尘螨45.07%(2 103例)、狗毛皮屑29%(1 353例)、猫毛皮屑23.94%(1 117例),见图 1。食入性过敏原阳性率前3位分别是牛奶44.51%(2 077例)、鸡蛋白14.81%(691例)、腰果13.89%(648例),见图 2。
|
图 1 佛山地区过敏性疾病患儿吸入性过敏原分布情况 |
|
图 2 佛山地区过敏性疾病患儿食入性过敏原分布情况 |
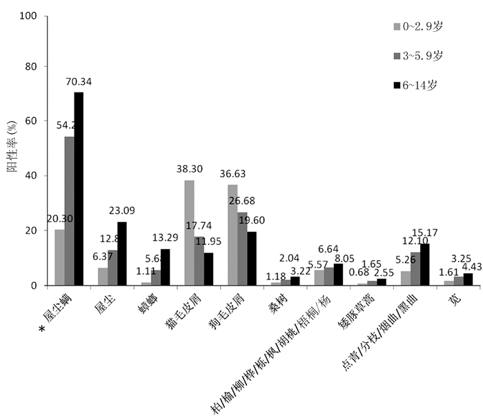
不同年龄段之间过敏原分布存在差异,婴幼儿组吸入性过敏原阳性率前3位分别为猫毛皮屑38.30%(619例),狗毛皮屑36.63%(592例)、屋尘螨20.30%(328例);食入性过敏原阳性率前3位分别为牛奶61.51%(994例)、鸡蛋白19.49%(315例)、腰果11.08%(179例)。学龄前期组吸入性过敏原阳性率前3位分别为屋尘螨54.27%(1 251例)、狗毛皮屑26.68%(615例)、猫毛皮屑17.74%(409例);食入性过敏原阳性率前3位分别为牛奶40.39%(931例)、腰果16.75%(386例)、鸡蛋白14.79%(341例)。学龄组吸入性过敏原阳性率前3位分别为屋尘螨70.34%(524例)、屋尘23.09%(172例)、狗毛皮屑19.60%(146例);食入性过敏原阳性率前3位分别为牛奶20.40%(152例)、蟹11.54%(86例)、腰果11.14%(83例)。屋尘螨的阳性率随年龄增长逐渐上升, 牛奶的阳性率随年龄增长逐渐下降(3个年龄段内组间两两比较P均<0.017)。其余各吸入性过敏原在各年龄组间阳性率比较差异无统计学意义(P均>0.05),见图 3、4。
|
图 3 佛山地区过敏性疾病患儿不同年龄组吸入性过敏原的分布情况 *为χ2=455.924,P < 0.001 |
|
图 4 佛山地区过敏性疾病患儿不同年龄组食入性过敏原的分布情况 *为χ2=380.219,P < 0.001 |
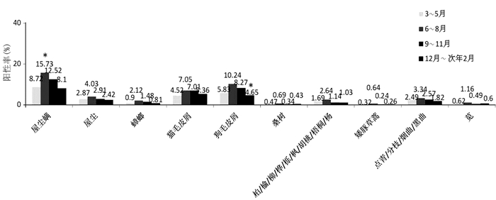
4 666例过敏原特异性IgE阳性的患儿中,不同季节的分布情况如下:春季20.70%(966例),夏季30.56%(1 426例),秋季27.88%(1 301例),冬季20.86%(973例)。夏季屋尘螨的阳性率(15.73%)较其他3个季节高(其余3个季节分别为8.72%、12.52%、8.10%),比较差异均有统计学意义(P均<0.008)。冬季狗毛皮屑的阳性率(4.65%)较其他3个季节低(其余3个季节分别为5.83%、10.24%、8.27%),比较差异均有统计学意义(P均<0.008)。其余各种过敏原的阳性率在4个季节中无明显差异(P均>0.05),见图 5、6。
|
图 5 佛山地区过敏性疾病患儿不同季节吸入性过敏原分布情况 与其余3个季节比较,*为P<0.008 |
|
图 6 佛山地区过敏性疾病患儿不同季节食入性过敏原分布情况 |
世界变态反应组织公布的30个国家过敏性疾病流行病学调查报告指出,被调查的12亿人口中,有2.5亿人患有过敏性疾病[8]。在过去的20年,亚洲地区过敏性疾病,包括变应性皮炎、过敏性鼻炎及哮喘的发病率大幅上升,已成为日益严重的公共卫生问题[9]。过敏原检测是过敏性疾病病因学诊断的重要依据之一,本研究采用的Allergy Screen检测法操作简单、可同时对多种变应原特异性IgE进行筛查检测,其与皮肤点刺试验有较好的一致性,特异度较高,避免了传统体内试验受药物影响大、敏感度过高导致的假阳性高、发生局部或全身反应等缺点[10]。在本研究中,我们对7 157例过敏性疾病的患儿进行过敏原筛查,性别间过敏原特异性IgE阳性率比较差异无统计学意义,与其他城市的相关报道相近[11]。总体的过敏原特异性IgE阳性率为65.19%,与其他高度工业化的城市相似,提示佛山地区过敏性疾病已成为影响儿童健康的重要疾病[12]。
在过敏原特异性IgE阳性的患儿中,吸入性过敏原前3位分别是屋尘螨、狗毛皮屑、猫毛皮屑,屋尘螨和屋尘的阳性率较广州地区报道的68.13%及49.03%低,而猫毛皮屑和狗毛皮屑的阳性率则与广州地区相似,宠物皮毛已成为诱发诸如哮喘等过敏性疾病的较常见的原因[13]。另一方面,本研究结果显示,牛奶、鸡蛋白、腰果是佛山地区儿童最常见的食入性过敏原。黄惠敏等[14]报道,广州地区食入性过敏原主要为牛奶、蛋清、蟹等,而成都地区食入性过敏原以鸡蛋白为主,其次为花生和蟹类[15]。上述结果提示在不同地区,食入性过敏原的阳性率和种类会有一定差异,这可能与人们的饮食习惯有关。
本研究结果还显示,过敏原特异性IgE阳性率在不同年龄组间也存在差异,吸入性过敏原中的屋尘螨的阳性率随年龄的增长逐渐升高,趋势与其他研究者报道的结果相仿,但猫毛皮屑与狗毛皮屑的阳性率随年龄增长而下降,与其他研究者的结果相反[16]。在食入性过敏原中,牛奶的阳性率随年龄的增长逐渐下降,特别是婴幼儿组,牛奶特异性IgE阳性率显著高于其他组,这种现象可能与婴幼儿免疫系统不完善、易受外界因素的侵扰有关,牛奶中含有大量的异体蛋白,摄入后透过肠壁易使其成为过敏体质,且婴幼儿肠道黏膜易被破坏,肠细胞脱落增加,导致细胞间隔增大,肠道通透性增加,使其更容易受到食入性过敏原的侵扰。随着年龄增长,人类食物结构发生变化,食物种类不断增加,可能导致牛奶过敏原阳性率有所下降。Alduraywish等[17]的研究显示牛奶致敏在1岁和12岁达到高峰,在本研究中,我们暂未发现牛奶过敏原过敏的双峰性,提示不同国情和生活习惯与过敏原分布有一定关系。
吸入性过敏原中屋尘螨的阳性率在夏季最高,可能与屋尘螨繁殖的条件有关,尘螨最适合的生长温度为25~30℃,相对湿度75%~80%。佛山地处亚热带季风气候地区,夏天炎热,雨水多,为屋尘螨繁殖提供了合适的温度和湿度。练玉银等于2007年报道,空调滤网灰尘也是尘螨喜好的栖居场所之一,其可随空调送风过程进入室内。人们在夏季比较喜欢在空调环境下生活和工作,接触尘螨机会可能更大。狗毛皮屑阳性率在冬季最低,这可能与冬季狗只减少户外活动和狗毛脱落较少有关。
综上所述,本研究结果表明,佛山地区过敏性疾病患儿常见的吸入性过敏原为屋尘螨、狗毛皮屑、猫毛皮屑,常见的食入性过敏原为牛奶、鸡蛋白和腰果。屋尘螨和牛奶过敏原的阳性率显示出与年龄相关的特点,部分吸入性过敏原的分布与季节相关。本研究结果在一定程度上反映了佛山地区儿童的过敏原分布特征,可为佛山地区过敏性疾病的防治提供依据。
| [1] |
陈迪, 吴舜. 两广交界地区过敏原皮肤点刺试验1 088例结果分析[J]. 新医学, 2013, 44(6): 385-388. |
| [2] |
Simons FE, Ardusso LR, Dimov V, Ebisawa M, El-Gamal YM, Lockey RF, Sanchez-Borges M, Senna GE, Sheikh A, Thong BY, Worm M. World Allergy Organization Anaphylaxis Guidelines: 2013 update of the evidence base[J]. Int Arch Allergy Immunol, 2013, 162(3): 193-204. DOI:10.1159/000354543 |
| [3] |
Ho MH, Lee SL, Wong WH, Ip P, Lau YL. Prevalence of self-reported food allergy in Hong Kong children and teens--a population survey[J]. Asian Pac J Allergy Immunol, 2012, 30(4): 275-284. |
| [4] |
王硕, 蒋竞雄, 王燕, 王姿欢, 王婷, 王惠珊. 城市0~24月龄婴幼儿过敏性疾病症状流行病学调查[J]. 中国儿童保健杂志, 2016, 24(2): 119-122. DOI:10.11852/zgetbjzz2016-24-02-03 |
| [5] |
林建生. 350例过敏性疾病儿童过敏原分析[J]. 检验医学与临床, 2013, 10(4): 435-436, 438. |
| [6] |
郑佩燕, 简幸仪, 黄惠敏, 罗文婷, 韦妮莉, 孙宝清. 广州地区过敏疾病患者15种常见过敏原分布规律分析[J]. 贵阳医学院学报, 2015, 40(11): 1197-1201. |
| [7] |
文若愚. 地理常识全知道[M]. 北京: 北京联合出版公司, 2017, 6.
|
| [8] |
朱双桂, 陈强. Il-17与过敏性疾病[J]. 中华临床医师杂志(电子版), 2011, 5(7): 2032-2035. |
| [9] |
Tham EH, Lee AJ, Bever HV. Aeroallergen sensitization and allergic disease phenotypes in Asia[J]. Asian Pac J Allergy Immunol, 2016, 34(3): 181-189. |
| [10] |
姜晓丹, 李光宇, 沙骥超, 朱学伟, 孟粹达, 董震, 朱冬冬. 变应性鼻炎两种血清学特异性IgE检测与皮肤点刺试验的相关性研究[J]. 中华耳鼻咽喉头颈外科杂志, 2010, 45(8): 652-655. |
| [11] |
陈薇. 郴州地区3 803例儿童过敏性疾病常见过敏原检测分析. 南华大学, 2016. http://cdmd.cnki.com.cn/Article/CDMD-10555-1016316537.htm
|
| [12] |
曾晓辰, 岳玉林. 苏皖地区呼吸系统疾病儿童过敏原体外检测简析[J]. 东南大学学报(医学版), 2016, 35(6): 969-972. |
| [13] |
皮蕾, 刘海英, 刘云锋, 关启鸿, 张白杜, 郭彩娇, 曾华松. 广州地区1 136例过敏患儿常见过敏原分布及尘螨交叉反应分析[J]. 临床儿科杂志, 2011, 29(1): 51-54. |
| [14] |
黄惠敏, 韦妮莉, 罗文婷, 郑佩燕, 孙宝清. 常见食物过敏原sIgE检测分析[J]. 中华检验医学杂志, 2013, 36: 912-915. DOI:10.3760/cma.j.issn.1009-9158.2013.10.013 |
| [15] |
许健, 陈莉农, 黄成, 郭奇. 成都地区过敏性疾病儿童过敏原种类分布及流行特征调查[J]. 重庆医学, 2015, 44(8): 3992-3994. |
| [16] |
Su YT, Yang YN, Li YC, Tsai CC, Chen LM, Lin YC, Niu CK, Tsai YC. Age-dependent distribution of the atopic phenotype and allergen sensitization among asthmatic children in southern Taiwan[J]. Asian Pac J Allergy Immunol, 2016, 34(3): 206-211. |
| [17] |
Alduraywish SA, Lodge CJ, Vicendese D, Lowe AJ, Erbas B, Matheson MC, Hopper J, Hill DJ, Axelrad C, Abramson MJ, Allen KJ, Dharmage SC. Sensitization to milk, egg and peanut from birth to 18 years: a longitudinal study of a cohort at risk of allergic disease[J]. Pediatr Allergy Immunol, 2016, 27(1): 83-91. DOI:10.1111/pai.2016.27.issue-1 |

