川崎病为累及冠状动脉的全身中小血管炎症,多发于儿童时期[1]。多项研究显示,川崎病易引起冠状动脉损伤,造成冠状动脉扩张及血栓形成,治疗不及时可能并发冠状动脉瘤,危及患者生命[2-3]。川崎病的临床治疗以阿司匹林联合丙种球蛋白为主。但有资料显示,单用阿司匹林抗血小板聚集的效果欠佳,仍有部分川崎病患者出现冠状动脉血栓导致急性冠状动脉狭窄与心肌梗死[4]。氯吡格雷是口服抗血小板聚集药物,其效果已在心血管疾病中得到肯定。近年来,氯吡格雷逐渐在未成年患者中应用,成为预防小儿动脉血栓形成的新选择。有国外学者提出,双联抗血小板治疗小儿川崎病可进一步强化抗血小板聚集疗效,预防冠状动脉血栓[5]。目前,国内有关双联抗小板治疗小儿川崎病的研究较少。为此,本研究选择78例川崎病患儿分为单抗组与双抗组,探讨2种治疗方案对小儿川崎病的近、远期疗效及作用机制,现报告如下。
对象与方法 一、研究对象2012年1月~2013年10月在我院诊治的川崎病患儿中,按以下标准选择研究对象:①年龄2~12岁;②符合文献[6]的川崎病诊断标准;③血小板升高(>400×109/L);④同意定期随访。排除伴冠状动脉病变或合并心肌缺血者。研究共纳入78例川崎病患儿,根据患儿就诊顺序进行编号,奇数号纳入A组、偶数号纳入B组,每组各39例患儿。A组中,男25例、女14例,年龄2~10岁、中位年龄4岁,发热时间6~16 d、中位发热时间11 d,病程6~18 d、中位病程11 d。B组中,男28例、女11例,年龄2~9岁、中位年龄4岁,发热时间7~16 d、中位发热时间11 d,病程7~18 d、中位病程11 d。2组患儿的基线资料比较差异均无统计学意义(P均>0.05)。本研究已获得医院医学伦理委员会批准,患儿家属均对研究知情并签署知情同意书。
二、方法2组患儿均在确诊川崎病后的急性期予口服阿司匹林30~50 mg/(kg·d)及静脉注射丙种球蛋白2 g/kg控制炎症,同时给予对症支持治疗。退热48~72 h后,2组均予以规范抗凝治疗。其中A组采用阿司匹林联合氯吡格雷,B组单用阿司匹林。其中阿司匹林剂量为3~5 mg/(kg·d),口服,每日1次;氯吡格雷剂量为1 mg/kg,口服,每日1次。2组出院后均连续用药3个月至1年。如患儿川崎病症状消失且ESR恢复至正常范围后继续用药8周可予停药。治疗期间观察2组患儿的药物相关不良反应发生情况,并予对症处理。
三、观察内容 1. 近期疗效及作用机制分别于治疗前及抗血小板治疗2周后的清晨采集患儿外周静脉血8 ml,取其中3 ml分离血清,采用ELISA检测。余5 ml外周静脉血以密度梯度离心法分离外周血单个核细胞(PBMC),实时定量PCR检测核因子-κB(NF-κB)p65 mRNA,操作步骤严格参照试剂盒说明书;蛋白免疫印迹法检测NF-κB p65蛋白表达;用移液枪吸取培养细胞上清液,ELISA双抗体夹心法检测上清液的MMP-9水平,步骤参照试剂盒说明书。本研究所用试剂盒均购自上海恒远生物科技有限公司。另于治疗前、抗血小板治疗1、2、4周及3个月后,清晨采集患儿末梢血1 ml,应用美国贝克曼Z2全自动血细胞分析计数仪测定血小板、平均血小板体积(MPV)、血小板体积分布宽度(PDW)。
2. 远期疗效对2组患儿进行为期3年的随访,随访起点为抗凝治疗,每3个月行1次UCG观察冠状动脉病变,病变分为:①冠状动脉血栓,即UCG示冠状动脉内膜回声增强;②冠状动脉扩张,即0~3岁患儿冠状动脉内径≥2.5 mm、4~9岁患儿冠状动脉内径≥3.0 mm、10~14岁患儿冠状动脉内径≥3.5 mm;③冠状动脉瘤,即冠状动脉内径扩张至4~7 mm,当冠状动脉扩张≥8 mm时为巨大冠状动脉瘤[7]。同时通过血栓大小、数量的改变评估抗血小板聚集疗效:①有效,指血栓缩小或数量减少或血栓消失后未再次出现;②无效,指无血栓缩小与数量减少或血栓增大、数量增加或出现新的冠状动脉血栓、狭窄、心肌梗死等不良转归[8]。比较2组患儿的抗血小板聚集有效率和冠状动脉病变发生率。
四、统计学处理应用SPSS 19.0处理研究数据。计量资料以x±s表示,组内比较采用配对t检验,组间比较采用独立样本t检验;多时点比较采用重复测量资料方差分析。计数资料以百分率表示,组间比较采用χ2检验;采用双变量的Pearson相关分析,对发生冠状动脉病变患儿赋值“1”、未发生冠状动脉病变患儿赋值“0”,分析血小板、MPV、PDW与冠状动脉病变的相关性。P<0.05为差异有统计学意义。
结果 一、2组川崎病患儿在治疗前及治疗2周后的TPO、IL-3、IL-6水平比较治疗2周后,2组患儿TPO、IL-3、IL-6水平均低于治疗前(P均<0.05);治疗前或治疗2周后的上述指标组间比较差异均无统计学意义(P均>0.05),见表 1。
| 表 1 治疗前后2组川崎病患儿的TPO、IL-3、IL-6水平变化 |
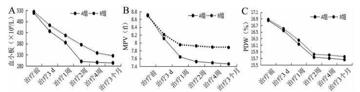
治疗前,2组患儿的血小板、MPV、PDW比较差异均无统计学意义(P>0.05);治疗3个月期间,2组患儿的血小板、MPV、PDW均逐渐降低(图 1),其中2组的血小板、MPV变化组间比较差异有统计学意义(F分别为18.354、13.187,P均<0.01),2组间PDW变化接近(P>0.05),A组治疗3个月时的血小板、MPV均低于B组(t分别为3.705、9.243,P均<0.05)。
|
图 1 治疗期间2组川崎病患儿的血小板参数变化 |
治疗2周后,2组川崎病患儿PBMC的NF-κB p65 mRNA及蛋白和MMP-9水平均低于治疗前(P均<0.05),治疗前或治疗2周后2组患儿PBMC的NF-κB p65 mRNA及蛋白、MMP-9水平组间比较差异均无统计学意义(P均>0.05),见表 2。
| 表 2 治疗前后2组川崎病患儿PBMC的NF-κB和MMP-9水平比较 |
A组患儿中,治疗6个月18例、治疗12个月21例,B组中分别为15例、24例。治疗6、12个月时,A组患儿的抗血小板聚集有效率均高于B组(P均<0.05),见表 3。
| 表 3 组川崎病患儿的抗血小板聚集疗效比较例 |
2组患儿均完成3年的随访。A组患儿出现冠状动脉病变3例,其中2例发生在随访3个月,1例为冠状动脉血栓、另1例为冠状动脉扩张;随访1年时新出现1例冠状动脉血栓,未见冠状动脉瘤与死亡病例,冠状动脉病变总发生率为8%。B组出现冠状动脉病变10例,其中随访半年内出现4例冠状动脉病变,2例为冠状动脉血栓、2例为冠状动脉扩张;随访1年时新发现3例冠状动脉扩张,随访2年时新发现2例冠状动脉扩张与1例冠状动脉瘤,随访结束时无死亡病例,冠状动脉病变总发生率为26%。A组冠状动脉病变发生率低于B组(χ2=4.523,P=0.033)。
六、抗凝治疗与冠状动脉病变的相关性分析川崎病患儿的血小板与MPV均与冠状动脉病变呈正相关(P均<0.05),即血小板与MPV值越高,冠状动脉病变风险越大。PDW与冠状动脉病变无关(P>0.05),见表 4。
| 表 4 川崎病患儿血小板参数与冠状动脉病变的相关性分析 |
A组治疗期间出现鼻衄2例,双下肢淤斑淤点2例,减少阿司匹林剂量后缓解,不良反应总发生率为10%。B组出现鼻衄2例、皮肤淤斑淤点1例,调整饮食、注意休息后缓解;血便1例,停药后缓解;呕吐1例,予以卧床休息后缓解;1例皮疹患者未予处理自行缓解,B组不良反应总发生率为15%。2组患儿的不良反应发生率比较差异无统计学意义(χ2=0.456,P=0.498)。
讨论川崎病的病因尚未明确。有动物实验显示,川崎病急性期血管炎快速进展,血管内皮细胞受损引起血小板激活,导致血小板聚集、黏附,进而损伤冠状动脉甚至引发冠状动脉病变[9]。恢复期的川崎病患儿仍面临冠状动脉进一步损害所引发的冠状动脉血栓、冠状动脉扩张等风险。
静脉注射丙种球蛋白并大剂量应用阿司匹林控制炎症是川崎病早期的主要治疗方案。近年来,后续持续抗凝治疗对预后的影响也逐渐引起重视。本研究中,A组川崎病患儿采取阿司匹林联合氯吡格雷的双抗治疗,结果显示治疗6、12个月时的抗血小板聚集有效率均高于使用阿司匹林单抗治疗的B组(90% vs. 72%,95% vs. 71%)。在血小板参数方面,2组患儿在抗血小板治疗2周后的血小板、MPV、PDW等血小板参数基本稳定,其中A组患儿的血小板、MPV均低于B组,维持在更低水平,抗凝效果更佳。史宏等[10]研究发现,血小板增多与患儿急性期TPO变化有关,可通过拮抗该因子达到抑制血小板增加、减轻冠状动脉损伤,提示急性期炎症控制是治疗的首要问题。早期应用丙种球蛋白可使急性症状得到有效控制。已有研究显示,发病10 d内予以丙种球蛋白的效果最佳[11]。氯吡格雷为口服抗血小板药,通过抑制二磷酸腺苷受体及激活相关糖蛋白复合物等途径抑制血小板凝集,在动脉血栓形成的二级预防中应用广泛,与阿司匹林联合可有效预防冠状动脉支架患者血栓形成,两者联合可强化抗血小板聚集作用,有效防止血小板聚集、黏附,避免冠状动脉损伤。
谈诚等[12]的研究显示,川崎病患儿PBMC的NF-κB和MMP-9水平急性期均偏高,至恢复期逐渐降低。本研究显示,2组治疗后2周的NF-κB mRNA及蛋白和MMP-9水平均较治疗前下降。有研究表明,NF-κB可能通过调节炎性因子等途径参与川崎病的发病[13]。另有报道显示,川崎病患儿的冠状动脉组织结构遭到破坏后出现大量炎症细胞增殖浸润,血清中MMP-9水平上调[14]。Shiotani等(2011年)指出,可将抑制NF-κB作为强化川崎病疗效的新思路,通过抑制NF-κB阻断下游炎症反应。本研究还显示,血小板和MPV与冠状动脉病变风险呈正相关,血小板聚集越严重,血小板与MPV值越大,冠状动脉病变风险越高,再次证实规范、有效的抗凝治疗是改善患儿后期冠状动脉血流、降低冠状动脉病变风险的关键。远期随访结果显示,A组随访期间的冠状动脉病变发生率仅为8%,低于B组的26%,表明双抗治疗的抗凝效果优于阿司匹林单抗,在小儿川崎病治疗中的应用更具优势。抗凝过度所引起的出血问题是川崎病治疗安全性的主要观察指标,本研究中,2组不良反应总发生率分别为10%、15%,患儿出血症状轻,安全性高。
综上所述,阿司匹林联合氯吡格雷治疗小儿川崎病可有效抑制血小板聚集,使血小板与MPV等持续维持在较低水平,降低冠状动脉病变发生风险。
| [1] |
Rowley AH, Shulman ST. Pathogenesis and management of Kawasaki disease[J]. Expert Rev Anti Infect Ther, 2010, 8(2): 197-203. DOI:10.1586/eri.09.109 |
| [2] |
Suda K. Thromboprophylaxis in patients with coronary aneurysms caused by Kawasaki disease[J]. Nihon Rinsho, 2014, 72(9): 1659-1663. |
| [3] |
Saguil A, Fargo M, Grogan S. Diagnosis and management of kawasaki disease[J]. Am Fam Physician, 2015, 91(6): 365-371. |
| [4] |
Michihata N, Matsui H, Fushimi K, Yasunaga H. Guideline-concordant treatment of kawasaki disease with immunoglobulin and aspirin and the incidence of coronary artery aneurysm[J]. Clin Pediatr(Phila), 2015, 54(11): 1076-1080. DOI:10.1177/0009922814566932 |
| [5] |
Jang GY, Kang IS, Choi JY, Bae EJ, Kim YH, Kim SH, Ma JS. Nationwide survey of coronary aneurysms with diameter >6 mm in Kawasaki disease in Korea[J]. Pediatr Int, 2015, 57(3): 367-372. DOI:10.1111/ped.12536 |
| [6] |
杜军保. 川崎病的诊断与鉴别诊断[J]. 中国实用儿科杂志, 2006, 21(10): 727-728. DOI:10.3969/j.issn.1005-2224.2006.10.003 |
| [7] |
Taniguchi K, Ono H, Sato A, Kinomoto S, Tagawa N, Umehara N, Kato H, Sago H. Strict management of a pregnant patient with giant coronary artery aneurysm due to Kawasaki disease[J]. Pediatr Int, 2015, 57(5): 990-992. DOI:10.1111/ped.12679 |
| [8] |
张清友, 简佩君, 杜军保. 风湿热、心内膜炎及川崎病委员会, 美国心脏病学会及美国儿科学会.川崎病的诊断、治疗及长期随访指南介绍[J]. 实用儿科临床杂志, 2012, 27(13): 1049-1056. DOI:10.3969/j.issn.1003-515X.2012.13.029 |
| [9] |
Portman MA, Wiener HW, Silva M, Shendre A, Shrestha S. DC-SIGN gene promoter variants and IVIG treatment response in Kawasaki disease[J]. Pediatr Rheumatol Online J, 2013, 11(1): 32. DOI:10.1186/1546-0096-11-32 |
| [10] |
史宏, 李晓辉, 周敏, 李晓静, 徐鸣, 李丹, 冉丛兰. 川崎病血小板升高与血清血小板生成素、白介素3、白介素6的关系研究[J]. 临床儿科杂志, 2009, 27(7): 649-652. |
| [11] |
Yoshimura K, Kimata T, Mine K, Uchiyama T, Tsuji S, Kaneko K. N-terminal pro-brain natriuretic peptide and risk of coronary artery lesions and resistance to intravenous immunoglobulin in Kawasaki disease[J]. J Pediatr, 2013, 162(6): 1205-1209. DOI:10.1016/j.jpeds.2012.11.026 |
| [12] |
谈诚, 韩勍, 朱纯亮, 李喆倩, 刘丽莎. 急性期川崎病患儿外周血单个核细胞NF-κB、MMP-9表达变化及意义[J]. 山东医药, 2015, 55(6): 11-13. |
| [13] |
Kobayashi T, Saji T, Otani T, Takeuchi K, Nakamura T, Arakawa H, Kato T, Hara T, Hamaoka K, Ogawa S, Miura M, Nomura Y, Fuse S, Ichida F, Seki M, Fukazawa R, Ogawa C, Furuno K, Tokunaga H, Takatsuki S, Hara S, Morikawa A; RAISE study group investigators. Efficacy of immunoglobulin plus prednisolone for prevention of coronary artery abnormalities in severe Kawasaki disease (RAISE study): a randomised, open-label, blinded-endpoints trial[J]. Lancet, 2012, 379(9826): 1613-1620. DOI:10.1016/S0140-6736(11)61930-2 |
| [14] |
汤昔康, 陈泽楷, 李汝霞, 麦友刚, 覃丽君. 川崎病合并感染时临床特征及淋巴细胞亚群、免疫球蛋白水平变化[J]. 新医学, 2015, 46(9): 608-611. |

