大肠埃希菌(E.Coli)是引起医院内感染最常见的病原菌。根据致病力的不同,E.Coli可划分为3大类:共生性、肠道内致病性及肠道外致病的E.Coli[1]。主要引起泌尿系统感染的肠道外致病E.Coli称为尿道致病性E.Coli,它具有可以躲避宿主免疫防御系统的致病因子,可以定植于泌尿系统黏膜上皮细胞,甚至侵入黏膜上皮细胞形成持留性的感染[2]。非复杂性尿路感染的菌株主要由低致病力的A群和B1群引起[3]。近年,B2群中出现了携带多种毒力因子及氟喹诺酮耐药基因和超广谱β-内酰胺酶(ESBL)基因的菌株,这引起了全球的重视[4]。
碳青霉烯类药物是对抗肠杆菌科多重耐药菌株最有效的抗菌药物,具有抗菌谱广、杀菌活性大的特点。近年来,该类抗生素在临床广泛应用,耐碳青霉烯类药物的肠杆菌科细菌(CRE)正在逐渐增加。由于CRE同时也对β-内酰胺类药物以外的大部分常用抗生素耐药,碳青霉烯类耐药的高产毒株将给临床治疗带来极大的挑战,也为公共卫生安全敲响警钟。为了调查济南地区碳青霉烯类耐药E.Coli(CR-ECO)菌株中高致病力菌株的分布情况,课题组对本院2015年临床分离的23株CR-ECO菌株进行了耐药基因、毒素基因扩增及系统进化分群,并对耐药基因与毒力因子的相关性进行了分析。
材料与方法 一、材料 1. 菌株来源2015年全年山东省立医院共分离临床感染患者来源的E.Coli 1 575株,剔除同一患者和同一部位的重复分离株,对于任一种碳青霉烯类药物耐药的E.Coli即认为是CR-ECO,共检出CR-ECO 38株,其中23株保留有菌种。所有菌株均采用梅里埃VITEK微生物鉴定仪进行菌种鉴定,并采用生物梅里埃基质辅助激光解吸/电离飞行时间微生物鉴定质谱(MALDI-TOF MS)对菌种进行再次确认。
2. 主要试剂与仪器VITEK-2 Compact全自动微生物鉴定及药敏系统(梅里埃公司,法国),时间飞行质谱(MALDI-TOF MS)(梅里埃公司,法国),Densichek比浊仪(梅里埃公司,法国),35 ℃细菌培养恒温孵箱(精宏实验设备有限公司,上海),PCR仪(Applied BiosystemsTM,美国),Bio-Rad电泳仪(Bio-Rad公司,美国),黑马GSG-2000凝胶成像拍照系统(黑马医学仪器,中国)。50×TBE电泳缓冲液为自配,引物由上海生物工程有限公司合成,PCR扩增反应体系Premix TaqTM购自大连宝生物(TAKARA,大连)有限公司,Gel-Red核酸染料、100 bp DNA Ladder、核酸琼脂糖凝胶购自百泰克公司。
二、方法 1. 碳青霉烯类耐药表型筛选按CLSI推荐的mCIM法筛选碳青霉烯类耐药菌株。同时用E.Coli(ATCC 25922)和肺炎克雷伯菌5748分别作阴性和阳性的质控对照。
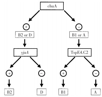
2. 菌株进化分群使用引物对ChuA、YjaA、TspE4C2.、TspE4Ⅱ片段进行PCR扩增,引物及退火温度见参考文献[5]。扩增为阳性的片段送往上海生工生物工程技术有限公司进行一代测序,测序结果与数据库中片段进行在线BLAST比对,确认为目标片段。进化分群的决策流程见图 1[2]。
|
图 1 菌株分群决策树 |
引物合成参照文献[6-8],由上海生工生物工程技术有限公司合成。模板制备:EP管中加入1 ml去离子水,刮取黄豆粒大小对数生长期纯培养菌苔置于管中,涡旋震荡混匀,置于沸水浴中煮10 min。12 000×g离心10 min,上清液即为DNA模板,将上清液转移至干净的EP管中,将模板DNA保存于-20℃冰箱备用。
耐药基因的PCR检测:碳青霉烯酶包括Ambler A组酶(blaNMC、blaKPC、blaSME、blaGES、blaIMI)、AmblerB组酶(blaNDM、blaIMP、blaSIM、blaVIM、blaGIM、laSPM)和Ambler D组酶(blaOXA)。其他β-内酰胺酶包括除碳青霉烯以外的β-内酰胺酶,包括AmpC酶(blaACC、blaACT、blaBIL、blaCMY、blaDHA、blaFOX、blaLAT、blaMIR和blaMOX)和ESBL(blaTEM、blaSHV、blaOXA、blaCTX-M)。反应体系(25 μl):上、下游引物各0.2 μmol /L,PCR反应体系混合液10 μl,模板2 μl,加灭菌双蒸水至20 μl。引物同参考文献[7]。每批PCR试验进行阳性和阴性质控。
毒力因子的PCR检测:毒素扩增通过5个多重PCR反应完成。采用25 μl反应体系,除了加*引物所采用的浓度为0.3 μM,其他引物的浓度均为0.6 μM。分为下面5个多重PCR反应完成毒素基因扩增[7-8]:①多重PCR反应1:PAI、papA、fimH、kpsMT Ⅲ、papEF和ibeA;②多重PCR反应2:fyuA、sfa/focDE、bmaE、papG allele Ⅲ、iutA和K1;③多重PCR反应3:*nfaE、*papC、*papG allele Ⅰ、*kpsMT Ⅱ、rfc和hlyA;④多重PCR反应4:gafD、cvaC、cdtB、focG、traT和papG alleleⅡ;⑤多重PCR反应5:*afa/draBC、*sfaS、*cnf1、papG alleleⅠ、papG allelesⅡ、papG alleles Ⅲ和K5.
PCR产物电泳:配制1.5%琼脂糖电泳凝胶,电泳缓冲液为0.5×TBE,吸取5 μl PCR产物上样,所用电压为110 V,电泳时间为40 min,用核酸染料染色后使用天能成像系统紫外灯下观察并拍照。扩增阳性标本测序确认为目标条带。
三、统计学处理应用SPSS 13.0进行统计学分析。定性资料组间比较采用Fisher确切概率法,P < 0.05为差异有统计学意义。
结果 一、大肠埃希菌菌株进化分群情况23株临床菌株中有16株属于B1群,3株属于D群,4株属于A群。没有检出B2群。具体情况见表 1。
| 表 1 23株大肠埃希菌进化分群情况 |
所有菌株均未检出sfaS、sfa/focD、focG、gafD、afa/draBC、fimH、nfaE、cdtB、hlyA、cnf1、iut、fyuA、ibeA、rfc、pap AH、cvaC、pap EF、traT基因。共10株菌株检出胞外黏多糖相关基因cps(kpsMTⅢ/kpsMTⅡ/K5)。携带有P菌毛papG基因菌株共20株,携带有papG Ⅱ的菌株共19株,检出papG Ⅲ基因的菌株共11株。检出P菌毛papC基因的菌株共3株,其中2株同时检出papG和papC基因。3株菌株检出致病岛相关基因(PAI)。9株菌株检出M型菌毛基因(bmaE)。7株检出铁获得通路(iroN)基因。
三、E.Coli菌株所携带耐药基因情况23株菌株中共有20株NDM基因阳性,12株为NDM-5亚型,6株为NDM-1亚型,1株为NDM-3亚型,1株为NDM-7亚型。22株携带ESBL基因,CTX-M和TEM为最常见的ESBL基因,经过测序、BLAST比对进一步明确CTX-M基因亚型和TEM基因亚型。19株所携带TEM基因均为产TEM-1亚型。检出率最高的CTX-M亚型为CTX-M-14亚型,共13株;次之为CTX-M-15亚型,共6株,CTX-M-55亚型共6株。16株菌株同时检出两种以上ESBL基因,6株菌株同时检出两种亚型CTX-M基因。耐药基因检测汇总情况见表 2。
| 表 2 22株E.Coli携带ESBL基因情况 |
各ESBL基因型菌株中携带cps、bmaE、papG Ⅲ、PAI、iroN、papC致病因子的概率无统计学差异。携带CTX-M-15的菌株比携带CTX-M-55的菌株中papG Ⅱ阳性率低(P = 0.049)。携带NDM-1菌株比携带NDM-5菌株中papG Ⅲ阳性率高(P = 0.047)。具体结果见表 3。
| 表 3 毒力因子在不同亚型ESBL菌株中分布 |
系统分群是根据ChuA、YjaA、TspE4C2的不同组合对肠道外感染E.Coli进行分子分型的重要方式,可分为A、B1、B2、D群,致病力大小从强到弱分别为B2、D、B1、A群[5, 9]。根据Ejrnaes等[6]的研究,B2群可以引起持续性尿路感染,具有较强的致病性。本次研究中的CRE菌株大部分属于致病力较弱的B1群,小部分为A和D群,未检出高致病力的B2群。尽管在本实验耐药菌株中尚未检出高致病力的B2群菌株,但毒素扩增研究证实大部分菌株携带胞外多糖等多种毒力因子。尤其值得关注的是,检出了3株D群菌株,表现为更强的黏附力和耐药性。
细菌的致病性又称为毒力,包括表面保护素、各类侵袭性酶和细菌毒素。其中,细菌侵袭性黏附、继而感染的关键在于黏附因子的存在。菌毛与细菌的致病力密切相关,是黏附因子的重要组成部分。引起肾盂肾炎的大肠埃希菌中80%以上具有P菌毛,也就是肾盂肾炎相关性菌毛(P pili)[10]。根据受体的不同papG分为三型,其中Ⅰ型papG和Ⅱ型papG是人类特异性黏附素,主要导致人类肾盂肾炎,Prs菌毛也就是Ⅲ型papG,主要与膀胱炎和动物感染相关[10]。本研究中的菌株,1株分离自血液,2株分离自胸腔积液,4株分离自尿道,3株分离自创面,6株分离自呼吸道,7株分离自腹腔,尿道和腹腔来源的菌株全部检出papG基因,部分菌株同时检出2种亚型papG基因。3株菌株未检出papG基因,其中2株分离自呼吸道,1株分离自创面。上述结果证明在呼吸道、尿道感染和腹腔感染中papG均具有重要作用。
PAI位于细菌染色体上,是编码致病因子的基因簇,两端常携带插入元件或重复序列[11]。PAI通常携带分泌性蛋白或表面蛋白基因,例如溶血素和菌毛等。本实验中携带PAI基因的菌株中1例分离自血、1例分离自腹腔、1例分离自痰标本。3株PAI阳性菌株的M菌毛、papG Ⅱ和papG Ⅲ均阳性,因此我们推测有更高的黏附力。铁离子作为细菌生长繁殖所必需的元素,有些细菌能够直接从宿主细胞获取铁,这使得它们在恶劣环境下有更强的适应能力并使毒力增强。研究证实,分离自鸡的携带CTX-M-9亚群E.Coli中,iroN基因的检出率显著高于携带CTX-M-1基因亚群和不携带CTX-M基因的菌株。本研究中,各ESBL基因亚型菌株中iroN的检出率相近。
综上所述,我院最常见的ESBL基因为CT- X-M-15、CTX-M-14、CTX-M-55。ESBL基因和致病基因相关性研究发现,NDM-1阳性菌株比NDM-5阳性菌株容易检出papG Ⅲ基因,papG Ⅱ基因检出率在CTX-M-15阳性菌株中低于CTX-M-55阳性菌株。由于本实验涉及菌株数量较少,E.Coli中致病基因和耐药基因的相关性尚待进一步确认。
| [1] |
Foxman B. Epidemiology of urinary tract infections: incidence, morbidity, and economic costs. Am J Med, 2002, 113(Suppl 1A): 5S-13S. |
| [2] |
Clermont O, Bonacorsi S, Bingen E. Rapid and simple determin-ation of the Escherichia coli phylogenetic group. Appl Environ Microbiol, 2000, 66(10): 4555-4558. DOI:10.1128/AEM.66.10.4555-4558.2000 |
| [3] |
Ho PL, Lo WU, Lai EL, Chow KH, Yam WC. Escherichia coli O25b-ST131 is an important cause of antimicrobial-resistant infections in women with uncomplicated cystitis. J Antimicrob Chemother, 2012, 67(10): 2534-2535. DOI:10.1093/jac/dks248 |
| [4] |
Liu X, Liu H, Wang L, Peng Q, Li Y, Zhou H, Li Q. Molecular characterization of extended-spectrum beta-lactamase-producing multidrug resistant Escherichia coli from swine in Northwest China. Front Microbiol, 2018, 9: 1756. DOI:10.3389/fmicb.2018.01756 |
| [5] |
Pitout JD, Laupland KB, Church DL, Menard ML, Johnson JR. Virulence factors of Escherichia coli isolates that produce CTX-M-type extended-spectrum beta-lactamases. Antimicrob Agents Chemother, 2005, 49(11): 4667-4670. DOI:10.1128/AAC.49.11.4667-4670.2005 |
| [6] |
Ejrnæs K, Stegger M, Reisner A, Ferry S, Monsen T, Holm SE, Lundgren B, Frimodt-Møller N. Characteristics of Escherichia coli causing persistence or relapse of urinary tract infections:phylogenetic groups, virulence factors and biofilm formation. Virulence, 2011, 2(6): 528-537. DOI:10.4161/viru.2.6.18189 |
| [7] |
Colom K, Pérez J, Alonso R, Fernández-Aranguiz A, Lariño E, Cisterna R. Simple and reliable multiplex PCR assay for detection of blaTEM, blaSHV and blaOXA-1 genes in Enterobacteriaceae. FEMS Microbiol Lett, 2003, 223(2): 147-151. DOI:10.1016/S0378-1097(03)00306-9 |
| [8] |
Poirel L, Walsh TR, Cuvillier V, Nordmann P. Multiplex PCR for detection of acquired carbapenemase genes. Diagn Microbiol Infect Dis, 2011, 70(1): 119-123. DOI:10.1016/j.diagmicrobio.2010.12.002 |
| [9] |
Manges AR, Johnson JR, Foxman B, O'Bryan TT, Fullerton KE, Riley LW. Widespread distribution of urinary tract infections caused by a multidrug-resistant Escherichia coli clonal group. N Engl J Med, 2001, 345(14): 1007-1013. DOI:10.1056/NEJMoa011265 |
| [10] |
Graveline R, Lavoie R, Garneau P, Daigle F, Sénéchal S, Martin C, Harel J. Monitoring F1651 P-like fimbria expression at the single-cell level reveals a highly heterogeneous phenotype. Infect Immun, 2015, 83(5): 1929-1939. DOI:10.1128/IAI.02510-14 |
| [11] |
Barrios-Villa E, Cortés-Cortés G, Lozano-Zaraín P, Arenas-Hernández MMP, Martínez de la Peña CF, Martínez-Laguna Y, Torres C, Rocha-Gracia RDC. Adherent/invasive Escherichia coli (AIEC) isolates from asymptomatic people: new E. coli ST131 O25:H4/H30-Rx virotypes. Ann Clin Microbiol Antimicrob, 2018, 17(1): 42. DOI:10.1186/s12941-018-0295-4 |


