研究论著

术前中性粒细胞淋巴细胞比率和红细胞分布宽度对胃肠道间质瘤患者预后的预测价值

  • 叶小龙 ,
  • 魏波 ,
  • 黄勇 ,
  • 陈图锋 ,
  • 刘健培 ,
  • 黄江龙 ,
  • 郑宗珩 ,
  • 卫洪波
展开
  • 510630 广州,中山大学附属第三医院胃肠外科
卫洪波,E-mail:

Copy editor: 杨江瑜

收稿日期: 2019-07-12

  网络出版日期: 2020-03-05

基金资助

广东省科技计划项目(2017B020227009)

广东省科技计划项目(2017A010103009)

版权

版权所有,未经授权,不得转载、摘编本刊文章,不得使用本刊的版式设计。

Value of preoperative neutrophil-lymphocyte ratio and red blood cell distribution width in predicting clinical prognosis of patients with gastrointestinal stromal tumors

  • Ye Xiaolong ,
  • Wei Bo ,
  • Huang Yong ,
  • Chen Tufeng ,
  • Liu Jianpei ,
  • Huang Jianglong ,
  • Zheng Zongheng ,
  • Wei Hongbo
Expand
  • Department of Gastrointestinal Surgery, the Third Affiliated Hospital of Sun Yat-sen University, Guangzhou 510630, China
Wei Hongbo, E-mail:

Received date: 2019-07-12

  Online published: 2020-03-05

Copyright

Copyright reserved © 2020. Office of Acta Agronomica Sinica All articles published represent the opinions of the authors, and do not reflect the official policy of the Chinese Medical Association or the Editorial Board, unless this is clearly specified.

摘要

目的 研究术前中性粒细胞淋巴细胞比率(NLR)和红细胞分布宽度(RDW)对胃肠道间质瘤(GIST)患者预后的预测价值。方法 回顾性分析2003至2013年中山大学附属第三医院收治的经手术治疗并符合入组标准的78例GIST患者的临床资料。根据术前NLR、RDW值将患者分为低NLR组(NLR≤3.85)、高NLR组(NLR>3.85) 和低RDW组(RDW≤0.142)、高RDW组(RDW > 0.142),分别比较2组间的临床病理因素,进行生存分析。结果 术前NLR、RDW值与肿瘤大小、核分裂数、危险度分级、远处转移均相关(P均< 0.05)。低NLR组患者的术后5年生存率高于高NLR组(91.3% vs. 0%; $\chi^{2}$ = 74.805,P < 0.05);低RDW组患者的术后5年生存率高于高RDW组(76.8% vs. 29.1%; $\chi^{2}$ = 13.109,P < 0.05)。多因素分析显示肿瘤大小(HR = 3.568,95%CI 1.414 ~ 9.001)、核分裂数(HR = 8.321,95%CI 1.515 ~ 45.684)、NLR (HR = 35.254,95%CI 6.522 ~ 190.558)及RDW(HR = 2.072,95%CI 1.141 ~ 3.761)是预后的独立影响因素(P < 0.05)。结论 术前NLR和RDW值可用于GIST患者的预后评估。

本文引用格式

叶小龙 , 魏波 , 黄勇 , 陈图锋 , 刘健培 , 黄江龙 , 郑宗珩 , 卫洪波 . 术前中性粒细胞淋巴细胞比率和红细胞分布宽度对胃肠道间质瘤患者预后的预测价值[J]. 新医学, 2020 , 51(1) : 27 -32 . DOI: 10.3969/j.issn.0253-9802.2020.01.006

Abstract

Objective To evaluate the value of preoperative neutrophil-lymphocyte ratio (NLR) and red blood cell distribution width (RDW) in predicting the clinical prognosis of patients diagnosed with gastrointestinal stromal tumors (GIST). Methods Clinical data of 78 patients with GIST receiving surgical treatment in the Third Affiliated Hospital of Sun Yat-sen University from 2003 to 2013 were retrospectively analyzed. All patients were divided into the low NLR/RDW groups (NLR≤3.85, RDW≤0.142) and high NLR/RDW groups (NLR > 3.85, RDW > 0.142) according to the values of NLR and RDW. Clinicopathological factors between two groups were statistically compared followed by survival analysis. Results Preoperative NLR and RDW values were significantly correlated with tumor size, mitotic count, risk ranking and distant metastasis (all P < 0.05). The 5-year survival rate in the low NLR group was remarkably higher than that in the high NLR group (91.3% vs. 0%; $\chi^{2}$ = 74.805, P < 0.05). The 5-year survival rate in the low RDW group was significantly higher compared with that in the high RDW group (76.8% vs. 29.1%; $\chi^{2}$ = 13.109, P < 0.05), respectively. Multivariate analysis demonstrated that tumor size (HR = 3.568, 95%CI = 1.414-9.001), mitotic count (HR = 8.321, 95%CI 1.515-45.684), NLR (HR = 35.254, 95%CI 6.522-190.558) and RDW (HR = 2.072, 95%CI 1.141-3.761) were the independent risk factors of clinical prognosis of GIST patients (all P < 0.05). Conclusion Preoperative NLR and RDW can be adopted to predict and evaluate the clinical prognosis of patients with GIST.

胃肠道间质瘤(GIST)起源于胃肠道未定向分化的间质细胞,是消化道最常见的间叶组织源性肿瘤,其发病率有逐年增高趋势[1]。GIST可发生于胃肠道的任何部位,最常见于胃(60% ~ 70%),其次是小肠(20% ~ 30%),结直肠仅占5%,偶可发生于食管、网膜及肠系膜等[2]
手术切除是治疗GIST的最好方法,原则上施行局部完整切除即可。对于肿瘤姑息切除、切缘阳性或晚期无法切除的患者,口服伊马替尼可使部分患者获得良好疗效。目前,对于GIST的预后评估还没有一个非常明确的标准,应用较广泛的指标有:肿瘤大小、原发肿瘤部位、肿瘤破裂、核分裂数[每50个高倍镜视野(HPF)][3]。近年来关于影响GIST预后的分子标志物的研究成为热点,Liang等[4]指出,CD44的表达缺失与GIST预后不良相关;Lv等[5]的研究表明,KIT基因的11号外显子缺失是影响GIST复发的高危因素。
尽管分子水平的标志物对于GIST的预后评估有一定作用,然而可以简便获得的外周血标志物临床应用价值更大。国内外大量研究证实中性粒细胞淋巴细胞比率(NLR)这一指标与多种实体肿瘤的预后明显相关[6,7,8,9]。而红细胞分布宽度(RDW)这一指标也被证实与多种疾病预后相关[10,11,12]。本研究通过回顾性分析我院GIST术后患者临床资料,探讨NLR和RDW对GIST预后的预测价值。

对象与方法

一、研究对象

2003至2013年中山大学附属第三医院收治手术治疗的GIST患者97例。病例纳入标准:①2003至2013年于我院行手术治疗,术后病理证实为GIST;②术前无上呼吸道感染或其他影响血常规结果的情况。病例排除标准:①合并其他严重疾病;②围术期出现严重并发症;③术前或术后服用伊马替尼治疗;④术后因其他原因导致死亡的病例。按上述标准,并剔除术后失访病例,最终共有78例患者纳入本次研究。

二、一般资料

本组GIST患者中男41例(52.6%)、女37例(47.4%),年龄24 ~ 85(中位数57)岁。所有患者均按照《中国胃肠间质瘤诊断治疗共识(2017年版)》的要求行规范手术治疗[13]。随访时间5 ~ 80个月。

三、研究方法

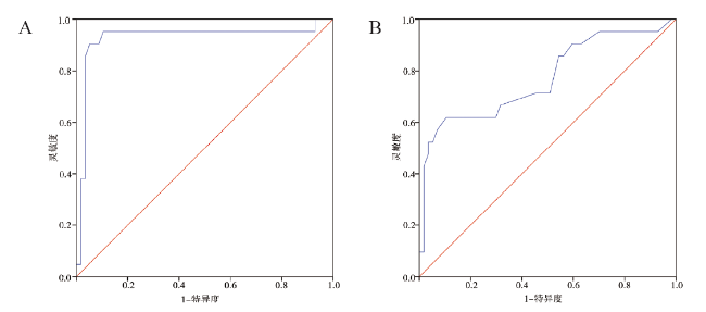
本组78例患者术前1周体温正常,无明显的局部或全身感染症状,均于术前1周内采集外周静脉血行血常规检查。NLR值由血常规结果的中性粒细胞百分比及淋巴细胞百分比计算获得,RDW值由血常规结果直接获取。本组患者NLR值介于0.9 ~ 9.3之间,RDW值介于0.119 ~ 0.187之间。以术前NLR和RDW值为检验变量,生存结局为结局变量,分别绘制NLR和RDW的受试者工作特征曲线(ROC曲线) [6, 11]。兼顾灵敏度及特异度,取NLR = 3.85、RDW = 0.142作为评价的最佳分界点(约登指数最高,见图1 A、B),分为低NLR组(NLR≤3.85)56例、高NLR组(NLR > 3.85) 22例和低RDW组(RDW≤0.142)59例、高RDW组(RDW > 0.142)19例。所有患者均按美国国立卫生研究院(NIH)的标准进行危险度分级[3]
图1 GIST患者术前NLR值(A)和RDW值(B)的ROC曲线

四、统计学处理

采用SPSS 19.0进行数据分析。计数资料的比较采用$\chi^{2}$检验或Fisher确切概率法。对不服从正态分布的计量资料采用中位数(四分位数间距)表示,比较采用Wilcoxon秩和检验。采用Kaplan-Meier法计算生存率,生存曲线比较用log-rank检验。单因素及多因素分析采用Cox比例风险回归模型。P < 0.05为差异有统计学意义。

结 果

一、低NLR、RDW组与高NLR、RDW组GIST患者的临床病理因素的比较

高NLR组的患者与低NLR组相比,肿瘤的体积更大,核分裂数更多,危险度更高,更易出现远处转移(P < 0.05),见表1。高RDW组患者与低RDW组相比,肿瘤的体积更大,核分裂数更多,危险度更高,更易出现远处转移(P均< 0.05),见表2
表1 低NLR组和高NLR组GIST患者的临床病理因素比较
临床病理因素 低NLR组
(56例)
高NLR组
(22例)
$\chi^{2}$/Z值 P值
年龄[例(%)] 0.009 0.926
≤50岁 21(38) 8(36)
> 50岁 35(62) 14(64)
性别(男/女) 29/27 12/10 0.048 0.826
肿瘤部位[例(%)] 1.013 0.314
30(54) 9(41)
非胃 26(46) 13(59)
肿瘤大小(cm) 5.05(7.00) 7.25(7.22) -2.912 0.004a
核分裂数[例(%)] 11.436 0.001
≤5/50 HPF 41(73) 7(32)
>5/50 HPF 15(27) 15(68)
远处转移[例(%)] 0 4(18) - 0.005b
危险度分级[例(%)] 10.351 < 0.001
极低、低危 27(48) 2(9)
中、高危 29(52) 20(91)

注: a Wilcoxon秩和检验,b Fisher确切概率法

表2 低RDW组和高RDW组GIST患者的临床病理因素比较
临床病理因素 低RDW组(59例) 高RDW组(19例) $\chi^{2}$/Z值 P值
年龄[例(%)] 0.261 0.609
≤50岁 21(36) 8(42)
> 50岁 38(64) 11(58)
性别(男/女,例) 29/30 12/7 1.131 0.288
肿瘤部位[例(%)] 3.409 0.065
33(56) 6(32)
非胃 26(44) 13(68)
肿瘤大小(cm) 5(7) 9(10.5) -3.828 < 0.001a
核分裂数[例(%)] 13.166 < 0.001
≤5/50 HPF 43(73) 5(26)
>5/50 HPF 16(27) 14(74)
远处转移[例(%)] 1(1) 3(16) - 0.043b
危险度分级[例(%)] 7.640 0.006
极低、低危 27(46) 2(10)
中、高危 32(54) 17(90)

注: a Wilcoxon秩和检验,b Fisher确切概率法

二、低NLR、RDW组与高NLR、RDW组患者术后5年生存率的比较

78例患者术后5年生存率为63.33%,其中低NLR组为91.36%,高NLR组为0%,2组比较差异有统计学意义($\chi^{2}$ = 74.805,P < 0.05),见图2A。低RDW组及高RDW组患者的术后5年生存率分别为76.8%及29.1%,2组比较差异有统计学意义($\chi^{2}$=13.109,P < 0.05),见图2B。此外,我们将NLR、RDW两个指标结合,进一步对患者进行分层分析,其生存曲线显示各组患者生存差异明显,低NLR低RDW组患者预后优于高NLR高RDW组患者($\chi^{2}$ = 81.762,P < 0.05),见图2C
图2 各组GIST患者生存曲线的比较

A:低NLR组与高NLR组生存曲线的比较;B:低RDW组和高RDW组生存曲线的比较;C:NLR联合RDW各组生存曲线的比较

三、GIST患者预后的单因素和多因素分析

先将GIST患者的临床病理因素引入Cox比例风险回归模型进行单因素分析(年龄≤50岁,男性,肿瘤部位为胃,肿瘤大小≤5 cm,核分裂数≤5,无远处转移,极低、低危险度,NLR≤3.85,RDW≤0.142的患者为参照组)。结果显示,肿瘤大小、核分裂数、远处转移、危险度、NLR、RDW与预后相关(P均< 0.05),见表3。将单因素分析筛选出的因子(P < 0.05)进一步行多因素分析,结果显示,肿瘤大小、核分裂数、NLR、RDW是预后的独立影响因素(P均< 0.05),见表4
表3 GIST患者预后的单因素分析
项 目 B值 HR(95%CI) P值
年龄> 50岁 0.125 1.133(0.457 ~ 2.811) 0.787
性别(女) -0.152 0.859(0.361 ~ 2.041) 0.730
非胃肿瘤部位 0.806 2.239(0.903 ~ 5.552) 0.082
肿瘤大小> 5 cm 1.571 4.811(2.414 ~ 9.588) < 0.001
核分裂数> 5 个/50 HPF 1.938 6.945(2.533 ~ 19.036) < 0.001
有远处转移 1.787 5.973(1.974 ~ 18.071) 0.002
中高危 2.710 15.036(2.014 ~ 112.258) < 0.001
NLR> 3.85 3.944 51.623(11.672 ~ 228.310) < 0.001
RDW> 0.142 1.447 4.250(1.796 ~ 10.055) 0.001
表4 GIST患者预后的多因素分析
项 目 B值 HR(95%CI P值
肿瘤大小> 5 cm 1.272 3.568(1.414 ~ 9.001) 0.007
核分裂数> 5 个/50 HPF 2.119 8.321(1.515 ~ 45.684) 0.015
有远处转移 -0.656 0.519(0.142 ~ 1.894) 0.321
中高危 -2.143 0.117(0.004 ~ 3.321) 0.209
NLR> 3.85 3.563 35.254(6.522 ~ 190.558) < 0.001
RDW> 0.142 1.772 2.072(1.141 ~ 3.761) 0.017

讨 论

近年来,越来越多的研究表明,炎症在肿瘤的发生发展过程中起着极其重要的作用。慢性炎症反应可产生基因损伤诱发癌症,肿瘤相关炎症细胞通过分泌一系列炎症介质、细胞因子等促进免疫抑制及肿瘤的血管生成,从而引起肿瘤细胞的侵袭及转移[14,15]
研究证实,外周血中高中性粒细胞计数与多种恶性肿瘤预后不良相关[16,17]。Perez等[18]的研究发现在GIST患者中,外周血淋巴细胞计数并不与预后相关,且并未观察到在肿瘤体积较大的患者中外周血淋巴细胞明显减少。因此,NLR值更多是由中性粒细胞计数决定。作为人体炎症反应的指标,NLR的升高表明促肿瘤炎症反应与抗肿瘤免疫反应的平衡被打破,炎症反应向促肿瘤的方向发展,导致预后不良。本研究中,我们发现术前NLR水平与GIST患者预后明显相关,高NLR是预后的独立影响因素。
RDW是血常规中一项用来表示周围红细胞体积异质性的参数,是反映红细胞大小的客观指标,常与MCV共同用于贫血的诊断分类及鉴别诊断。虽然RDW与炎症两者之间的关系尚未完全阐明,但目前高RDW值通常被认为由慢性炎症及营养不良引起,而恶性肿瘤恰恰易引起患者出现类似改变。我们在本研究中也发现术前高RDW水平提示预后不良,是GIST预后的独立影响因素,这与现有的国内外研究也是相符的。
目前,对GIST的预后评估尚缺乏有效的术前血液学指标。本研究从肿瘤炎症反应的角度探讨了术前NLR值和RDW值与GIST患者预后的关系。我们在研究中还发现,将NLR与RDW结合,可对患者进一步分层分析,术前高NLR并高RDW的患者预后明显变差,而低NLR并低RDW患者预后最好。这说明两个单独的指标结合起来更有助于对GIST患者的预后进行个体化预测。外周血常规作为GIST患者的术前常规检查,具有价格低廉、简便易行等优点。若将NLR和RDW增加为GIST患者的术前评估指标,既可提高预后判断的准确性,又不会增加患者的痛苦和经济负担,是一项值得推广的良好指标。本研究中对NLR和RDW的截断值采用ROC曲线法计算,兼顾了灵敏度与特异度,更为科学、合理,但仍需更大规模的临床研究使其更为精确。
[1]
杨显金, 陈佳慧, 杜江, 王崇树 . 胃肠道间质瘤的诊治现状与进展. 中国普外基础与临床杂志, 2014,21(8):1040-1045.

[2]
张迪, 宋劭晨, 宋杰 . 老年胃肠道间质瘤误诊为卵巢肿瘤术中大出血一例. 新医学, 2016,47(2):131-133.

[3]
Nishida T, Sakai Y, Takagi M, Ozaka M, Kitagawa Y, Kurokawa Y, Masuzawa T, Naito Y, Kagimura T, Hirota S; members of the STAR ReGISTry Study Group . Adherence to the guidelines and the pathological diagnosis of high-risk gastrointestinal stromal tumors in the real world. Gastric Cancer, 2019.[Epub ahead of print]

[4]
Liang YM, Li WM, Li XH, Lu YY . Prognostic significance of PTEN, Ki-67 and CD44s expression patterns in gastrointestinal stromal tumors. World J Gastroenterol, 2012,18(14):1664-1671.

[5]
Lv A, Li Z, Tian X, Guan X, Zhao M, Dong B, Hao C . SKP2 high expression, KIT exon 11 deletions, and gastrointestinal bleeding as predictors of poor prognosis in primary gastroin-testinal stromal tumors. PLoS One, 2013,8(5):e62951.

[6]
Salman T, Kazaz SN, Varol U, Oflazoglu U, Unek IT Kucu-kzeybek Y, Alacacioglu A, Atag E, Semiz HS, Cengiz H, Oztop I, Tarhan MO . Prognostic value of the pretreatment neutrophil-to-lymphocyte ratio and platelet-to-lymphocyte ratio for patients with neuroendocrine tumors: an izmir oncology group study. Chemotherapy, 2016,61(6):281-286.

[7]
Chrom P, Stec R, Bodnar L, Szczylik C . Incorporating neutr-ophil-to-lymphocyte ratio and platelet-to-lymphocyte ratio in place of neutrophil count and platelet count improves prognostic accuracy of the international metastatic renal cell carcinoma database consortium model. Cancer Res Treat, 2018,50(1):103-110.

[8]
冯卓, 罗辉, 孙亚楠, 刘晓, 李雪, 崔莹莹, 汪晨宇, 郑晓丽, 王浩, 叶柯, 范诚诚, 葛红 . 纤维蛋白原联合中性粒细胞与淋巴细胞比值在新辅助治疗食管鳞癌患者预后中的临床意义. 中华放射肿瘤学杂志, 2019,28(3):188-192.

[9]
Yao JJ, Zhu FT, Dong J, Liang ZB, Yang LW, Chen SY, Zhang WJ, Lawrence WR, Zhang F, Wang SY, Sun Y, Zhou GQ . Prognostic value of neutrophil-to-lymphocyte ratio in advanced nasopharyngeal carcinoma: a large institution-based cohort study from an endemic area. BMC Cancer, 2019,19(1):37.

[10]
Turcato G, Campagnaro T, Bonora A, Vignola N, Salvagno GL, Cervellin G, Ricci G, Maccagnani A, Lippi G . Red blood cell distribution width independently predicts 1-month mortality in acute decompensation of cirrhotic patients admitted to emergency department. Eur J Gastroenterol Hepatol, 2018,30(1):33-38.

[11]
Hong DY, Kim SY, Kim JY, Kim JW . Red blood cell distri-bution width is an independent predictor of mortality in patients with aneurysmal subarachnoid hemorrhage. Clin Neurol Neurosurg, 2018,172:82-86.

[12]
Wang Y, He SS, Cai XY, Chen HY, Yang XL, Lu LX, Chen Y . The novel prognostic score combining red blood cell distribution width and body mass index (COR-BMI) has prognostic impact for survival outcomes in nasopharyngeal carcinoma. J Cancer, 2018,9(13):2295-2301.

[13]
中国临床肿瘤学会胃肠间质瘤专家委员会. 中国胃肠间质瘤诊断治疗共识(2017年版). 肿瘤综合治疗电子杂志, 2018,4(1):31-43.

[14]
Iyengar NM, Gucalp A, Dannenberg AJ, Hudis CA . Obesity and cancer mechanisms: tumor microenvironment and inflammation. J Clin Oncol, 2016,34(35):4270-4276.

[15]
Greten FR, Grivennikov SI . Inflammation and cancer: triggers, mechanisms, and consequences. Immunity, 2019,51(1):27-41.

[16]
Dumitru CA, Lang S, Brandau S . Modulation of neutrophil granulocytes in the tumor microenvironment: mechanisms and consequences for tumor progression. Semin Cancer Biol, 2013,23(3):141-148.

[17]
Cetin B, Kaplan MA, Berk V, Ozturk SC, Benekli M, Isıkdogan A, Ozkan M, Coskun U, Buyukberber S . Prognostic factors for overall survival in patients with metastatic colorectal carcinoma treated with vascular endothelial growth factor-targeting agents. Asian Pac J Cancer Prev, 2012,13:1059-1063.

[18]
Perez DR, Baser RE, Cavnar MJ, Balachandran VP, Antonescu CR, Tap WD, Strong VE, Brennan MF, Coit DG, Singer S, Dematteo RP . Blood neutrophil-to-lymphocyte ratio is prognostic in gastrointestinal stromal tumor. Ann Surg Oncol, 2013,20(2):593-599.

文章导航

/