论著

机器人辅助腹腔镜与传统腹腔镜方式治疗输尿管梗阻的meta分析

  • 雷必秀 , 1, 2 ,
  • 黄燕 1, 2 ,
  • 王朗 2 ,
  • 黄潇乐 1, 2 ,
  • 张立元 , 1
展开
  • 1.深圳市南山区人民医院泌尿外科,广东 深圳 518052
  • 2.湘南学院临床学院,湖南 郴州 423099
张立元,主任医师,硕士生导师,研究方向:泌尿外科微创手术和机器人辅助手术,E-mail:

雷必秀,医师,研究方向:泌尿外科微创手术,E-mail:

Copy editor: 郑巧兰

收稿日期: 2025-02-13

  网络出版日期: 2025-09-02

基金资助

深圳市医疗卫生三名工程项目(SZSM202103006)

Meta-analysis of robot-assisted laparoscopy versus traditional laparoscopy in the treatment of ureteral obstruction

  • LEI Bixiu , 1, 2 ,
  • HUANG Yan 1, 2 ,
  • WANG Lang 2 ,
  • HUANG Xiaole 1, 2 ,
  • ZHANG Liyuan , 1
Expand
  • 1. Department of Urology, Shenzhen Nanshan People’ s Hospital, Shenzhen 518052, China
  • 2. Clinical College of Xiangnan University, Chenzhou 423099, China
ZHANG Liyuan, E-mail:

Received date: 2025-02-13

  Online published: 2025-09-02

摘要

目的 通过meta分析比较机器人辅助腹腔镜手术与传统腹腔镜手术方式治疗输尿管梗阻的疗效。方法 通过检索中国知网、万方数据知识服务平台、维普网、中国生物医学文献数据库、PubMed、Embase、Cochrane Library、Web of Science数据库,检索时限为建库至2024年8月8日。中文检索词包括“输尿管”“梗阻”“机器人辅助手术”“机器人外科手术”,英文检索词包括“Ureter”“Obstruction”“Robot Assisted Surgery”“Robotic Surgical Procedure”。比较2种手术方式的术中出血量等指标差异。结果 共纳入30项研究2 314例患者。Meta分析结果显示,机器人组术中出血量[WMD(95%CI)=-5.44(-10.64,-0.24)mL,P = 0.040]、手术时间[WMD(95%CI)=-16.47(-27.49, -5.44)min,P = 0.003]、住院时间[WMD(95%CI)=-0.55(-0.65,-0.45) d,P < 0.001]、引流管留置时间[WMD(95%CI)=-1.04(-1.67,-0.41) d,P = 0.001]、术中吻合时间[WMD(95%CI)=-11.26(-21.98,-0.54)min,P =0.040]、术中缝合时间[WMD(95%CI)=-19.72(-33.76,-5.67)min,P = 0.006]少于传统腹腔镜组,成功率[OR(95%CI)=2.42(1.36,4.32),P = 0.003]和住院费用[WMD(95%CI)=33 756.24(25 689.01,41 823.47)元, P < 0.001]高于传统腹腔镜组。2组并发症发生率[OR(95%CI)=0.79(0.57,1.09),P = 0.144]、二次手术率[OR(95%CI)=1.13(0.50,2.55),P = 0.762]、输尿管支架留置时间[WMD(95%CI)=0.00(-1.12,1.13)d,P = 0.994]差异无统计学意义。结论 机器人辅助腹腔镜手术可以减少术中出血量,缩短术中操作时间、住院时间、引流管留置时间、术中吻合时间和缝合时间,提高成功率,适合用于高难度、高要求的精细手术,临床应用价值较高,但其费用较高。

本文引用格式

雷必秀 , 黄燕 , 王朗 , 黄潇乐 , 张立元 . 机器人辅助腹腔镜与传统腹腔镜方式治疗输尿管梗阻的meta分析[J]. 新医学, 2025 , 56(7) : 692 -705 . DOI: 10.12464/j.issn.0253-9802.2025-0044

Abstract

Objective To compare the efficacy of robot-assisted laparoscopic surgery and traditional laparoscopic surgery in the treatment of ureteral obstruction through a meta-analysis. Methods A comprehensive literature search was conducted in CNKI, Wanfang Data, VIP, CBM, PubMed, Embase, Cochrane Library, and Web of Science, covering publications from inception to August 8, 2024. The Chinese and English search terms included “Ureter” “Obstruction” “Robot-Assisted Surgery” and “Robotic Surgical Procedure”. Intraoperative blood loss and other surgical outcomes were compared between the two approaches. Results A total of 30 studies involving 2 314 patients were included. The results of meta-analysis showed that the robotic group had significantly reduced intraoperative blood loss [WMD(95%CI)= -5.44 (-10.64, -0.24) mL, P = 0.040], shorter operative time [WMD = -16.47 (-27.49, -5.44) min, P = 0.003], reduced length of hospital stay [WMD =-0.55 (-0.65, -0.45) d, P < 0.001], shorter duration of drainage tube placement [WMD = -1.04 (-1.67, -0.41) d, P = 0.001], decreased anastomosis time [WMD = -11.26 (-21.98, -0.54) min, P = 0.040], and shorter suture time [WMD = -19.72 (-33.76, -5.67) min, P = 0.006] compared with the traditional laparoscopic group. The robotic group also demonstrated a higher surgical success rate [OR = 2.42 (1.36, 4.32), P = 0.003] and higher hospitalization costs [WMD = 33,756.24 (25,689.01, 41,823.47) RMB, P < 0.001]. No significant differences were observed in complication rate [OR (95%CI) =0.79 (0.57, 1.09),P = 0.144], reoperation rate [OR (95%CI)=1.13(0.50, 2.55), P = 0.762], or ureteral stent retention time [WMD(95%CI)= 0.00(-1.12,1.13) d, P = 0.994] between the two groups. Conclusion Robotic-assisted laparoscopic surgery has been shown to significantly reduce intraoperative blood loss, shorten operative time, hospital stay, drainage duration, anastomosis time, and suturing time, while improving surgical success rates. It is particularly suitable for complex and technically demanding procedures that require precision, offering substantial clinical value despite its relatively high cost.

输尿管梗阻(ureteral obstruction,UO)是泌尿外科常见疾病之一,发病率约为1/1 500,多由输尿管壁内部狭窄或外部受压引起输尿管内尿液运输受阻,造成病变近端尿液潴留的尿路梗阻[1-2]。主要病因包括手术瘢痕粘连、输尿管结石、输尿管先天性狭窄、恶性肿瘤压迫和腹膜后纤维化[3]。UO早期较隐匿,常无明显症状,多因长期梗阻导致肾积水,出现肾绞痛、血尿、发热和腹部包块等症状而被发现。少数患者可有肾性高血压、贫血等症状。同时,输尿管长期梗阻易继发尿路感染和上尿路结石,严重者可引起肾实质损害,导致肾功能不可逆受损,甚至使肾脏处于无功能状态[4]
UO的一般治疗策略是解除梗阻,恢复输尿管通畅性,常见治疗方法有保守治疗、介入治疗、手术治疗[5]。手术治疗包括开放手术、腹腔镜手术(operative laparoscopy,OL)和机器人辅助腹腔镜手术(robot assisted laparoscopic surgery,RALS)。1992年Nezhat等[6]开展了第一例腹腔镜下输尿管重建术,标志着腹腔镜开始应用于治疗输尿管狭窄。如今,OL已经成为UO手术治疗首选方式,但Simmons等[7]在回顾性比较OL与开放手术重建输尿管后指出,OL由于视野和器械运动受限导致体内缝合困难,手术操作者需要更多的术中缝合时间和较高的手术技能。近年来,机器人平台被广泛应用于泌尿外科领域,其具有手术视野高清立体、机械臂操作灵活平稳等特点,使以往高精度、高难度手术方案成为可能。RALS克服了传统OL的技术复杂性难题,尤其是降低了缝合和打结难度,使机器人在UO的手术治疗中颇受临床医师的青睐[8]。查阅已有文献发现相关研究较少,且选择的结局指标不够全面。为了综合更多证据来证实RALS在治疗UO的作用,评估方案的有效性和安全性,本研究拟扩大检索国内外主流数据库,并纳入更多结局指标进行更全面的meta分析,以期为临床决策提供强有力的循证支持。

1 方法

本研究依据系统评价和meta分析首选报告项目(PRISMA)指南设计实施[9],并已在PROSPERO官网上注册,注册号为CRD42024578054。

1.1 检索策略

检索中国知网、万方数据知识服务平台、维普网、中国生物医学文献数据库、PubMed、Embase、Cochrane Library、Web of Science数据库,限制文献时间范围为各数据库建库到2024年8月8日。采用“主题词+自由词”结合形式进行检索,中文检索词为“输尿管”“梗阻”“机器人辅助手术”“机器人外科手术”,英文检索词为“Ureter”“Obstruction”“Robot Assisted Surgery” “Robotic Surgical Procedure”。同时在已发表系统综述的参考文献中进行二次检索,以确保检索文献尽可能全面。以PubMed为例,简要检索策略如下:
#1 Ureter[Mesh Terms]
#2 Ureter OR Obstruction[Title/Abstract]
#3 #1 OR #2
#4 Robot Assisted Surgery[Mesh Terms]
#5 Robot Assisted Surgery OR Robotic Surgical Procedure[Title/Abstract]
#6 #4 OR #5
#7 #3 AND #6

1.2 文献筛选

纳入标准:①研究对象为UO患者;②研究内容是RALS治疗UO对比OL治疗UO;③研究类型为前瞻性研究或回顾性研究;④结局指标包括本研究分析指标中的任一项。
排除标准:①综述、病例报告、研究方案或会议论文;②重复和无法获取全文的研究;③数据不完整的研究;④无法提取结局指标的研究。
2名研究者按照上述标准独立筛选文献,研究筛选过程中遇到的不同意见通过讨论或由第三名研究者解决。

1.3 数据提取和质量评估

2名研究者独立提取最终纳入文献的数据信息,包括文献基本信息、结局指标等。非随机对照研究使用MINORS量表进行文献质量评价[10]。随机对照试验(randomized controlled trial,RCT)研究采用Cochrane偏倚风险评估工具RoB 2从5个方面进行评估[11]。每一项研究由2位研究者独立进行质量评估。对于有分歧的文献则通过讨论或征求第三位研究者的建议后进行评定。

1.4 研究指标

研究的主要指标包括术中出血量、手术时间、住院时间、并发症、成功率、引流管留置时间、术中吻合时间、输尿管支架留置时间、术中缝合时间、住院费用、二次手术率。

1.5 统计学方法

采用Stata 15.0进行meta分析。对于连续型数据,使用计算加权均数差(weighted mean differences, WMD)并报告95%置信区间(confidence interval,CI)。对于二分类变量,采用比值比(odds ratio,OR)作为效应指标进行分析。采用Q检验(用于检验异质性是否存在)和I 2统计量(用于量化异质性比例)评估研究之间的异质性,如果I 2<50%,使用固定效应模型(Mantel-Haenszel法)进行meta分析,反之,使用随机效应模型(DerSimonian-Laird法)。采用敏感性分析评估meta分析结果的稳健性。使用漏斗图和Egger检验(研究数量≥10篇)评估纳入文献是否存在发表偏倚。以双侧P < 0.05为差异有统计学意义。

2 结果

2.1 文献检索

根据检索策略共获得1 662篇论文,经筛选最后共纳入30项研究[12-41]。文献筛选过程见图1
图1 文献筛选流程图

Figure 1 Flow chart of literature screening

2.2 纳入研究的基本特征及质量评价

共纳入30项研究[12-41],其中英文22篇,日文2篇,中文6篇。发表年限为2005年至2024年,涵盖8个国家(中国、美国、日本、德国、印度、意大利、以色列、奥地利)。总病例数2 314例,其中1 322例男性患者,927例女性患者,65例患者的性别信息不详,1 159例患者接受RALS, 1 155例患者接受传统OL。见表1
表1 纳入研究基本信息表

Table 1 Basic information table for included studies

第一作者 发表年份 国家 nRALS组/
nOL组
年龄/岁 男/女 是否RCT 结局指标 文献
质量a
RALS组 OL组 RALS组 OL组
汪仁昊[12] 2024 中国 30/26 30.00±17.04 26.00±10.00 16/14 18/8 ①②③⑥ 19
蒋昊[13] 2017 中国 48/69 28.71±10.13 30.12±12.65 27/21 39/30 ①②③④⑥ 20
刘祺[14] 2023 中国 31/32 4.78±3.93 4.17±3.42 22/9 26/6 ①②③④⑥⑩ 21
赵冬艳[15] 2022 中国 10/8 0.75±1.91 0.83±1.23 ②③⑥⑩ 20
刘慧[16] 2023 中国 22/48 7.04±3.32 5.96±7.00 18/4 37/11 ①②③④⑦⑩ 20
郑霁[17] 2014 中国 32/46 28.90±35.56 29.80±41.48 20/12 30/16 ①②③④⑤ 20
Kobayashi[18] 2020 日本 6/26 23.00±8.15 26.00±45.93 4/2 14/12 ①②③④⑤⑧ 18
Hu[19] 2023 中国 32/30 1.41±0.84 1.40±0.77 22/10 20/10 ②③④⑥⑩ 21
Ebert[20] 2020 美国 119/115 6.80±13.33 6.20±16.37 83/36 80/35 ②③④⑪ 18
Patel[21] 2016 美国 55/13 7.30±6.59 7.30±7.19 36/19 9/4 ②③④ 21
Weise[22] 2006 美国 31/14 26.00±37.04 24.50±41.48 13/18 6/8 ②③④⑤ 21
Esposito[23] 2019 意大利 37/30 7.60±8.15 2.70±2.47 24/16 15/12 ②③④⑤⑦⑪ 19
Fiori[24] 2017 意大利 15/12 39.70±10.80 41.10±11.60 8/7 1/11 ②③④⑥⑦⑧⑨ 20
Riachy[25] 2012 美国 46/18 8.80±15.99 8.10±13.15 23/23 14/4 ②③④⑤ 20
González[26] 2022 美国 174/86 8.90±11.11 10.50±11.11 79/95 55/31 ②③ 20
Sun[27] 2019 中国 65/61 46.29±12.66 45.70±12.15 40/25 43/18 ②③④⑨ 19
Silay[28] 2019 德国 26/27 3.00±12.28 1.50±7.96 17/9 18/9 ②③④⑤ 低风险
Sun[29] 2023 中国 12/21 1.42±1.91 0.75±2.10 ②③⑤⑥⑩ 21
Neheman[30] 2017 以色列 21/13 0.48±0.64 0.52±0.27 10/11 10/3 ②③④⑤ 20
Bird[31] 2010 美国 98/74 39.60±15.20 39.78±13.90 46/52 35/39 ②④⑤⑨ 低风险
Rasool[32] 2019 印度 34/34 29.29±11.14 31.06±14.05 24/10 18/16 ①②③④ 20
Bernie[33] 2005 美国 7/7 32.00±17.78 34.00±27.41 ①②③④ 19
Tatenuma[34] 2023 日本 18/104 37.50±52.59 38.00±50.37 10/8 48/56 ①②④⑤⑨ 20
Griessner[35] 2020 奥地利 36/27 48.42±18.40 47.00±20.70 19/17 15/12 ②③④ 20
Link[36] 2006 美国 10/10 46.50±16.90 38.00±14.00 3/7 4/6 低风险
Zhang[37] 2019 中国 28/34 47.29±12.13 47.53±12.06 9/19 13/21 ②③④⑤⑨ 19
Lukkanawong[38] 2022 日本 12/13 29.00±43.70 23.00±37.04 8/4 7/6 ①②③④⑥ 19
Andolfi[39] 2022 美国 39/26 0.33±0.25 0.25±0.31 30/9 22/4 ②③④⑤ 21
Zi[40] 2023 中国 35/101 35.77±11.77 40.46±12.10 20/15 53/48 ①②③④⑤⑩ 20
Hemal[41] 2010 印度 30/30 24.85±37.04 28.10±25.93 20/10 21/9 ①②③⑨ 20

注:RALS组为机器人组,OL组为传统腹腔镜组;①术中出血量,②手术时间,③住院时间,④并发症,⑤成功率,⑥引流管留置时间,⑦术中吻合时间,⑧输尿管支架留置时间,⑨术中缝合时间,⑩住院费用,⑪二次手术;aRCT采用RoB 2评估偏倚风险,非RCT采用MINORS量表评估方法学评分。

文献质量评价显示27项非RCT研究中,有22项的MINORS量表得分20分及以上;3项RCT研究的偏倚风险均为低风险,说明纳入的高质量研究较多。

2.3 主要结局指标meta分析结果

2.3.1 术中出血量

共有12项研究[12-14,16-18,32-34,38,40-41]报告了术中出血量,包括841例患者。异质性分析结果显示I 2=88.6%,P < 0.001,故采用随机效应模型进行meta分析。结果显示,机器人组术中出血量少于传统腹腔镜组[WMD=-5.44 mL,95%CI(-10.64, -0.24),P = 0.040],见图2
图2 2组术中出血量比较的森林图

Figure 2 The forest plot of the comparison of intraoperative blood loss between the two groups

2.3.2 手术时间

共有30项研究[12-41]报告了手术时间,包括2 314例患者。异质性分析结果显示I 2=87.4%,P <0.001,采用随机效应模型进行meta分析。结果显示,机器人组手术时间少于传统腹腔镜组[WMD=-16.47 min,95%CI(-27.49,-5.44),P = 0.003],见图3
图3 2组手术时间比较的森林图

Figure 3 The forest plot of the comparison of operation time between the two groups

2.3.3 住院时间

共有27项研究[12-30,32-33,35,37-41]报告了住院时间,包括2 000例患者。异质性分析显示I 2=47.3%,P = 0.004,采用固定效应模型进行meta分析。结果显示,机器人组住院时间少于传统腹腔镜组[WMD= -0.55 d,95%CI (-0.65,-0.45),P < 0.001],见图4
图4 2组住院时间比较的森林图

Figure 4 The forest plot of the comparison of hospitalization time between the two groups

2.3.4 并发症

共24项研究[13-14,16-25,27-28,30-35,37-40]报告了并发症,包括1 869例患者。异质性分析结果显示I 2=0.0%,P = 0.989,采用固定效应模型进行meta分析。结果显示,2组并发症发生率差异无统计学意义[OR=0.79,95%CI(0.57,1.09),P = 0.144],见图5
图5 2组并发症比较的森林图

Figure 5 The forest plot of the comparison of complications between the two groups

2.3.5 成功率

共有13项研究[17-18,22-23,25,28-31,34,37,39-40]报告了成功率结局,包括917例患者。异质性分析结果显示I 2=2.5%,P = 0.422,故采用固定效应模型进行meta分析。结果显示,相比于传统腹腔镜组,机器人组能够提高成功率,差异具有统计学意义[OR=2.42,95%CI(1.36,4.32),P = 0.003],见图6
图6 2组成功率比较的森林图

Figure 6 The forest plot of the comparison of success rate between the two groups

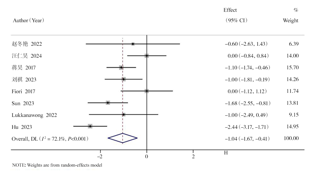
2.3.6 引流管留置时间

共有8项研究[12-15,19,24,29,38]报告了引流管留置时间,包括401例患者。异质性分析结果显示I 2=72.1%,P < 0.001,故采用随机效应模型进行meta分析。结果显示,机器人组引流管留置时间少于传统腹腔镜组[WMD=-1.04 d,95%CI(-1.67, -0.41),P = 0.001],见图7
图7 2组引流管留置时间比较的森林图

Figure 7 The forest plot of the comparison of the indwelling time of drainage tubes between the two groups

2.3.7 术中吻合时间

共有3项研究[16,23-24]报告了术中吻合时间,包括164例患者。异质性分析结果显示I 2=89.7%, P < 0.001,故采用随机效应模型进行meta分析。结果显示,机器人组术中吻合时间少于传统腹腔镜组[WMD=-11.26 min,95%CI(-21.98,-0.54),P = 0.040],见图8
图8 2组术中吻合时间比较的森林图

Figure 8 The forest plot of the comparison of intraoperative anastomosis time between the two groups

2.3.8 输尿管支架留置时间

共有2项研究[18,24]报告了输尿管支架留置时间,包括59例患者。异质性检验分析显示I 2=0.00%,P = 0.838,采用固定效应模型进行meta分析。结果显示,机器人组输尿管支架留置时间与传统腹腔镜组差异无统计学意义[WMD=0.00 d,95%CI(-1.12,1.13),P = 0.994],见图9
图9 2组输尿管支架留置时间比较的森林图

Figure 9 The forest plot of the comparison of the indwelling time of ureteral stents between the two groups

2.3.9 术中缝合时间

共有6项研究[24,27,31,34,37,41]报告了术中缝合时间,包括475例患者。异质性分析结果显示I 2=98.9%,P < 0.001,故采用随机效应模型进行meta分析。结果显示,机器人组术中缝合时间少于传统腹腔镜组[WMD=-19.72 min,95%CI(-33.76,-5.67),P = 0.006],见图10
图10 2组术中缝合时间比较的森林图

Figure 10 The forest plot of the comparison of intraoperative suture time between the two groups

2.3.10 住院费用

共有6项研究[14-16,19,29,40]报告了住院费用,包括382例患者。异质性分析结果显示I 2=99.0%,P < 0.001,故采用随机效应模型进行meta分析。结果显示,机器人组住院费用高于传统腹腔镜组[WMD=33 756.24元,95%CI(25 689.01,41 823.47),P < 0.001],见图11
图11 2组住院费用比较的森林图

Figure 11 The forest plot of the comparison of hospitalization costs between the two groups

2.3.11 二次手术率

共有2项研究[20,23]报告了二次手术结局,包括301例患者。异质性分析结果显示I 2=0.0%,P = 0.357,故采用固定效应模型进行meta分析。结果显示,2组二次手术率差异无统计学意义[OR=1.13,95%CI(0.50,2.55),P = 0.762],见图12
图12 2组二次手术率比较的森林图

Figure 12 The forest plot of the comparison of secondary surgeries rate between the two groups

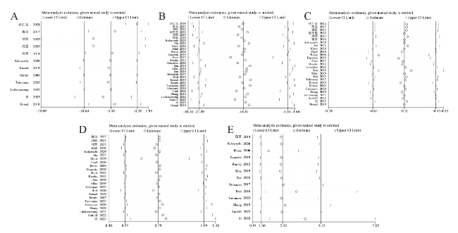
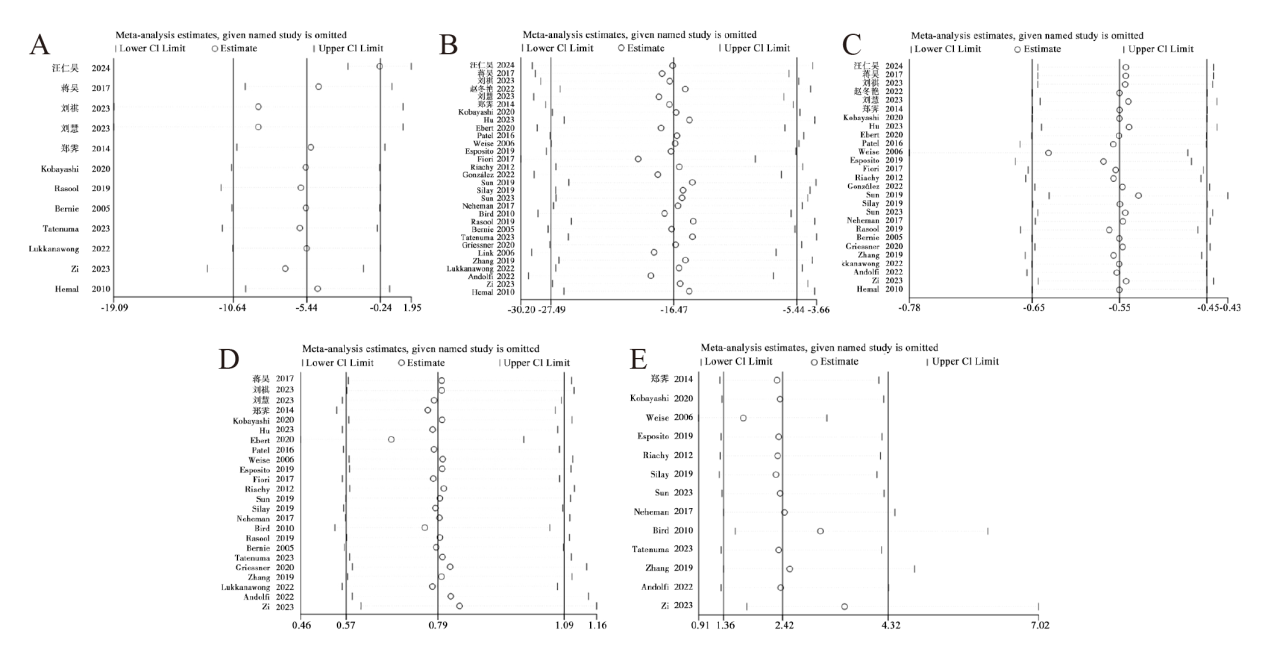
2.4 敏感性分析

本研究对主要结局指标术中出血量、手术时间、住院时间、并发症、成功率分别进行敏感性分析,通过逐一排除法评估各项研究对汇总结果的影响。分析结果表明,以上5个结局指标依次剔除单个研究后重新进行数据合并分析,合并结果均未受到任何单个研究的显著影响,表明本研究分析的结果总体上是相对可靠的,见图13
图13 各项指标敏感性分析图

注:A为术中出血量,B为手术时间,C为住院时间,D为并发症,E为成功率。

Figure 13 Sensitivity analysis diagram of each indicator

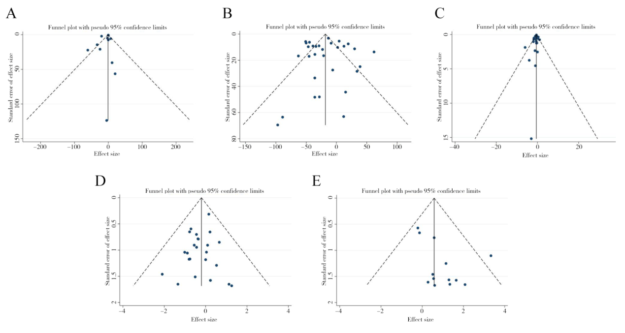
2.5 发表偏倚

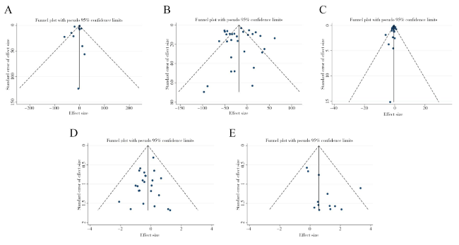
本研究对具有10篇及以上文献的结局指标(术中出血量、手术时间、住院时间、并发症、成功率)使用漏斗图和Egger’s检验来识别发表偏倚。结果显示,术中出血量(Egger’s检验P = 0.250)、手术时间(P = 0.917)、住院时间(P = 0.08)、并发症(P = 0.254)的漏斗图展现出对称分布,且研究集中分布在上方,说明各研究之间无或低发表偏倚,而成功率(Egger’s检验P = 0.04)的漏斗图展现出不对称性,且较多研究分散分布在下方,可能存在发表偏倚。进一步对结局指标成功率行剪补法,结果未发生逆转,因此合并结果稳健。见图14
图14 各项指标漏斗图

注:A为术中出血量, B为手术时间,C为住院时间,D为并发症,E为成功率。

Figure 14 Funnel plot for various indicators

3 讨论

UO是泌尿外科常见疾病之一,常导致肾盂至输尿管间尿流受阻,继而发生肾积水及肾功能减退,甚至可造成永久性肾损伤[42]。OL因其创口小、术后下地速度快的特点,是UO手术治疗的首选方式,但OL存在操作复杂、缝合技巧门槛高和学习曲线较长等问题[43-44]。如今,机器人辅助手术为UO的治疗带来了新选择。相比于OL,RALS能够在受限空间内实现精准操作,减少人为误差,提高手术精度和安全性,还可以缩短学习曲线[45]。本meta分析结果显示,机器人组的术中出血量、手术时间、住院时间、引流管留置时间、术中吻合时间和术中缝合时间均比传统腹腔镜组少,成功率更高,但机器人组的住院费用较传统腹腔镜组高,结果均具有统计学差异。并发症、输尿管支架留置时间、二次手术结果无统计学意义。
研究显示RALS不仅可以节约手术时间,提高手术效率和手术质量,还可减少术中损伤,降低需要输血的可能性,扩大了手术适应症范围。这可能是因为机器人平台具有高分辨率的三维立体成像、高精细度的震颤过滤等优势,能够辅助主刀医师完成更多精细的、复杂的手术操作,使术中分离组织时损伤较少,节省手术时间,减少术中出血量[46]。代鑫等[47]通过meta分析对比达芬奇机器人与传统腹腔镜手术在胰十二指肠切除术的疗效及安全性,得出达芬奇机器人手术系统灵活、精细的操作优势可以减少手术失血量,缩短手术时间,且这种手术方式安全可行,与本研究结果相似。因此,临床医师在面对高精度、高难度手术时可以选择RALS,如手术易损伤邻近组织器官、缝合难度高的小儿UO。
同时,采用RALS的患者能够更快地恢复生活质量,减少康复和引流管留置时间。其原因可能是RALS填补了OL的局限性,如手部运动和直觉相违背、较差的人体工程学等[48]。机器人辅助腹腔镜有7个不同方向自由度的机械臂,可进行复杂而精细的手术解剖,且能够克服腹壁对传统腹腔镜器械施加的额外扭矩,使手术操作者在术中有更好的手术视野和暴露空间[49]。此外,RALS的微创优势更突出,术中切口和术后疤痕更少,可缓解患者心理应激和生理应激,同时减少因疼痛引起的不良反应,从而加速术后康复[50]
采用卫生经济学模型,计算增量成本效益比发现,机器人组的高费用主要源于设备成本和维护费用[51]。机器人手术系统零件多,购置费用高,需要专业技术人员定期维护,且操作医师需要进行专项培训才能熟练掌握操作技巧,这部分成本会在一定程度上计算入患者手术费用中。同时,机器人手术暂未纳入我国医保政策,需要患者自费承担,故费用高于OL。相信未来随着技术设备发展及费用降低,机器人手术系统将会在国内普及,让更多的患者从中获益。
机器人组与传统腹腔镜组相比,输尿管支架留置时间、并发症发生率、二次手术发生率结果均无统计学差异,可能原因为RALS和OL只是术中的操作方法不同,且并发症不仅局限于术中操作,还受多种因素影响,如围术期护理策略。临床上,输尿管支架留置时间常取决于医师的经验,大多会选择间隔较长的固定日期拔出,避免手术缝合处再次形成梗阻。同时输尿管支架留置时间还受患者自身因素影响,如患者常未按规定时间前往医院拔除。RALS二次手术发生率高,可能是因为医师操作机器人经验不足导致手术质量不佳,需要处理术后漏尿和输尿管支架留置相关的并发症。
本研究仍存在以下不足:①纳入的RCT类型研究较少,因为UO手术治疗的特性,研究过程难以采用盲法和分配隐藏,可能会带来不必要的误差;②部分结局指标受样本量限制,仍需纳入更多研究以提高可信度,如输尿管支架留置时间;③受研究种族、国家、纳入标准、术者经验、随访时间等差异影响,部分研究间的异质性较大,且因样本量限制难以进行亚组分析;④纳入研究部分数据缺失,联系原作者后,未获得原作者回复,但这些数据不影响meta分析结果。
综上所述,在UO治疗中,RALS相比OL术中出血量少,手术操作时间、住院时间、引流管留置时间、术中吻合时间和缝合时间均短,成功率高。表明RALS的临床应用价值较高,能够提高手术效率和加快患者术后恢复速度,适合用于高难度、高要求的精细手术,但其费用较高。未来仍需要更多大样本、前瞻性的随机性对照试验来进一步验证和支持本研究结果。
利益冲突声明:本研究未受到企业、公司等第三方资助,不存在潜在利益冲突。
[1]
FIUK J, BAO Y, CALLEARY J G, et al. The use of internal stents in chronic ureteral obstruction[J]. J Urol, 2015, 193(4): 1092-1100. DOI: 10.1016/j.juro.2014.10.123

[2]
KHAN F, AHMED K, LEE N, et al. Management of ureteropelvic junction obstruction in adults[J]. Nat Rev Urol, 2014, 11(11): 629-638. DOI: 10.1038/nrurol.2014.240.

PMID

[3]
XIONG S, WANG J, ZHU W, et al. Onlay repair technique for the management of ureteral strictures: a comprehensive review[J]. BioMed Res Int, 2020, 2020(1): 6178286. DOI: 10.1155/2020/6178286.

[4]
周建新, 黎俊强, 李燕玲, 等. 不同方案治疗输尿管上段嵌顿性结石合并输尿管迂曲的效果分析[J]. 新医学, 2022, 53(4): 273-277. DOI: 10.3969/j.issn.0253-9802.2022.04.009.

ZHOU J X, LI J Q, LI Y L, et al. Analysis of different methods in the treatment of incarcerated calculi in upper segment ureter complicated with ureteral tortuosity[J]. J New Med, 2022, 53(4): 273-277. DOI: 10.3969/j.issn.0253-9802.2022.04.009.

[5]
何雨竹, 倪鑫, 张潍平. 儿童先天性肾盂输尿管连接部梗阻性肾积水手术治疗策略研究进展[J]. 临床外科杂志, 2021, 29(6): 501-504. DOI: 10.3969/j.issn.1005-6483.2021.06.001.

HE Y Z, NI X, ZHANG W P. Progress on surgical treatment of congenital ureteropelvic junction obstruction hydronephrosis in children[J]. J Clin Surg, 2021, 29(6): 501-504. DOI: 10.3969/j.issn.1005-6483.2021.06.001.

[6]
NEZHAT C, NEZHAT F, GREEN B. Laparoscopic treatment of obstructed ureter due to endometriosis by resection and ureteroureterostomy: a case report[J]. J Urol, 1992, 148(3): 865-868. DOI: 10.1016/s0022-5347(17)36747-2.

PMID

[7]
SIMMONS M N, GILL I S, FERGANY A F, et al. Laparoscopic ureteral reconstruction for benign stricture disease[J]. Urology, 2007, 69(2): 280-284. DOI: 10.1016/j.urology.2006.09.067.

PMID

[8]
CAVE J, CLARKE S. Paediatric robotic surgery[J]. Ann R Coll Surg Engl, 2018, 100(Suppl 7): 18-21. DOI: 10.1308/rcsann.supp2.18.

PMID

[9]
HUTTON B, SALANTI G, CALDWELL D M, et al. The PRISMA extension statement for reporting of systematic reviews incorporating network meta-analyses of health care interventions: checklist and explanations[J]. Ann Intern Med, 2015, 162(11): 777-784. DOI: 10.7326/M14-2385.

PMID

[10]
SLIM K, NINI E, FORESTIER D, et al. Methodological index for non-randomized studies (minors): development and validation of a new instrument[J]. ANZ J Surg, 2003, 73(9): 712-716. DOI: 10.1046/j.1445-2197.2003.02748.x.

[11]
STERNE J A C, SAVOVIĆ J, PAGE M J, et al. RoB 2: a revised tool for assessing risk of bias in randomised trials[J]. BMJ, 2019, 366: l4898. DOI: 10.1136/bmj.l4898.

[12]
汪仁昊, 潘铁军, 谢秋波, 等. 机器人辅助肾盂成形术与腹腔镜下肾盂成形术的对比研究[J]. 国际泌尿系统杂志, 2024, 44(3): 503-506.DOI: 10.3760/cma.j.cn431460-20230120-00124.

WANG R H, PAN T J, XIE Q B, et al. Comparative study of robotic-assisted pyeloplasty versus laparoscopic pyeloplasty[J]. Int J Urol Nephrol, 2024, 44(3): 503-506.DOI: 10.3760/cma.j.cn431460-20230120-00124.

[13]
蒋昊, 刘光香, 赵晓智, 等. 机器人辅助经腹腹腔镜与传统经腹腹腔镜肾盂输尿管成形术治疗肾盂输尿管连接部梗阻的临床对照研究[J]. 现代泌尿外科杂志, 2017, 22(7): 495-499. DOI: 10.3969/j.issn.1009-8291.2017.07.003.

JIANG H, LIU G X, ZHAO X Z, et al. A controlled clinical trial of robot-assisted and laparoscopic pyeloplasty for the treatment of UPJO[J]. J Mod Urol, 2017, 22(7): 495-499. DOI: 10.3969/j.issn.1009-8291.2017.07.003.

[14]
刘祺, 邢欣然, 曾晓旭, 等. 机器人辅助腹腔镜与传统腹腔镜治疗儿童肾盂输尿管连接部梗阻的疗效对比[J]. 临床小儿外科杂志, 2023, 22(7): 660-665.DOI: 10.3760/emai.cn101785-202211037-011.

LIU Q, XING X R, ZENG X X, et al. A comparative efficacy study of robot-assisted laparoscopy versus conventional laparoscopy for pelvic ureteral junction obstruction in children[J]. J Clin Ped Sur, 2023, 22(7): 660-665.DOI: 10.3760/emai.cn101785-202211037-011.

[15]
赵冬艳, 唐达星, 陶畅, 等. 机器人辅助腹腔镜与传统腹腔镜输尿管再植术应用对比[J]. 中华小儿外科杂志, 2022, 43(1): 5.DOI: 10.3760/cma.j.cn421158-20210707-00339.

ZHAO D Y, TANG D X, TAO C, et al. Comparison of robot-assisted versus traditional laparoscopic ureteral reimplantation[J]. Chin Pediatr Surg, 2022, 43(1): 5. DOI: 10.3760/cma.j.cn421158-20210707-00339.

[16]
刘慧, 范晓晓, 李德儒, 等. 机器人辅助腹腔镜与传统腹腔镜下肾盂成形术在治疗儿童肾盂输尿管连接部梗阻中的对比分析[J]. 机器人外科学杂志(中英文), 2023(5): 477-484. DOI: 10.12180/j.issn.2096-7721.2023.05.012.

LIU H, FAN X X, LI D R, et al. Comparative analysis of robot-assisted and conventional laparoscopic pyeloplasty in the treatment of ureteropelvic junction obstruction in children[J]. Chin J Rob Surg, 2023(5): 477-484. DOI: 10.12180/j.issn.2096-7721.2023.05.012.

[17]
郑霁, 鄢俊安, 李为兵, 等. 达芬奇机器人辅助和传统腹腔镜肾盂输尿管成形术治疗肾盂输尿管连接部梗阻的临床对比分析[J]. 第三军医大学学报, 2014, 36(4): 395-397. DOI: 10.16016/j.1000-5404.2014.04.016.

ZHENG J, YAN J A, LI W B, et al. Comparison of laparoscopic transperitoneal pyeloplasty with and without robotic assistance[J]. J Third Mil Med Univ, 2014, 36(4): 395-397. DOI: 10.16016/j.1000-5404.2014.04.016.

[18]
KOBAYASHI M, INOUE T, NARA T, et al. The initial results of robot-assisted pyeloplasty in comparison with laparoscopic pyeloplasty for ureteropelvic junction obstruction[J]. Hinyokika Kiyo, 2020, 66(1): 1-4. DOI: 10.14989/ActaUrolJap_66_1_1.

[19]
HU Z L, CHEN S, WANG Z H, et al. The application of artificial technology in pediatric pyeloplasty the efficacy analysis of robotic-assisted laparoscopic pyeloplasty in the treatment of ureteropelvic junction obstruction[J]. Front Pediatr, 2023, 11: 1209359. DOI: 10.3389/fped.2023.1209359.

[20]
EBERT K M, NICASSIO L, ALPERT S A, et al. Surgical outcomes are equivalent after pure laparoscopic and robotic-assisted pyeloplasty for ureteropelvic junction obstruction[J]. J Pediatr Urol, 2020, 16(6): 845.e1-845845.e6. DOI: 10.1016/j.jpurol.2020.09.018.

[21]
PATEL A, PICKHARDT M W, LITTLEJOHN N, et al. Shortened operative time for pediatric robotic versus laparoscopic dismembered pyeloplasty[J]. Can J Urol, 2016, 23(3): 8308-8311.

PMID

[22]
WEISE E S, WINFIELD H N. Robotic computer-assisted pyeloplasty versus conventional laparoscopic pyeloplasty[J]. J Endourol, 2006, 20(10): 813-819. DOI: 10.1089/end.2006.20.813.

PMID

[23]
ESPOSITO C, MASIERI L, CASTAGNETTI M, et al. Robot-assisted vs laparoscopic pyeloplasty in children with uretero-pelvic junction obstruction (UPJO): technical considerations and results[J]. J Pediatr Urol, 2019, 15(6): 667.e1-667667.e8. DOI: 10.1016/j.jpurol.2019.09.018.

[24]
FIORI C, BERTOLO R, MANFREDI M, et al. Robot-assisted laparoendoscopic single-site versus mini-laparoscopic pyeloplasty: a comparison of perioperative, functional and cosmetic results[J]. Minerva Urol Nefrol, 2017, 69(6): 604-612. DOI: 10.23736/S0393-2249.17.02833-8.

[25]
RIACHY E, COST N G, ROBERT DEFOOR W, et al. Pediatric standard and robot-assisted laparoscopic pyeloplasty: a comparative single institution study[J]. J Urol, 2013, 189(1): 283-287. DOI: 10.1016/j.juro.2012.09.008.

PMID

[26]
GONZÁLEZ S T, ROSITO T E, TUR A B, et al. Multicenter comparative study of open, laparoscopic, and robotic pyeloplasty in the pediatric population for the treatment of ureteropelvic junction obstruction (UPJO)[J]. Int Braz J Urol, 2022, 48(6): 961-968. DOI: 10.1590/S1677-5538.IBJU.2022.0194.

PMID

[27]
SUN G, YAN L, OUYANG W, et al. Management for ureteral stenosis: a comparison of robot-assisted laparoscopic ureteroureterostomy and conventional laparoscopic ureterouret-erostomy[J]. J Laparoendosc Adv Surg Tech A, 2019, 29(9): 1111-1115. DOI: 10.1089/lap.2019.0357.

[28]
SILAY M S, DANACIOGLU O, OZEL K, et al. Laparoscopy versus robotic-assisted pyeloplasty in children: preliminary results of a pilot prospective randomized controlled trial[J]. World J Urol, 2020, 38(8): 1841-1848. DOI: 10.1007/s00345-019-02910-8.

PMID

[29]
SUN L, ZHAO D, SHEN Y, et al. Laparoscopic versus robot-assisted pyeloplasty in infants and young children[J]. Asian J Surg, 2023, 46(2): 868-873. DOI: 10.1016/j.asjsur.2022.09.046.

[30]
NEHEMAN A, KORD E, ZISMAN A, et al. Comparison of robotic pyeloplasty and standard laparoscopic pyeloplasty in infants: a bi-institutional study[J]. J Laparoendosc Adv Surg Tech A, 2018, 28(4): 467-470. DOI: 10.1089/lap.2017.0262.

PMID

[31]
BIRD V G, LEVEILLEE R J, ELDEFRAWY A, et al. Comparison of robot-assisted versus conventional laparoscopic transperitoneal pyeloplasty for patients with ureteropelvic junction obstruction: a single-center study[J]. Urology, 2011, 77(3): 730-734. DOI: 10.1016/j.urology.2010.07.540.

PMID

[32]
RASOOL S, SINGH M, JAIN S, et al. Comparison of open, laparoscopic and robot-assisted pyeloplasty for pelviureteric junction obstruction in adult patients[J]. J Robot Surg, 2020, 14(2): 325-329. DOI: 10.1007/s11701-019-00991-6.

PMID

[33]
BERNIE J E, VENKATESH R, BROWN J, et al. Comparison of laparoscopic pyeloplasty with and without robotic assistance[J]. JSLS, 2005, 9(3): 258-261.

PMID

[34]
TATENUMA T, ITO H, KOMEYA M, et al. Comparing laparoscopic and robot-assisted pyeloplasty for uretero-pelvic junction obstruction: initial experience from a single center[J]. Nihon Hinyokika Gakkai Zasshi, 2023, 114(1): 1-7. DOI: 10.5980/jpnjurol.114.1.

[35]
GRIESSNER H, OBERHAMMER L, PALLAUF M, et al. A retrospective comparison of robotic assisted and conventional laparoscopic pyeloplasty in two centres[J]. Urologe A, 2021, 60(4): 491-495. DOI: 10.1007/s00120-020-01414-3.

[36]
LINK R E, BHAYANI S B, KAVOUSSI L R. A prospective comparison of robotic and laparoscopic pyeloplasty[J]. Ann Surg, 2006, 243(4): 486-491. DOI: 10.1097/01.sla.0000205626.71982.32.

PMID

[37]
ZHANG Y C, OUYANG W, XU H, et al. A comparison of robot-assisted laparoscopic ureteral reimplantation and conventional laparoscopic ureteral reimplantation for the management of benign distal ureteral stricture. Urol J, 2020, 17(3):252-256. DOI: 10.22037/uj.v0i0.5478.

PMID

[38]
LUKKANAWONG N, HONDA M, TERAOKA S, et al. A comparison between laparoscopic and robot-assisted laparoscopic pyeloplasty in patients with ureteropelvic junction obstruction[J]. Yonago Acta Med, 2022, 65(2): 126-131. DOI: 10.33160/yam.2022.05.002.

PMID

[39]
ANDOLFI C, LOMBARDO A M, AIZEN J, et al. Laparoscopic and robotic pyeloplasty as minimally invasive alternatives to the open approach for the treatment of uretero-pelvic junction obstruction in infants: a multi-institutional comparison of outcomes and learning curves[J]. World J Urol, 2022, 40(4): 1049-1056. DOI: 10.1007/s00345-022-03929-0.

[40]
ZI D, CAO W, CHEN F, et al. Management for benign ureteral stricture: comparison of robot-assisted laparoscopy, conventional laparoscopy, and balloon dilation[J]. J Endourol, 2023, 37(8): 868-875. DOI: 10.1089/end.2023.0047.

[41]
HEMAL A K, MUKHERJEE S, SINGH K. Laparoscopic pyeloplasty versus robotic pyeloplasty for ureteropelvic junction obstruction: a series of 60 cases performed by a single surgeon[J]. Can J Urol, 2010, 17(1): 5012-5016.

PMID

[42]
刘超, 张潍平. 关注儿童肾盂输尿管连接处梗阻手术并发症及肾损伤问题[J]. 临床小儿外科杂志, 2024, 23(4): 301-304. DOI: 10.3760/cma.j.cn101785-202403060-001.

LIU C, ZHANG W P. Surgical complications and managements of ureteropelvic junction obstruction in children[J]. J Clin Pediatr Surg, 2024, 23(4): 301-304. DOI: 10.3760/cma.j.cn101785-202403060-001.

[43]
过菲, 张超, 杨波. 国际泌尿外科单孔腹腔镜发展与现状[J/OL]. 中华腔镜泌尿外科杂志(电子版), 2023, 17(1): 93-95.DOI: 10.3877/cma.j.issn.1674-3253.2023.01.021.

GUO F, ZHANG C, YANG B. Development and current status of international single-port laparoscopic urology[J/OL]. Chin J Endourol(Electronic Edition), 2023, 17(1): 93-95.DOI: 10.3877/cma.j.issn.1674-3253.2023.01.021.

[44]
JACOBS B L, LAI J C, SEELAM R, et al. The comparative effectiveness of treatments for ureteropelvic junction obstruction[J]. Urology, 2018, 111: 72-77. DOI: 10.1016/j.urology.2017.09.002.

PMID

[45]
彭亮. 机器人辅助腹腔镜与传统腹腔镜肾盂成形术治疗肾盂输尿管连接部梗阻的临床对比研究[D]. 南昌: 南昌大学, 2023. DOI: 10.27232/d,cnki.gnchu.2023.000957.

PENG L. A comparative clinical study of robot-assisted laparoscopy and traditional laparoscopic pyeloplasty in the treatment of ureteral junction obstruction[D]. Nanchang: Nanchang University, 2023. DOI: 10.27232/d.cnki.gnchu.2023.000957.

[46]
SAFDIEH J, LEE Y C, WONG A, et al. A comparison of outcomes between open hysterectomy and robotic-assisted hysterectomy for endometrial cancer using the national cancer database[J]. Int J Gynecol Cancer, 2017, 27(7): 1508-1516. DOI: 10.1097/IGC.0000000000001034.

PMID

[47]
代鑫, 刘汉林, 王强, 等. 达芬奇机器人与传统腹腔镜胰十二指肠切除术近期疗效及安全性比较的Meta分析[J]. 临床肝胆病杂志, 2022, 38(5): 1106-1113. DOI: 10.3969/j.issn.1001-5256.2022.05.025.

DAI X, LIU H L, WANG Q, et al. Short-term efficacy and safety of Da Vinci robotic pancreaticoduodenectomy versus traditional laparoscopic pancreaticoduodenectomy: a meta-analysis[J]. J Clin Hepatol, 2022, 38(5): 1106-1113. DOI: 10.3969/j.issn.1001-5256.2022.05.025.

[48]
BRUNES M, JOHANNESSON U, HÄBEL H, et al. Effects of obesity on peri-and postoperative outcomes in patients undergoing robotic versus conventional hysterectomy[J]. J Minim Invasive Gynecol, 2021, 28(2): 228-236. DOI: 10.1016/j.jmig.2020.04.038.

[49]
HAVEMAN I, VAN WEELDEN W J, ROOVERS E A, et al. Robot-assisted total laparoscopic hysterectomy in different classes of obesity: a cohort study[J]. JSLS, 2022, 26(1): e2021.00077. DOI: 10.4293/JSLS.2021.00077.

[50]
翟爱然. 机器人辅助腹腔镜与传统腹腔镜下肾盂成形术在治疗儿童肾盂输尿管连接部梗阻中的对比分析[C]// 榆林市医学会.第五届全国医药研究论坛论文集(五). 2024:2-7.DOI: 10.26914/c.cnkihy.2024.018260.

ZHAI A R. Comparative analysis of robot-assisted laparoscopy and conventional laparoscopic pyeloplasty in the treatment of ureteral junction obstruction in children[C]// Yulin Medical Association. Proceedings of the Fifth National Medical Research Forum (5). 2024: 2-7.DOI: 10.26914/c.cnkihy.2024.018260.

[51]
MARTÍNEZ-MAESTRE M A, MELERO-CORTÉS L M, CORONADO P J, et al. Long term COST-minimization analysis of robot-assisted hysterectomy versus conventional laparoscopic hysterectomy[J]. Health Econ Rev, 2019, 9(1): 18. DOI: 10.1186/s13561-019-0236-8.

文章导航

/